电话:13570151199
传真:020-39972520
邮箱:hanyan@hanyancarbon.com
地址:广东省广州市番禺区东环街番禺大道北555号天安总部中心30号楼6层
活性炭从水中去除苯胺,这次研究介绍,我们使用活性炭和氧化铁磁性纳米粒子被用于合成活性炭氧化铁磁性纳米粒子作为去除苯胺的吸附剂。通过几种方法来测试活性炭的特性。同时,研究了不同参数如pH,接触时间,活性炭用量,苯胺初始浓度和溶液温度的影响,最终结论我们合成的活性炭氧化铁磁性纳米离子能很好的吸附水中苯胺还具有快速从溶液中分离的优点,可以用作有效去除水和废水中的苯胺等污染物的吸附剂。
随着工业的快速增长而带来的环境染污是比较严重的,尤其是有机化合物对水资源和环境的影响。苯胺是具有芳环和NH 2键的芳环的简单物质。它是石化和农用化学品中的工业原料,苯胺作为副产物涉及到造纸,纺织,橡胶,塑料,染料等生产行业。只需将3.5%的苯胺溶解在水中,就能造成水体污染即使浓度低也能对水生生物和人体产生危害,并且难以降解。要使得苯胺从水中完全出去我们需要使用先进,快速和有效的技术。这些技术主要为苯胺去除最常见的方法包括用臭氧氧化,活性炭吸附等。其他方法在分解过程如生物降解和电解中,高成本是限制因素。选择活性炭而不是其他技术去除污染物,是因为活性炭可以吸附与回收,而且稳定的炭元素不会与污染物结合形成其他危险物质。
活性炭由于其结构和高表面积,是从水中有效去除有机污染物(尤其是硬生物可降解污染物)的合适选择。但是由于过滤,分散,产生浑浊和降低成本等问题,在大工程中使用活性炭会受到限制,所以想要更经济的使用活性炭必须解决活性炭吸附饱和后的分离问题。根据研究人员发现磁分离方法由于成本低,简单,分离快速和高效率,将活性炭进行磁化可以解决分离问题。
活性炭氧化铁磁性纳米粒子的制备
通过化学共沉淀法制备活性炭氧化铁磁性纳米颗粒。使用特殊技术合成氧化铁纳米颗粒并将其与活性炭结合。首先,使用一定量的活性炭浸渍在硝酸中,在80℃下浸渍3小时。然后将活性炭过滤并在室温下干燥。然后,将活性炭浸渍到含有氧化铁的水溶液中并在80°C下超声振动中放置1小时。然后将活性炭过滤并在105℃的烘箱中脱水1小时。将活性炭在750℃下在炉内在氮气下加热3小时,以形成活性炭氧化铁磁性纳米颗粒。最后,将合成的活性炭用去离子水洗涤四次,然后在105℃下干燥并保存在干燥器中备用。
活性炭样品测试
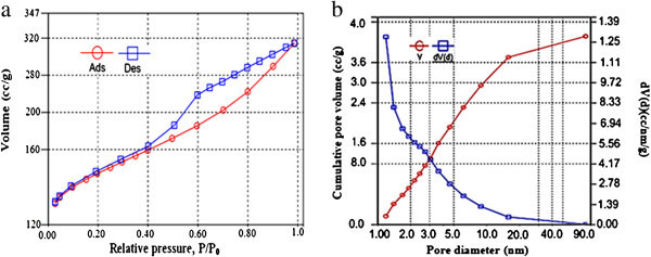
图1、2和3显示了通过SEM,TEM,X射线衍射和BET技术合成活性炭的物理和形态性质。各种pH值下活性炭对苯胺的吸附效率的影响=2-10,显示纳米离子在4小时内的接触时间在图4(a)中。图4显示,随着pH从2增加到6,吸附效率在较高pH下增加然后降低。最大苯胺吸附性能为吸附容量为38.21mg/g,去除率为76.4%,pH=6,最低吸附苯胺量为34.1mg/g,去除率为68.3%,pH=2。图4(b)表示的接触时间为pH值在最合适的情况下(50-300毫克/升)不同浓度苯胺吸附到活性炭的影响。图5和图6显示了不同温度对苯胺吸附过程的影响,优化的pH值,接触时间,活性炭剂量和各种苯胺浓度(50-300 mg/L)。

图1、活性炭氧化铁的光谱。

图2、SEM(a和b)和TEM(c),活性炭的图像。

图3、活性炭的氮吸附/解吸等温线(a),活性炭颗粒的孔径分布(b)。

图4、pH值(a)在浓度=50 mg/L和接触时间(b)对浓度=50-300 mg/L的影响,苯胺吸附在活性炭上,W=1 g/L T=20℃。

图5、各种苯胺浓度对其在活性炭上的吸附的影响:pH=6,t=300min,浓度 = 50-300mg/L,W=0.5-2g/L和T=20℃。

图6、各种温度对对活性炭吸附苯胺的影响:pH=6,t=300 min,浓度=50-300 mg/L,W=2 g/L,T=20-50°C。
我们成功合成了活性炭氧化铁磁性纳米粒子,其结合了活性炭和氧化铁纳米粒子,并用于从水环境中去除苯胺。结果表明,活性炭对苯胺的吸附效果在接近中性的pH值下较好,随接触时间和活性炭用量的增加而增加,但随初始苯胺浓度和温度的升高而降低。热力学研究也表明吸附苯胺在活性炭上一直是自发热的和放热的。本研究表明,活性炭氧化铁纳米离子除具有易分离和萃取溶液等特点外,无需过滤,具有适当的孔隙率,表面积和良好的吸附能力。该活性炭可用作有效和高效的吸附剂,以去除大多数污染物,尤其是水环境中的有机污染物。
文章标签:椰壳活性炭,果壳活性炭,煤质活性炭,木质活性炭,蜂窝活性炭,净水活性炭.推荐资讯
- 2025-12-15活性炭吸附马兜铃酸
- 2025-11-27超细活性炭5000目粉末活性炭
- 2025-11-26活性炭在硫化橡胶衬套中的应用
- 2025-11-19活性炭吸附重晶石混合物中的铜和锌
- 2025-11-10活性炭去除PFAS
- 2025-11-03防一氧化碳霍加拉特剂
- 2025-11-03防汞蒸汽专用炭防放射性碘专用炭
- 2025-11-03防酸专用炭与防氨专用炭
- 2025-11-03防护服专用炭及全防炭的介绍应用
- 2025-10-21活性炭从碱性甘氨酸溶液中吸附铂
- 2025-10-10活性炭金属改性对氢的吸附
- 2025-09-29活性炭吸附有机微污染物
