µç»°£º13570151199
´«Õ棺020-39972520
ÓÊÏ䣺hanyan@hanyancarbon.com
µØÖ·£º¹ã¶«Ê¡¹ãÖÝÊз¬Ø®Çø¶«»·½Ö·¬Ø®´óµÀ±±555ºÅÌì°²×ܲ¿ÖÐÐÄ30ºÅÂ¥6²ã
¡¡¡¡»îÐÔÌ¿Îü¸½ÂÈ»¯Çâ-ȼÁÏµç³ØÓ¦Óã¬ÔÚ¹ÌÌåÑõ»¯ÎïȼÁÏµç³ØµÄÓ¦ÓÃÖдøÓÐÂÈ»¯ÇâºÍÁò»¯ÇâµÄÆøÌå»á¶Ôµç³ØÐÔÄܲúÉúÓ°Ï죬ËùÒÔÆøÌå¾»»¯ÊǷdz£ÓбØÒªµÄ¡£Ê¹ÓÃÎü¸½¼Á¾»»¯ÆøÌåÊÇÒ»Öַdz£ÊÊÓõķ½·¨£¬±¾ÆÚÎÒÃÇÔÚÁ÷ʽ¹Ì¶¨·´Ó¦Æ÷ÖнøÐÐʵÑ飬ÒÔ·ÖÎö¼¸ÖÖ»îÐÔÌ¿ºÍ¸ÄÐÔ»îÐÔÌ¿ÓëÆäËûÎü¸½¼ÁµÄÎü¸½ÈÝÁ¿¡£Óýþ×յĻîÐÔÌ¿ºÍ½ðÊôÑõ»¯ÎïÎü¸½¼ÁÍê³ÉÂÈ»¯ÇâºÍÁò»¯ÇâµÄÈ¥³ý¡£
¡¡¡¡È¼ÁÏµç³ØµÄÖ÷ÒªÓ¦ÓÃÊǹ̶¨µçÁ¦É豸£¬Õâ°üÀ¨ÓÃ×÷³µÁ¾¶¯Á¦µÄÈȵçÁª²ú×°Öã¬ÓÃ×÷º½ÌìÆ÷(ÖÊ×Ó½»»»Ä¤È¼ÁÏµç³Ø)µÄ³µÔصçÁ¦»òÆäËû·â±Õ»·¾³¡£¹ÌÌåÑõ»¯ÎïȼÁÏµç³ØÒ»°ãʹÓÃÕÓÆøÀ´×ª»¯µçÄÜ£¬µ«ÊÇÕÓÆøÖÐ»á´øÓÐÂÈ»¯Çâ»áµ¼Ö´àÈõµÄ·¢µç×é¼þ¸¯Ê´£¬ÂÈ»¯ÇâÊÇÕÓÆøÔÁÏÖеÄÖ÷ҪȼÁÏÔÓÖÊÖ®Ò»£¬ÎªÁ˹ÌÌåÑõ»¯ÎïȼÁÏµç³ØµÄ³É¹¦ÔËÐУ¬Ó¦½«ÆäÈ¥³ýµ½Ò»¶¨³Ì¶È¡£»îÐÔֻ̿ÄÜÎü¸½Ò»²¿·ÖµÄÂÈ»¯Ç⣬ËùÒÔÎÒÃÇÕâ´ÎʹÓõĻîÐÔÌ¿ÊǾ¹ý¸ÄÐԵġ£
¡¡¡¡»îÐÔÌ¿Îü¸½¼ÁʵÑé²âÊÔ
¡¡¡¡Ì¼Ëá¼Ø½þ×յĻîÐÔÌ¿ºÍÆäËû»ìºÏÎïµÄÁ½ÖÖÎü¸½¼ÁµÄÎïÀíÌØÐÔ¡£¸ß»Ó·¢ÐÔºÍÓк¦ÎïÖÊ£¬ÈçÁò»¯ÇâºÍÂÈ»¯Çâ½öÔÚºÜС³Ì¶ÈÉÏÎü¸½ÔÚ»îÐÔÌ¿ÉÏ¡£Òò´Ë£¬´¿ÎïÀíÎü¸½¹ý³ÌÊDz»¿ÉÐеġ£ÕâЩÎÛȾÎïÐèҪͨ¹ý»¯Ñ§Îü¸½À´³ýÈ¥£¬ÕâÖÖÏ໥×÷ÓñÈÎïÀíÎü¸½Ç¿µÃ¶à¡£Ï໥×÷ÓÃÊÇÒ»ÖÖÕæÕýµÄ»¯Ñ§¼ü£¬ÆäÖеç×ÓÔÚÆøÌåºÍ¹ÌÌå±íÃæÖ®¼ä¹²´æ¡£Èç¹ûÔÚζȺÍѹÁ¦Ìõ¼þÓÐÀûµÄÇé¿öÏÂÔÚËùÓбíÃæÉÏ·¢ÉúÎïÀíÎü¸½£¬Ôò»¯Ñ§Îü¸½½ö·¢ÉúÔÚijЩ±íÃæÉϲ¢ÇÒ½öÔÚÕâЩ±íÃæÎÞÆäËûÎü¸½Îïʱ²Å·¢Éú¡£µ±Îü¸½Îï²»ÔÙÓë±íÃæÖ±½Ó½Ó´¥Ê±£¬»¯Ñ§Îü¸½Í£Ö¹¡£Òò´Ë£¬ËüÊǵ¥²ã¹ý³Ì¡£Í¨³££¬ÎïÀíÎü¸½ºÍ»¯Ñ§Îü¸½Í¬Ñù¿ì¡£Îü¸½ÖеÄËÙÂʾö¶¨²½Öè²»ÊÇÎü¸½±¾Éí¡£Í¨¹ýÎ§ÈÆ¿ÅÁ£µÄ±ß½ç²ãµÄÖÊÁ¿´«µÝÒÔ¼°»îÐÔÌ¿¿×϶ÖеÄÖÊÁ¿´«µÝÐγÉËÙÂÊÈ·¶¨²½Öè¡£
¡¡¡¡ÎªÁË·ÖÎöÂÈ»¯Çâ¶Ô»îÐÔÌ¿Îü¸½ÈÝÁ¿µÄÓ°Ï죬ʹÓþßÓÐ100ºÍ1000ppmvÂÈ»¯Ç⺬Á¿µÄ²âÊÔÆøÌåÓëµªÆøÆ½ºâ¡£½«ÕâÐ©ÆøÌå»ìºÏ²¢×°Æ¿¡£¾»ìºÏµÄ²âÊÔÆøÌåµÄÏà¶Ô²âÁ¿²»È·¶¨¶ÈΪ3%¡£ÕâÒâζ×ŶÔÓÚ1000ppmvÂÈ»¯ÇâÆøÌå»ìºÏÎ100ppmvÂÈ»¯ÇâÆøÌå»ìºÏÎïµÄ׼ȷ¶ÈΪ3ºÍ30ppmv¡£ÎªÁËÑо¿ÂÈ»¯ÇâºÍÁò»¯ÇâµÄͬʱÎü¸½£¬Ê¹ÓþßÓÐ100ppmvÂÈ»¯ÇâºÍ200ppmvÁò»¯ÇâµÄÆøÌå»ìºÏÎï¡£
¡¡¡¡²âÊÔ³ÌÐò
¡¡¡¡Ê¹ÓÃ̼Ëá¼Ø½þ×յĻîÐÔÌ¿ºÍÆäËû»ìºÏÎïµÄÁ½ÖÖÎü¸½¼Á½øÐб仯ÀàÐ͵ÄÊÔÑé¡£½«²âÊÔÆøÌå»ìºÏÎïͨ¹ý²£Á§ÖÆÎü¸½Æ÷ºÍÆøÌåÏ´µÓÆ¿£¬Í¬Ê±ÒÔ30ÃëµÄʱ¼ä²½³¤¼à²âÆøÌåÏ´µÓÆ¿ÖÐÈ¥Àë×ÓË®ÖеÄpHÖµ¡£¸ù¾ÝÒÔϳÌÐò½øÐеäÐ͵IJâÊÔ£ºÐ£×¼°üÀ¨pHµç¼«µÄpH¼Æ£¬½«²âÁ¿µÄ»îÐÔÌ¿ºÍÆäËû»ìºÏÎïÎü¸½¼ÁÌí¼Óµ½Îü¸½Æ÷ÖкÍ150mlÓð²×°ÁËpHµç¼«µÄÈ¥Àë×ÓË®Ìí¼Óµ½ÆøÌåÏ´µÓÆ¿ÖС£Á¬½ÓËùÓйܵÀºó£¬Í¨¹ýµªÆø¼ì²éËùÓÐÒÇÆ÷µÄÃÜ·âÐÔ¡£Ôڵõ½Êý¾Ý¼Ç¼֮ºó£¬½«²âÊÔÆøÌå»ìºÏÎïÊäË͵½Îü¸½Æ÷ÖС£Á¬Ðø²âÁ¿pHÖµ£¬Ã¿30Ãë¼Ç¼һ´Î¡£ÔÚpHÖµ½µÖÁ3ÒÔϺóÍ£Ö¹ÊÔÑé¡£Ö®ºó£¬»ùÓÚpHÖµ±ä»¯¼ÆËãÔÚÊÔÔËÐÐʱͨ¹ýÎü¸½Æ÷µÄÂÈ»¯ÇâµÄÁ¿¡£
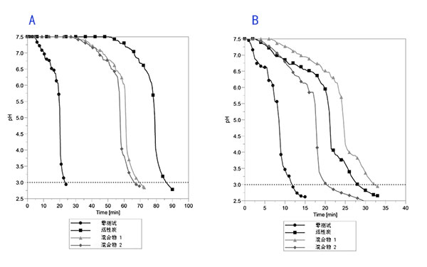
¡¡¡¡Í¼1aÏÔʾÁËÔÚÉÏÊöµÄÊÔÑé½á¹û¡£¿ÉÒÔ¿´³ö£¬ÔÚ22·ÖÖÓºó£¬ÆøÌåÏ´µÓÆ¿ÖеÄpHÖµ½µÖÁ3ÒÔÏ£¬¶øÔÚ·´Ó¦Æ÷Öв»Ê¹ÓûîÐÔÌ¿Îü¸½¼ÁÑùÆ·¡£ÓûµÄÑõ»¯ÂÁÑùÆ·×°ÔØ·´Ó¦Æ÷·Ö±ð²úÉú66ºÍ71·ÖÖӵĴ©Í¸Ê±¼ä¡£Óýþ×յĻîÐÔ̿ʵÏÖÁË×î¼ÑÐÔÄÜ£¬¼´ÂÈ»¯ÇâÎü¸½ÈÝÁ¿Îª0.0288g/g¡£½«ÆøÌåÁ÷ËÙÌá¸ßËùÈ¡µÃµÄ½á¹ûÈçͼ1bËùʾ¡£Òª½øÐеĵÚÒ»´ÎÊÔÑéÊÇÔÚ·´Ó¦Æ÷ÖÐûÓлîÐÔÌ¿Îü¸½¼Á¸ºÔØ£¬²¢ÇÒÔÚ12·ÖÖÓºóÆøÌåÏ´µÓÆ¿ÖÐÈ¥Àë×ÓË®µÄpHÖµ½µÖÁ3ÒÔÏ¡£¶ÔÓÚ½þ×յĻîÐÔÌ¿£¬ÂÈ»¯ÇâÎü¸½ÈÝÁ¿´Ó0.0288g/g½µµÍÖÁ0.0172g/g¡£

¡¡¡¡Í¼1¡¢»îÐÔÌ¿¶ÔÂÈ»¯ÇâµÄÎü¸½ÐÔÄÜ¡£·´Ó¦Î¶È20°C£¬ÂÈ»¯ÇâÈë¿ÚŨ¶È1000ppmv£¬¿ÅÁ£´óС3-4ºÁÃס£
¡¡¡¡³ýÁËÆøÊ±¿ÕËÙºÍÈë¿ÚŨ¶ÈÍ⣬»îÐÔÌ¿Îü¸½¼Á¿ÅÁ£³ß´çÊÇÓ°ÏìÎü¸½ÐÔÄܵIJÎÊýÖ®Ò»¡£ÔÚÎü¸½×°ÖõÄÉè¼ÆÖУ¬ËüÊÇÒ»¸öÏÞÖÆÒòËØ£¬ÒòΪ³ýÁË×°ÖôóСÍ⣬¿ÅÁ£³ß´ç¶ÔÓÚѹ½µÊǾö¶¨ÐԵġ£
¡¡¡¡±ØÐ뽫ÕÓÆøÖеÄÂÈ»¯ÇâÈ¥³ýµ½Ò»¶¨Ë®Æ½£¬ÒÔÈ·±£¹ÌÌåȼÁÏµç³ØµÄÎÞ¹ÊÕÏÔËÐС£Ñо¿ÁË̼Ëá¼Ø½þ×Õ»îÐÔÌ¿µÄÎü¸½ÐÔÄÜ¡£¼ÆËãÁËÂÈ»¯ÇâÎüÊÕÁ¿£¬¼´»îÐÔÌ¿µÄÀûÓó̶ȵÄÖµ¡£ÔÚ²»Í¬µÄÆøÊ±¿ÕËÙ£¬Èë¿ÚŨ¶ÈºÍÁ£¾¶ÏÂÑо¿ÁËÂÈ»¯ÇâµÄÎü¸½ÈÝÁ¿¡£ÔÚʹÓûîÐÔÌ¿µÄµÍÎÂÂÈ»¯ÇâÎü¸½µÄÕâÏî²âÊÔÖеóöÒÔϽáÂÛ£º
¡¡¡¡1¡¢»îÐÔÌ¿µÄÂÈ»¯ÇâÎü¸½ÄÜÁ¦È¡¾öÓÚ·´Ó¦Æ÷ÖнøÁÏÆøÌåºÍ»îÐÔ֮̿¼äµÄ½Ó´¥Ê±¼ä¡£ÆøÊ±¿ÕËÙÔ½¸ß£¬½Ó´¥Ê±¼äÔ½¶Ì£¬»îÐÔÌ¿Îü¸½ÐÔÄÜϽµ¡£»îÐÔÌ¿ÑùÆ·ÔÚÆøÊ±¿ÕËÙ8000h -1ʱ»ñµÃÁË×î¼Ñ½á¹û¡£½«ÆøÊ±¿ÕËÙÔö¼ÓÖÁ16000h -1¶Ô»îÐÔÌ¿¾ßÓÐÒ»¶¨µÄÓ°Ïì¡£
¡¡¡¡2¡¢ÔÚÆøÊ±¿ÕËÙ16000h -1ϽøÐеÄÊÔÑéÔËÐÐÖУ¬½«»îÐÔÌ¿¿ÅÁ£·ÛËé³É500ÖÁ1000΢Ã×Ö®¼äµÄ¿ÅÁ£»áʹÂÈ»¯ÇâµÄÎü¸½Á¿¼Ó±¶¡£´Ó¼¼ÊõÉϽ²£¬·ÛËé»îÐÔÌ¿¿ÅÁ£Ôö¼ÓÁ˽Ӵ¥Ãæ»ý£¬ÕâÓ¦¸Ã»á´øÀ´ºÃµÄЧ¹û£¬È»¶ø½ÏСµÄ¿ÅÁ££¬À©É¢Â·¾¶½Ï¶Ì¡£È»¶ø£¬ÔÚ8000h -1µÄÆøÊ±¿ÕËÙϽøÐеIJâÊÔ²¢Î´Ö¤Êµ¸ÃÀíÂÛ¡£»îÐÔÌ¿½öͨ¹ýѹËé¿ÅÁ£»ñµÃÁË×îСµÄÒæ´¦¡£Õâ±³ºóµÄÔÒò¿ÉÄÜÊǽ«»îÐÔ̿ѹËé³É¿ÅÁ£ÆÆ»µÁË´ó¿×϶¡£
¡¡¡¡3¡¢Ôö¼ÓÂÈ»¯ÇâµÄÈë¿ÚŨ¶Èµ¼ÖÂÒÔÏ·¢ÏÖ£ºÓÉÓÚŨ¶ÈÌݶÈÔö¼Ó£¬¿ÉÒÔʵÏÖ»îÐÔÌ¿¶àÎü¸½15%µÄÂÈ»¯Ç⣬ÕâÊÇÎü¸½·ÖÀëµÄÇý¶¯Á¦¡£ÁíÍ⣬µ±ÂÈ»¯ÇâÈë¿ÚŨ¶È´Ó100Ôö¼Óµ½1000ppmvʱ£¬²âÊÔÔËÐÐʱ¼ä¼¸ºõ¼õÉÙÁË10±¶¡£»»¾ä»°Ëµ£¬ÔÁÏÆøÌåµÄ¸ü¶àµÄÂÈ»¯Çâ·Ö×ӻᵼÖ»îÐÔÌ¿ÉϵÄÓÎÀëÎü¸½Î»µã¸ü¿ìµØ±¥ºÍ¡£
¡¡¡¡4¡¢Á×Ëá¼ØÄܹ»Îü¸½ÂÈ»¯ÇâºÍÁò»¯Ç⣬ÓÉÓÚÈÈÁ¦Ñ§ÏµÍ³Á¦Çó×îСµÄ×ÔÓÉÄÜ£¬Òò´ËÓÅÑ¡Îü¸½¾ßÓнϸ߼üºÏÄܵÄ×é·Ö¡£ÒÔ8000h -1ºÍ16000h -1µÄ¿ÕËÙ½øÐеÄÁ½´ÎÊÔÑé֤ʵÁËÓýþ×յĻîÐÔ̿ͬʱÎü¸½µÄ¿ÉÄÜÐÔ¡£
ÎÄÕ±êÇ©£ºÒ¬¿Ç»îÐÔÌ¿,¹û¿Ç»îÐÔÌ¿,úÖÊ»îÐÔÌ¿,ľÖÊ»îÐÔÌ¿,·äÎÑ»îÐÔÌ¿,¾»Ë®»îÐÔÌ¿.±¾ÎÄÁ´½Ó£ºhttp://m.fdcnvt.cn/hangye/hy643.html
ÍÆ¼ö×ÊѶ
- 2026-02-25»îÐÔÌ¿Îü¸½´¦ÀíÆ¡¾Æ³§·ÏË®
- 2026-02-13»îÐÔÌ¿Îü¸½´¦Àíº¬¹¯·ÏÆø
- 2026-02-04»îÐÔÌ¿ÓÃÓÚ´Ó·ÏË®ÖÐÎü¸½È¥³ý΢Á¿ïÓºÍǦ
- 2026-01-28»îÐÔÌ¿½àÑÀ·ÛרÓÃ
- 2026-01-20»îÐÔÌ¿ÔÚ·ÏÆø´¦ÀíÖеÄһЩ³£Ê¶
- 2026-01-13»îÐÔÌ¿ÔÚ¾«ÖÆÌÇÉú²úÖеÄÍÑɫЧ¹û
- 2026-01-07»îÐÔÌ¿¶Ôßäßò»ùÀë×ÓÒºÌåµÄÎü¸½ÐÔÄÜ
- 2025-12-24»îÐÔÌ¿¸ÄÐÔÔöÇ¿¶ÔÒÒõ£°±»ù·ÓµÄÎü¸½
- 2025-12-15»îÐÔÌ¿Îü¸½Âí¶µÁåËá
- 2025-11-27³¬Ï¸»îÐÔÌ¿5000Ä¿·ÛÄ©»îÐÔÌ¿
- 2025-11-26»îÐÔÌ¿ÔÚÁò»¯Ï𽺳ÄÌ×ÖеÄÓ¦ÓÃ
- 2025-11-19»îÐÔÌ¿Îü¸½Öؾ§Ê¯»ìºÏÎïÖеÄͺÍп
