µç»°£º13570151199
´«Õ棺020-39972520
ÓÊÏ䣺hanyan@hanyancarbon.com
µØÖ·£º¹ã¶«Ê¡¹ãÖÝÊз¬Ø®Çø¶«»·½Ö·¬Ø®´óµÀ±±555ºÅÌì°²×ܲ¿ÖÐÐÄ30ºÅÂ¥6²ã
¡¡¡¡»îÐÔÌ¿¹ýÂËÈ¥³ýË«ÂÈ·ÒËáÄÆ£¬ÔÚ³£¹æÒûÓÃË®´¦Àí¹¤ÒÕÔÚÓкÍÎÞÂÈÆøºÍ¶þÑõ»¯ÂÈÔ¤Ñõ»¯µÄÇé¿öϵÄЧÂÊ£¬ÒÔ¼°Ê¹ÓÿÅÁ£»îÐÔÌ¿¹ýÂËÈ¥³ýË«ÂÈ·ÒËá(DCF)µÄЧÂÊ¡£ÖÆ×÷¾ßÓÐË®Éú¸¯Ö³ÎïÖʵÄʵÑéË®ÑùÆ·£¬ÔÚ¾ßÓйýÂËÆ÷µÄ»·¾³ÖнøÐÐʵÑé¡£
¡¡¡¡ÎÛË®´¦Àí³§ÄÚÎÛË®ÖеĻ¯Ñ§²ÐÁôÎïµÄ´æÔÚ±íÃ÷£¬²¢·ÇËùÓеÄÎïÖʶ¼ÄÜÔÚ¾»Ë®¹ý³ÌÖб»Íêȫȥ³ý¡£Òò´Ë£¬ÔÚÒûÓÃË®´¦Àí³§ÖÐÖ÷ÒªµÄˮԴÀ´×ԵرíË®ºÍµØÏÂË®¡£ÓÉÓÚÆäÔÚÎÛË®³§ÖеĵÍЧ´¦Àí¼°Ò»Ð©ÆäÇ×Ë®ÌØÐԵĻ¯Ñ§ÎÓÚÊÇÔÚÒûÓÃË®ÖÐÒ²·¢ÏÖÁË´óÁ¿µÄŨ¶ÈΪng L -1µÄË«ÂÈ·ÒËáÄÆ¡£´ó¶àÊý¹ØÓÚÈ¥³ýÕâÀ໯ѧÎïµÄÑо¿¼¯ÖÐÔÚһС²¿·ÖË®´¦Àí¹ý³Ì»ò²Ù×÷ÉÏ¡£´ËÍ⣬ËûÃÇʹÓôÓÄàÌ¿ÖÐÌáÈ¡µÄ¸¯Ö³ÎïÖÊ´úÌæË®£¬ÕâЩÎïÖʾßÓв»Í¬µÄÌØÐÔ£¬ÆäÖи¯Ö³ËẬÁ¿µÍÓڻƸ¯ËᣬµÍ·Ö×ÓÁ¿ºÍµÍŨËõ·Ö×Ó£¬¿ÉÄÜ×è°»¯Ñ§ÎïµÄÈ¥³ý¡£
¡¡¡¡ÎÒÃÇÔÚÆÀ¹À³£¹æÒûÓÃË®´¦Àí¹¤ÒÕ(Äý½á£¬ÐõÄý£¬³Á½µ£¬É°Â˺ÍÂÈÏû¶¾)½áºÏʹÓÃÂȺͶþÑõ»¯ÂȵÄÔ¤Ñõ»¯ºÍÈ¥³ý»îÐÔÌ¿µÄЧÂÊË«ÂÈ·ÒËáÄÆÔÚº¬ÓÐË®Éú¸¯Ö³ÎïÖʵÄË®ÖеÄÓ¦Óá£ÁíÍ⣬ÓÃÂȺͶþÑõ»¯ÂÈÔÚË«ÂÈ·ÒËáÄÆÑõ»¯ÆÚ¼äÐγɵĸ±²úÎïͨ¹ýLC-MS / MS³õ²½¼ø¶¨¡£·ÖÎöÎïË«ÂÈ·ÒËáÄÆµÄÑ¡ÔñÊÇ»ùÓÚÆäÔÚË®Éú»·¾³ÖеĸßÏûºÄ£¬¸ß¼ì²âƵÂʺ͵ÍÉúÎï½µ½âÐԺͼ«ÐÔ£¬ÕâÓÐÀûÓÚÆäÔÚ×ÔȻˮÓòÖеĴ«²¥¡£
¡¡¡¡ºÏ³ÉË®µÄÖÆ±¸
¡¡¡¡´Ó×ÔÁ÷¾®ÌáÈ¡·ÇÂÈ»¯Ë®(×Ç¶È = <0.2 NTU£¬±í¹ÛÑÕÉ« = <2 HU£¬ pHÖµ = 6.2£¬ÂÁ = <0.01 mgAl L−1£¬Ë«ÂÈ·ÒËá = δ¼ì²âµ½)±»ÓÃÓÚÖÆ±¸ºÏ³ÉË®ÓÃË®Éú¸¯Ö³ÎïÖÊ£¬µÃµ½20 ± 1 HU±¾É«ºÍ¸ßÁëÍÁ£¬ÒÔÊÕÂÊ70µÄ×Ç¶È ± 2 (NTU²¢ÓÃ1²ô¼Ó mgAl L−1Ë«ÂÈ·ÒËá(ÄÆÑΣ¬Î÷¸ñÂê°ÂµÂ°ÂµÂÀïÆæ£¬´¿¶È > 99%)¡£Ë«ÂÈ·ÒËáµÄŨ¶È»ùÓÚ·½·¨µÄLOQ¡£Ë®Ñù ÔÚÊÒÎÂÏ´¢´æ1 ÖÜ¡£Ëù²úÉúµÄ¼î¶ÈÔÚ22ºÍ23 ºÁ¿Ë CaCO 3 L -1Ö®¼ä¡£Îü¹â¶È²âÁ¿ºÍDOCʹÓÃͨ¹ý0.45μm ÒÒËáÏËÎ¬ËØÄ¤¹ýÂ˵ÄË®Ñù½øÐС£ÔÚ²»ÏòÑùÆ·ÖмÓÈëÁò´úÁòËáÄÆµÄÇé¿öϽøÐÐÎü¹â¶ÈºÍpH²âÁ¿¡£
¡¡¡¡Ë®´¦Àí²âÊÔ
¡¡¡¡³£¹æË®´¦ÀíÊÔÑé½øÐÐ,ʹÓÃÁù¸ö·½ÉÕ±(2 L)£¬ÆäÔÚ10-1200ÌṩËÙ¶ÈÌÝ¶È s−1 ·¶Î§²¢ÓõÄÄÚ¾¶6ʵÑéÊÒ¹æÄ£µÄ¹ýÂËÖùµÄÁ½¸ö°ü19 ºÁÃ×´®Áª¡£Áù¸ö¹ýÂËÆ÷Ìî³äÁËÒ»²ã15 ÀåÃ׺ñµÄɰ×Ó£¬ÁíÍâÁù¸ö¹ýÂËÆ÷Ìî³äÁËÒ»²ã15 ÀåÃ׺ñµÄ»îÐÔÌ¿£¬¿ÅÁ£³ß´ç´Ó0.30µ½0.59 ºÁÃײ»µÈ¡£ÏÂÁвÎÊýµÄÊÔÑé²ÉÓ㺿ìËÙ»ìºÏ(ʱ¼ä = 10 Ãë;ËÙ¶ÈÌݶȿìËÙ»ìºÏ = 1000 СºÅ-1)£¬ÐõÄý(ʱ¼ä = 20 ·ÖÖÓ;Á÷ËÙÌݶÈÐõÄý = 15¸ö СºÅ-1)£¬³Áµí(ËÙ¶È = 1 ÀåÃ× ·ÖÖÓ-1)£¬Â˹ýÂÊ(ɰ/ »îÐÔÌ¿¹ýÂËÆ÷ = 60 Ã×3 Ã×-2 d -1)£¬³Áµí(ɰ/»îÐÔÌ¿¹ýÂËÆ÷¹ýÂ˺óʱ¼ä = 20 ·ÖÖÓ)ºÍ¿Õ´²½Ó´¥Ê±¼ä(ɳ/ »îÐÔÌ¿¹ýÂËÆ÷ = ´óÔ¼3.6 ·ÖÖÓ)¡£Æ¿×ÓÊÔÑé¹ý³ÌÖеÄˮα£³ÖÔÚ20¡æ×óÓÒ C¡£É°ÂËÆ÷ÓÃÈ¥Àë×ÓË®´¦Àí£¬È»ºóʹ¾¹ýµÄ³Á½µµÄÇãÎöˮͨ¹ýËüÃÇ£¬²¢ÇÒÔÚÿ´Î²»Í¬µÄʵÑé²âÊÔÊÔÑéºóÓÃ×ÔÀ´Ë®ÒÔ10 ·ÖÖÓµÄÁ÷Á¿½øÐÐÇå½à¡£
¡¡¡¡ÔÚɰºÍ»îÐÔÌ¿¹ýÂËÖ®ºó£¬Í¨¹ý¼ÓÈë 5mg Cl 2 L -1µÄ´ÎÂÈËáÄÆÀ´Ïû¶¾Ë®¡£½Ó´¥Ê±¼äΪ30 ·ÖÖÓ£¬24 Сʱ¡£ÔÚʵÑéÖУ¬ Ôں㶨µÄ½Á°è( 100rpm)Ï£¬ÔÚ20 ¡æ Ï£¬½«250mLµÄË®ÓÃÓÚ·â¸ÇµÄçúçêСƿÖС£Ã¿´Î½Ó´¥Ê±¼ä¶¼½øÐÐÒ»´Î²âÊÔ¡£Í¨¹ý¼ÓÈëÁò´úÁòËáÄÆÖÕÖ¹ÂÈÆø·´Ó¦¡£
¡¡¡¡Í¨¹ý´¦Àí¹ý³ÌÈ¥³ýË«ÂÈ·ÒËáÄÆ
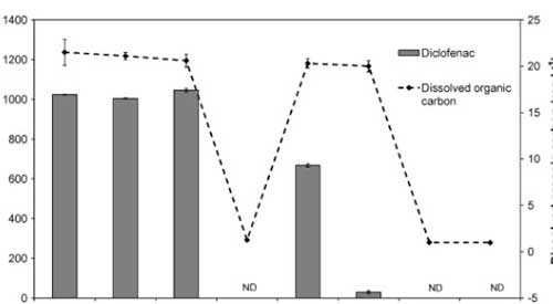
¡¡¡¡Í¼1ºÍ2±ðÏÔʾÁËÓÃË«ÂÈ·ÒËáÄÆºÍÔÚÓúͲ»ÓÃÂȺͶþÑõ»¯ÂÈÔ¤Ñõ»¯ºÍÓûîÐÔÌ¿¹ýÂ˵ij£¹æ´¦ÀíÖ®ºóÔںϳÉË®ÖзÖÎöµÄ²ÎÊýµÄ½á¹û¡£1-3ÓÃÓÚÓÅ»¯ÂÁµÄ¼ÁÁ¿ºÍÄýѪµÄpHÖµ(3.5 ºÁ¿Ë µÄAl ´óºÅ21ºÍpH 6.5)ÖС£

¡¡¡¡Í¼1¡£³£¹æÒûÓÃË®´¦Àí¹¤ÒÕÎÞÐèÔ¤Ñõ»¯ºÍ»îÐÔÌ¿¹ýÂË£¬È¥³ýË«ÂÈ·ÒËáÄÆºÍDOC¡£

¡¡¡¡Í¼2¡£ÔÚʹÓÃÂÈÆøºÍ¶þÑõ»¯ÂȽøÐÐÔ¤Ñõ»¯(PO)£¬È»ºó½øÐлîÐÔÌ¿¹ýÂ˵ij£¹æÒûÓÃË®´¦ÀíµÄ²»Í¬½×¶ÎÖÐÈ¥³ýË«ÂÈ·ÒËáÄÆ¡£
¡¡¡¡Ê¹ÓûîÐÔÌ¿³ýȥ˫ÂÈ·ÒËáÄÆÊǶ¨ÐÔ¸ßЧµÄ£¬Í¨¹ýÁãÎüÊպ͵ÍŨ¶ÈµÄDOCµÄ£¬²¢ÇÒÔÚͨ¹ýËù»ñµÃµÄÉ«Æ×ÖÐûÓмì²âµ½Ë«ÂÈ·ÒËáÄÆ¡£µÃÔÚËùÑо¿µÄ´¦Àí½×¶ÎÖУ¬ÔÚ»îÐÔÌ¿ÉϵÄÎü¸½µ¼ÖÂ×îÏÔ×ŵÄË«ÂÈ·ÒËáÄÆÈ¥³ý¡£Òò´Ë£¬Ë«ÂÈ·ÒËáÄÆÃ»ÓÐË®ÑùÖеÄÕâ¸ö½×¶Î(LODÖ®ºó¼ì²â = 2 μg L−1)¡£¿¼Âǵ½ËùÊö·½·¨µÄ¶¨Á¿ÏÞΪ3 μg L−1£¬Í¨¹ý»îÐÔÌ¿³ýȥ˫ÂÈ·ÒËáÄÆµÄÖÁÉÙ99.7%¡£ÒòΪûÓÐÑо¿»îÐÔÌ¿µÄÆÆÁÑÇúÏߣ¬ËùÒÔ»îÐÔÌ¿µÄ½á¹û¿ÉÒÔ±»ÈÏΪÊǶ¨ÐԵġ£È»¶ø£¬ÎªÁËÑо¿ÔÚ´óÐÍË®´¦Àí³§ÖÐÈ¥³ýË«ÂÈ·ÒËáÄÆ£¬±ØÐë¸Ä½ø¸Ã·½·¨ÒÔ´ïµ½½ÏµÍµÄ¼ì²âÏÞ(Ô¼μg L−1)¡£
ÎÄÕ±êÇ©£ºÒ¬¿Ç»îÐÔÌ¿,¹û¿Ç»îÐÔÌ¿,úÖÊ»îÐÔÌ¿,ľÖÊ»îÐÔÌ¿,·äÎÑ»îÐÔÌ¿,¾»Ë®»îÐÔÌ¿.±¾ÎÄÁ´½Ó£ºhttp://m.fdcnvt.cn/hangye/hy599.html
ÍÆ¼ö×ÊѶ
- 2026-02-25»îÐÔÌ¿Îü¸½´¦ÀíÆ¡¾Æ³§·ÏË®
- 2026-02-13»îÐÔÌ¿Îü¸½´¦Àíº¬¹¯·ÏÆø
- 2026-02-04»îÐÔÌ¿ÓÃÓÚ´Ó·ÏË®ÖÐÎü¸½È¥³ý΢Á¿ïÓºÍǦ
- 2026-01-28»îÐÔÌ¿½àÑÀ·ÛרÓÃ
- 2026-01-20»îÐÔÌ¿ÔÚ·ÏÆø´¦ÀíÖеÄһЩ³£Ê¶
- 2026-01-13»îÐÔÌ¿ÔÚ¾«ÖÆÌÇÉú²úÖеÄÍÑɫЧ¹û
- 2026-01-07»îÐÔÌ¿¶Ôßäßò»ùÀë×ÓÒºÌåµÄÎü¸½ÐÔÄÜ
- 2025-12-24»îÐÔÌ¿¸ÄÐÔÔöÇ¿¶ÔÒÒõ£°±»ù·ÓµÄÎü¸½
- 2025-12-15»îÐÔÌ¿Îü¸½Âí¶µÁåËá
- 2025-11-27³¬Ï¸»îÐÔÌ¿5000Ä¿·ÛÄ©»îÐÔÌ¿
- 2025-11-26»îÐÔÌ¿ÔÚÁò»¯Ï𽺳ÄÌ×ÖеÄÓ¦ÓÃ
- 2025-11-19»îÐÔÌ¿Îü¸½Öؾ§Ê¯»ìºÏÎïÖеÄͺÍп
