µç»°£º13570151199
´«Õ棺020-39972520
ÓÊÏ䣺hanyan@hanyancarbon.com
µØÖ·£º¹ã¶«Ê¡¹ãÖÝÊз¬Ø®Çø¶«»·½Ö·¬Ø®´óµÀ±±555ºÅÌì°²×ܲ¿ÖÐÐÄ30ºÅÂ¥6²ã
¡¡¡¡»îÐÔÌ¿ÓëÌìÈ»¹èÂÁËáÑλìºÏÎÌìÈ»¹èÂÁËáÑΣ¬»îÐÔÌ¿ºÍ²ã×´¹èËáÑÎÕ³ÍÁÔÚũҵÖб»¹ã·ºÓÃ×÷¶¯ÎïÓªÑøµÄÌí¼Ó¼ÁºÍÓÃÓÚÍÁÈÀµ÷ÀíºÍÐÞ¸´µÄ·ÊÁÏ¡£ÌìÈ»²ã×´¹èËáÑα»³ÉΪ¿¹¶¾ËØÓªÑøËØ£¬·Ðʯ£¬ÅòÈóÍÁºÍ»îÐÔÌ¿(60£º20£º1)µÄ¶ÀÌØ×éºÏ£¬Ê¹ÓÃÌØ¶¨¼¼Êõ¼Ó¹¤¶ø³É¡£
¡¡¡¡½üÄêÀ´£¬ÈËÃǶԻîÐÔÌ¿ÔÚũҵ¼¼ÊõÉϵÄÓ¦ÓÃÔ½À´Ô½¸ÐÐËȤ¡£¼¸ÏîÑо¿±íÃ÷£¬ÅòÈóÍÁºÍ·Ðʯ¡¢»îÐÔÌ¿¶¼¾ßÓÐÀíÏëµÄÐÔÄܺͽϴóµÄ³ÖË®ÄÜÁ¦¡£¶øÔÚ´¦ÀíÍÁÈÀÖУ¬ËüÃǸÄÉÆÁËÓÐÐ§Ñø·Öº¬Á¿µÄˮƽ¡£»îÐÔÌ¿ºÍÌìÈ»¹èÂÁËáÑζÀÌØµÄÎïÀíºÍ»¯Ñ§ÌØÐÔʹÆäÌØ±ðÊʺÏÓÚũҵÓÃ;¡£·ÐʯºÍÅòÈóÍÁ·Ö±ðÊÇÌìÈ»´æÔڵĽṹºÍ²ã×´¹èËáÑοóÎ¾ßÓиßÑôÀë×Ó½»»»ºÍÀë×ÓÎü¸½ÄÜÁ¦¡£
¡¡¡¡ÓÐȤµÄÊÇ£¬ÔÚûÓÐÖ²ÎïµÄÇé¿öÏ£¬»îÐÔ̿Ҳ»áÓ°ÏìÍÁÈÀ½éÖÊÖеĵªºÍÆäËûÓªÑøÎïÖÊŨ¶È¡£´ËÍ⣬·¢ÏÖÏòÍÁÈÀÖÐÌí¼Ó»îÐÔÌ¿¿ÉÔö¼ÓÖ²ÎïÉúÎïÁ¿£¬Õâ¿ÉÄÜÊÇÒòΪµªµÄ¿ÉÀûÓÃÂʽϸߡ£¾ßÌå¶øÑÔ£¬ÎÒÃÇÑо¿ÁËÓÉ·Ðʯ(> 90%б·¢·Ðʯ)£¬ÅòÈóÍÁ(> 83%ÃÉÍÑʯ)ºÍ»îÐÔÌ¿(60:20:1)µÄ»ìºÏÎï×é³ÉµÄ¿¹¶¾ÐÔÓªÑøËØÓñÃ×Ö²Îï(ÓñÃ×L.)ÔÚ²»ÀûµÄË®Ìõ¼þÏ¡£¾ÍÎÒÃÇËùÖª£¬ÕâÊǵÚÒ»¸öÑо¿ÔڸɺµÌõ¼þÏ»îÐÔÌ¿»ìºÏÎï´¦Àí¶ÔÖ²ÎïÉú³¤µÄÓ°ÏìµÄÑо¿¡£
¡¡¡¡Ö²Îï²ÄÁÏ
¡¡¡¡ÊµÑéÖ²Îï²ÄÁÏÓÉÔÚɳÅàÑøÖÐÉú³¤µÄÓñÃ×Ö²Îï×é³É¡£É³Á£¶ÈΪ0.01-0.075mm¡£²¥ÖÖǰ£¬ÖÖ×ÓÓÃ3%H2O2Ãð¾ú15·ÖÖÓ£¬²¢ÓÃÕôÁóË®³åÏ´¡£ÔÚÕôÁóË®ÖнþÅÝ24Сʱºó£¬½«ÖÖ×Ó×ªÒÆµ½º¬ÓÐÎÞ¾úɰ(700mL)µÄµ¥¸öÅèÖС£Ê¹ÓõÄÇ»ÊÒÉú³¤·½·¨ÖУ¬ÓñÃ×Ö²Îﱩ¶ÓÚ16Сʱ¹âÕÕºÍ8hºÚ°µµÄ·½°¸ÖУ¬ºã¶¨µÄ»·¾³Î¶ÈÏÂ(25¡æ)¡£¸ÃʵÑé°üÀ¨120¸öÅ裬ÿ¸öÅè°üº¬5¸öÖÖ×Ó¡£Á½¸öÖ÷ÒªµÄʵÑé×éµÄ×éÖ¯ÈçÏ£ºµÚÒ»×é(¶ÔÕÕ)°üÀ¨60¸öɳ×ÓÖÖ×ÓÅè; µÚ¶þ×é»îÐÔÌ¿»ìºÏÎï´¦Àí×é)ÓÉ60¸öÅèÔÔÖÖ×Ó¸²¸Ç0.01g »îÐÔÌ¿»ìºÏÎïµÄÖÖ×Ó¡£²¥ÖÖºó£¬ÓÃ10mLÕôÁóË®¹à¸ÈÅ裬ÒÔÔÚÃçÆÚ±£³Ö×î¼ÑÍÁÈÀʪ¶ÈÌõ¼þ¡£´ÓµÚ12Ììµ½µÚ15Ì죬ÓÃ20mLÕôÁóË®ºÍÓªÑøÒº½»Ìæ¹à¸È¡£ÔÚÉú³¤µÄµÚ15Ì죬¶ÔÕպͻîÐÔÌ¿»ìºÏÎï´¦ÀíµÄÖ²Îï½øÒ»²½Ï¸·ÖΪÁ½¸öÑÇ×飬ÿ¸öÓÉ30¸öËæ»úÑ¡ÔñµÄÅè×é³É¡£

¡¡¡¡ÎÒÃÇÔÚËùÓмì²é×éÖиɺµÐ²ÆÈÌõ¼þϸ¬°±ËẬÁ¿Ôö¼Ó(ͼ1)¡£ÔڸɺµÌõ¼þÏ£¬Óë¶ÔÕÕ×éÏà±È£¬»îÐÔÌ¿»ìºÏÎïµÄ´æÔÚÓëÒ¶Öи¬°±ËẬÁ¿ÉÔµÍÓйأ¬Õâ±íÃ÷»îÐÔÌ¿»ìºÏÎïÔڸɺµÌõ¼þÏÂÓлý¼«×÷Óá£
¡¡¡¡µ±Ò¶Æ¬ÖеÄÓÎÀ븬°±ËẬÁ¿½µµÍʱ£¬±íÃ÷µ±´æÔÚ»îÐÔÌ¿»ìºÏÎïʱ£¬¸ÉºµÌõ¼þÏÂÖ²ÎïµÄÉúÀíËðÉËˮƽ½µµÍ¡£ÕâÖÖÓ°Ïì¿ÉÄÜÊÇÓÉÓÚÌìÈ»¹èÂÁËáÑδæÔÚµÄʪ¶ÈÔö¼Ó¡£¾¡¹Ü¸ÉºµÌõ¼þÓÕµ¼Á˶ÔÕÕ×éºÍ»îÐÔÌ¿»ìºÏÎï×éµÄ¸ùÖÐÓÎÀ븬°±ËẬÁ¿µÄÏÔ×ÅÔö¼Ó£¬µ«»îÐÔÌ¿×éÖÐÕâÖÖÔö¼Ó¸üΪÏÔ×Å¡£»îÐÔÌ¿»ìºÏÎï×éÖ²Îï¸ùÖÐÓÎÀ븬°±ËẬÁ¿¼«¸ß£¬Ôö¼ÓÁ˸¬°±ËáµÄ±£»¤×÷Ó㬸¬°±ËáÔÚÖ²Îï×éÖ¯ÖÐÆðµ½ÉøÍ¸ÎïÖʵÄ×÷ÓãºÊ¹Ö²Îï¸üÓÐЧµØÎüÊոɺµÍÁÈÀÖеÄË®·Ö¡£

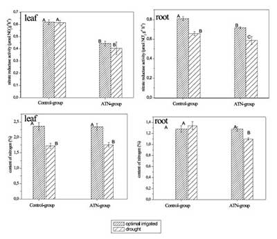
¡¡¡¡ÏõËỹÔø(NR)»îÐÔˮƽºÍÁ½¸ö×é(»îÐÔÌ¿ºÍ¶ÔÕÕ)µÄÒ¶ºÍ¸ùÖеĵªº¬Á¿Èçͼ2Ëùʾ¡£ÕâЩ½á¹û±íÃ÷¸ÉºµÌõ¼þÓÕµ¼ÁËÁ½¸ö×é(¶ÔÕպͻîÐÔÌ¿×é)µÄ¸ùÖеÄÏõËỹÔø»îÐÔµÄÏÔ׎µµÍ£¬ÒÔ¼°»îÐÔÌ¿»ìºÏÎï×é¸ù²¿ÖеÄNÎüÊÕ½µµÍ¡£
¡¡¡¡ÔÚ±¾Ñо¿ÖУ¬ÎÒÃÇÖ¤Ã÷ÔÚ¹à¸ÈºÍ¸ÉºµÌõ¼þÏ£¬»îÐÔÌ¿»ìºÏÎï´¦Àí¶ÔÓñÃ×Ö²ÖêµÄÉúÎïÁ¿ºÍijЩÉúÀíвÆÈ²ÎÊýÓÐÏÔ×ŵÄÕýÏòÓ°Ïì¡£ÓûîÐÔÌ¿´¦ÀíµÄÖ²Îï¾ßÓнϸߵÄÕûÖêÖ²ÎïºÍÓªÑø²¿·Ö¡£´ËÍ⣬ÔÚ»îÐÔÌ¿´¦ÀíµÄÖ²ÎïҶƬÖмǼµ½Ôö¼ÓµÄË®ÊÆ£¬½µµÍµÄ¸¬°±Ëá»ýÀۺͽµµÍµÄÏõËỹÔø»îÐÔ; ¶øÔÚ¸ùÖй۲쵽½Ï¸ßµÄ¸¬°±Ëá»ýÀۺͽÏÉÙµÄÏõËỹÔø»îÐÔ¡£ÎÒÃǵÄÊý¾ÝÒ»Æð±íÃ÷£¬ÓûîÐÔÌ¿»ìºÏÎï´¦ÀíµÄÖ²Îï¿ÉÄܾßÓÐÔö¼ÓµÄ¿¹ºµÄÜÁ¦£¬¾¡¹ÜÐèÒª½øÒ»²½µÄµ÷²é¡£
ÎÄÕ±êÇ©£ºÒ¬¿Ç»îÐÔÌ¿,¹û¿Ç»îÐÔÌ¿,úÖÊ»îÐÔÌ¿,ľÖÊ»îÐÔÌ¿,·äÎÑ»îÐÔÌ¿,¾»Ë®»îÐÔÌ¿.±¾ÎÄÁ´½Ó£ºhttp://m.fdcnvt.cn/hangye/hy598.html
ÍÆ¼ö×ÊѶ
- 2026-02-25»îÐÔÌ¿Îü¸½´¦ÀíÆ¡¾Æ³§·ÏË®
- 2026-02-13»îÐÔÌ¿Îü¸½´¦Àíº¬¹¯·ÏÆø
- 2026-02-04»îÐÔÌ¿ÓÃÓÚ´Ó·ÏË®ÖÐÎü¸½È¥³ý΢Á¿ïÓºÍǦ
- 2026-01-28»îÐÔÌ¿½àÑÀ·ÛרÓÃ
- 2026-01-20»îÐÔÌ¿ÔÚ·ÏÆø´¦ÀíÖеÄһЩ³£Ê¶
- 2026-01-13»îÐÔÌ¿ÔÚ¾«ÖÆÌÇÉú²úÖеÄÍÑɫЧ¹û
- 2026-01-07»îÐÔÌ¿¶Ôßäßò»ùÀë×ÓÒºÌåµÄÎü¸½ÐÔÄÜ
- 2025-12-24»îÐÔÌ¿¸ÄÐÔÔöÇ¿¶ÔÒÒõ£°±»ù·ÓµÄÎü¸½
- 2025-12-15»îÐÔÌ¿Îü¸½Âí¶µÁåËá
- 2025-11-27³¬Ï¸»îÐÔÌ¿5000Ä¿·ÛÄ©»îÐÔÌ¿
- 2025-11-26»îÐÔÌ¿ÔÚÁò»¯Ï𽺳ÄÌ×ÖеÄÓ¦ÓÃ
- 2025-11-19»îÐÔÌ¿Îü¸½Öؾ§Ê¯»ìºÏÎïÖеÄͺÍп
