µç»°£º13570151199
´«Õ棺020-39972520
ÓÊÏ䣺hanyan@hanyancarbon.com
µØÖ·£º¹ã¶«Ê¡¹ãÖÝÊз¬Ø®Çø¶«»·½Ö·¬Ø®´óµÀ±±555ºÅÌì°²×ܲ¿ÖÐÐÄ30ºÅÂ¥6²ã
¡¡¡¡»îÐÔÌ¿¶ÔÉ黯ÇâÎü¸½¸ÄÉÆ×÷ÓÃ
¡¡¡¡É黯Çâ(AsH3)µÄ¹¤ÒµÀ´Ô´Ö÷ÒªÀ´Ô´ÓÚÁס¢Ãº¡¢ÓÐÉ«½ðÊôÒ±Á¶¡¢Ê¯Óͼӹ¤ºÍÁ¶Ó͵ÈÐÐÒµ¡£ÊÇÒ»ÖÖÒ»ÖÖÎÛȾÎÔÚôÊ»ùת»¯ºÍÎü¸½¼ÁºÏ³É¹ý³ÌÖлáÒýÆðÎü¸½¼ÁÎÛȾ¡£´«Í³Îü¸½¼ÁÔÚ¹¤ÒµµÍβÙ×÷Ìõ¼þ϶ÔÉ黯ÇâµÄÈ¥³ýЧ¹ûµÍÓÚÔ¤ÆÚ¡£ÔÚÕâÏîÑо¿ÖУ¬Ê¹ÓÃÍÓÃÓÚ¸ÄÐÔ»îÐÔÌ¿²¢Í¨¹ýµÍαºÉÕÉú²úÐÂÐÍÎü¸½¼Á£¬À´Ôöǿȥ³ýÉ黯ÇâµÄЧ¹û¡£
¡¡¡¡µÍαºÉÕ͸ÄÐÔ»îÐÔÌ¿
¡¡¡¡Ê¹ÓÃËÄÖÖ²»Í¬µÄÍǰÌåCu(NO3)2¡¢CuCl2¡¢Cu(C2H4O2)2ºÍCuSO4ÓÃÓÚ»îÐÔÌ¿µÄ¸ÄÐÔ¡£ËùÓÐÎü¸½¼Á¾ù²ÉÓõÍαºÉÕ·¨ÖƱ¸¡£ÒÔCu(NO3)2-¸ÄÐÔ»îÐÔ̿ΪÀý£¬Ê×ÏÈ£¬½«»îÐÔÌ¿ÑÐÄ¥£¬È»ºóÓÃÈ¥Àë×ÓˮϴµÓ²¢ÔÚ80¡æÏ¸ÉÔï4Сʱ¡£½«¿ÅÁ£¹ý40-60Ŀɸ·Öºó£¬ÓÃ2.0mol/LµÄCu(NO3)2½þ×Õ2.0g»îÐÔÌ¿10mLµÄÈÜÒº¡£½ÓÏÂÀ´£¬½«»ìºÏÎïÔÚÊÒÎÂϽÁ°èºó¾²ÖÃ24Сʱ£¬È»ºóÔÚ¿¾ÏäÖеÍκ濾5Сʱ(80¡¢120¡¢150ºÍ180¡æ)¡£Ö®ºó£¬½«ÑùÆ·ÀäÈ´ÖÁ»·¾³Î¶Ȳ¢Í¨¹ý40-60Ŀɸ·Ö¡£Cuº¬Á¿´Ó1µ½3mol/L²»µÈ£¬ÆäÖÐwt%±íʾÖÊÁ¿°Ù·Ö±È¡£ÀäÈ´ºó£¬µÃµ½CuO¸ÄÐԵĻîÐÔÌ¿Îü¸½¼Á¡£Óɲ»Í¬Ç°ÌåÖÆ±¸µÄÑùÆ··Ö±ð¶¨ÒåΪCu(NO3)2»îÐÔÌ¿¡¢Cu(C2H4O2)2»îÐÔÌ¿¡¢CuCl2»îÐÔÌ¿ºÍCuSO4»îÐÔÌ¿¡£
¡¡¡¡É黯ÇâÍ»ÆÆÐÔ¶¯Ì¬²âÊÔ
¡¡¡¡ÊµÑé×°Öõķ½°¸ÔÚͼ1Ìṩ¡£½«ÆøÁ÷ÒÔ200mL/·ÖÖӵįøÌåÁ÷ËÙÒýÈë»ìºÏÆ÷ÖС£¸ÃÆøÌåÓÉÏ¡ÊÍÔÚO2(0-1.2%)ÖеÄAsH3(200ppm)×é³É¡£È»ºóÔ¤»ìºÏÆøÌå½øÈëÌî³äÓÐ0.2g»îÐÔÌ¿Îü¸½ÖùµÄ¹Ì¶¨´²¡£ÉèÖÃÁ½¸ö²ÉÑù¿Ú£ºÒ»¸öÓÃÓÚ½ø¿ÚÆøÌ壬һ¸öÓÃÓÚ³ö¿Ú´¦ÀíºóµÄ²ÐÓàÎ²Æø¡£·ÏÆø¾ËáÐÔKMnO4´¦Àí¡£ÔÚÕâÏîÑо¿ÖУ¬AsH3È¥³ýЧÂʺÍÎü¸½ÈÝÁ¿ÓÃÓÚÆÀ¹À»îÐÔÌ¿µÄÉéÎü¸½ÄÜÁ¦¡£ËùÓÐʵÑéÖØ¸´3´Î£¬¼ÆËã±ê×¼²îºÍƽ¾ùÖµ¡£

¡¡¡¡Í¼1£ºÊµÑé×°ÖÃʾÒâͼ¡£
¡¡¡¡·´Ó¦Ìõ¼þ¶Ô»îÐÔÌ¿ÉÏAsH3Îü¸½µÄÓ°Ïì
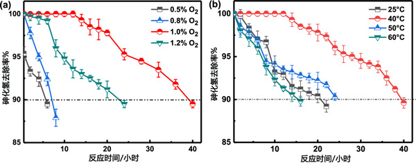
¡¡¡¡²âÊÔÁË΢ÑõºÍµÍÎÂʵ¼Ê¹¤ÒµÌõ¼þÏ»îÐÔÌ¿µÄÎü¸½ÐÔÄÜ¡£Èçͼ2aËùʾ£¬AsH3µÄÈ¥³ýЧÂÊËæ×ÅÑõº¬Á¿(0.5¡¢0.8¡¢1ºÍ1.2%)µÄÔö¼Ó¶øÔö¼Ó¡£Ñõº¬Á¿Îª0.5ºÍ0.8%ʱ¼Ç¼µÄÈ¥³ýЧÂʵÍÓÚ8Сʱºó¼Ç¼µÄ90%¡£Ïà±È֮ϣ¬1%µÄÑõº¬Á¿ÏÔ×ÅÔö¼Ó¡£È»¶ø£¬Ñõº¬Á¿½øÒ»²½ÉÏÉýÖÁ1.2%»á½µµÍÐÔÄÜ£¬ÒòΪ¹ý¶àµÄÑõ»áÓëAsH3¾ºÕùÎü¸½¡£Òò´Ë£¬Ñ¡Ôñ1.0%µÄÑõº¬Á¿Îª×î¼Ñ²¢ÓÃÓÚ½øÒ»²½·´Ó¦¡£Í¸ÄÐÔ»îÐÔÌ¿µÄµÍÎÂÎü¸½ÐÔÄÜÔÚ25¡¢40¡¢50ºÍ60¡æÏ½øÐÐÁËÑéÖ¤£¬½á¹ûÈçͼ2bËùʾ¡£ÔÚ25¡æÊ±£¬AsH3µÄ³õʼȥ³ýЧÂʵͣ¬µ«ÔÚ40¡æÊ±ÓÐËù¸ÄÉÆ¡£Õâ¿ÉÄÜÊÇÓÉÓÚÎü¸½¼ÁµÄ»î»¯Î¶ȡ£È»¶ø£¬Î¶ȽøÒ»²½Éý¸ßÖÁ50ºÍ60¡æ»áµ¼ÖÂÈ¥³ýЧÂÊϽµ£¬´Ó¶ø²úÉúÓë25¡æÏ»ñµÃµÄÖµ´óÖÂÏàͬµÄÖµ¡£Òò´Ë£¬Ñ¡Ôñ40¡æ×÷Ϊ×î¼Ñ·´Ó¦Î¶ÈÒÔ²úÉúºÏÊʵÄÎü¸½¼Á¡£ÔÚ´ËÌõ¼þÏÂÎü¸½ÈÝÁ¿ÊÇÆäËûº¬ÍÎü¸½¼ÁµÄ10±¶¡£ÉÏÊö½á¹ûÖ¤Ã÷͸ÄÐÔ»îÐÔÌ¿ÔÚ¹¤ÒµÎ¢ÑõºÍµÍÎÂÌõ¼þϾßÓÐÓÅÒìµÄ³ýÉéÄÜÁ¦¡£

¡¡¡¡Í¼2£ºÑõº¬Á¿(a)ºÍ·´Ó¦Î¶È(b)¶ÔAsH3È¥³ýЧÂʵÄÓ°Ïì¡£
¡¡¡¡Í¸ÄÐÔ»îÐÔÌ¿µÄÔÙÉú
¡¡¡¡Í¸ÄÐÔ»îÐÔ̿ͨ¹ýˮϴºÍ´µÉ¨ÆøÌå·¨½øÐÐÔÙÉú¡£Îª´Ë£¬»îÐÔÌ¿ÑùÆ·Ê×ÏÈÔÚ100¡æµÄÈÈ¿ÕÆøÖл3Сʱ¡£È»ºóÓÃÈ¥Àë×ÓË®½þÅÝÇåÏ´4-5´Î£¬·ÅÈëµçÈÈ·çºæÏäÖÐ110-120¡æºæ¸É¡£Ö®ºó£¬½«ÑùÆ·ÖÃÓÚµªÆøÆø·ÕϵĹÜʽ¯ÖУ¬²¢Ê¹ÓóÌÐòÉýοØÖÆÆ÷Éý¸ßζȡ£¿¼Âǵ½Í¨¹ýÔÚ180¡æÏº濾»ñµÃµÄ²ÄÁÏ£¬Î¶ÈÊ×ÏÈÉ趨ÔÚ20-180¡æ¡£Ö®ºó£¬Í£Ö¹¼ÓÈÈ£¬½«ÑùÆ·ÀäÈ´ÖÁÊÒΡ£È¡³öÑùÆ·£¬Í£Ö¹µªÆøÁ÷£¬¶ÔÔÙÉú²ÄÁϽøÐвâÊÔ¡£Èçͼ3aËùʾ£¬RµÄÔÙÉúЧÂÊ(RΪÔÙÉúÎü¸½¼ÁÓëÐÂÏÊÎü¸½¼ÁµÄ´©Í¸Ê±¼äÖ®±È)ÔÚÒ»¸öÔÙÉúÑ»·ºóΪ65%¡£ÔÚµÚ¶þ´ÎÔÙÉúÑ»·ºó£¬ÑùÆ·»Ö¸´Ð§ÂÊR´ïµ½60%£¬Ö¤ÊµÁË»îÐÔÌ¿Îü¸½¼Á¶ÔÈ¥³ýAsH3¾ßÓкÏÀíµÄÔÙÉúÄÜÁ¦¡£ÎªÁËÈ·¶¨»îÐÔÌ¿Îü¸½¼ÁÔÙÉúºó±íÃæÏàµÄ±ä»¯£¬Í¨¹ýXRD·ÖÎö»îÐÔÌ¿Îü¸½¼Á¡£Èçͼ3bËùʾ£¬ÔÙÉúºó»îÐÔÌ¿-R1ÖÐ35.6°¡¢38.8°ºÍ61.8°µÄCuOÑÜÉä·åÇ¿¶ÈÃ÷ÏÔÔö¼Ó£¬µ«Ã»ÓÐCu2(NO3)·å±»ÕÒµ½¡£Õâ±íÃ÷ÔÚÔÙÉú¹ý³ÌÖлØÊÕµÄһЩCuOÎïÖÖ¿ÉÄܱ»ÖмäÌåCu2(NO3)(OH)3ת»¯¡£´ËÍ⣬»îÐÔÌ¿-R1ÑùÆ·ÖÐAs2O3ÔÚ28.0°¡¢32.2°¡¢35.5°¡¢42.6°¡¢46.4°¡¢55.0°ºÍ59.6°´¦µÄ½á¾§·åÃ÷ÏÔ¼õÈõ¡£ÍƲâÖмäÌåCu2(NO3)(OH)3ÏòÎü¸½»îÐÔÖÐÐÄCuOµÄת±äºÍ½á¾§As2O3µÄ·ÖÀë¿ÉÄÜÊÇ»îÐÔÌ¿Îü¸½¼ÁÔÙÉúÐÔÄܺõÄÔÒò¡£

¡¡¡¡Í¼3£º(a)͸ÄÐÔ»îÐÔÌ¿µÄÔÙÉúÐÔÄÜ£¬(b)ËÄ¿î͸ÄÐÔ»îÐÔÌ¿µÄXRDͼÆ×¡£
¡¡¡¡AsH3Îü¸½»úÖÆµÄ¼ø¶¨
¡¡¡¡¸ù¾ÝʵÑé½á¹ûºÍËæºóµÄ²úÎï·ÖÎö£¬È·¶¨Á˵ÍÎÂÏÂ͸ÄÐÔ»îÐÔÌ¿ÉÏAsH3»¯Ñ§Îü¸½µÄ»úÀí¡£½«Cu(NO3)2Ìí¼Óµ½»îÐÔÌ¿ÖпÉÒÔÔÚ180¡æ±ºÉÕʱÐγÉCuOµÄ¸ß»îÐÔÏà¡£ÓÉÓÚAsH3Îü¸½ÔÚ½ðÊô×é·ÖÉÏ£¬As-H¼ü¼õÈõ£¬ÔڽϵÍζÈÏÂÈÝÒ×¶ÏÁÑ£¬»îÐÔÌ¿Îü¸½¼ÁµÄCu2+ºÍCu+ת»¯Ñ»·Ôڴ˹ý³ÌÖз¢»ÓÁËÖØÒª×÷Óá£ÊͷŵÄOὫAsH3Ñõ»¯ÎªAs3+£¬¶øCu2+»Ö¸´ÎªCu+Óë¿ÕÆøÖеÄÑõÆø½Ó´¥ºóÑõ»¯³ÉCu2+¡£Í¬Ê±£¬ÔÚ40¡æµÄ·´Ó¦Î¶ÈÏ£¬LËáλµã¿ÉÒÔ¼«´óµØ¸ÄÉÆ»îÐÔÌ¿Îü¸½¼Á¶ÔO2µÄ±íÃæ»¯Ñ§Îü¸½£¬´Ó¶ø²¹³äOβÒÔ´Ù½øCuµÄÑ»·¡£Ö÷ÒªÑõ»¯Éé²úÎïÒÔAs2O3ΪÖ÷£¬ÉÙÁ¿As2O5¡£×ÜÌå¶øÑÔ£¬»îÐÔÌ¿Îü¸½¼Áͨ¹ýCuÎïÖÖÑ»·ºÍ»î»¯LËáλµãµÄÐͬ×÷ÓÃʵÏÖÁ˶ÔAsH3µÄ¸ßЧ²¶»ñºÍ´¿»¯¡£
¡¡¡¡»îÐÔÌ¿¶ÔÉ黯ÇâÎü¸½¸ÄÉÆ×÷Óã¬Í¨¹ýµÍαºÉÕ·¨ºÏ³ÉµÄ͸ÄÐÔÎü¸½¼Á¾ßÓнϸߵÄÉ黯ÇâÎü¸½Ð§ÂÊ¡£Í¨¹ý»îÐÔ×é·ÖCuOÖеÄCu2+µ½Cu+µÄÑ»·ÊͷŵÄOαÔÚAsH3µÄÑõ»¯¹ý³ÌÖз¢»ÓÁËÖØÒª×÷ÓᣴËÍ⣬͸ÄÐÔ»îÐÔÌ¿Îü¸½¼ÁµÄLËáÐÔλµã¿ÉÒÔ¿ìËÙ¸ÄÉÆO2µÄ»¯Ñ§Îü¸½£¬´Ó¶ø²¹³äOβÒÔÐÖúCuÎïÖÖµÄÑ»·¡£AsH3Ê×Ïȱ»Ñõ»¯ÎªAs2O3£¬È»ºó±»Ñõ»¯ÎªAs2O5£¬µ¼ÖÂÔÚÎü¸½¼Á±íÃæÐγɳÁ»ýÎï¡£¶ÔÓÚ¼¸´úºóµÄ60%µÄÔÙÉúЧÂÊ£¬Í¸ÄÐÔ»îÐÔÌ¿ÖеÄÖмäÌåCu2(NO3)(OH)ÔÚÔÙÉú¹ý³ÌÖпÉÒÔ²¿·Öת»¯Îª»îÐÔÖÐÐÄCuO¡£Ò»´ÎˮϴºÍ´µÉ¨ÆøÔÙÉúµÄ½á¹û±íÃ÷£¬Cu2+»¹ÔÁË20%£¬¶øÖ÷ÒªÎÛȾÎïAs2O3¼õÉÙÁËÔ¼7±¶¡£Ó봫ͳµÄÍÎü¸½¼ÁÏà±È£¬Cu(NO3)2-¸ÄÐÔ»îÐÔÌ¿µÍαºÉÕʹ·´Ó¦²Ù×÷ζȽµµÍÁË80¡æ¡£¾Í¹¤ÒµÊµ¼ÊÌõ¼þºÍ½ÏµÍµÄ²Ù×÷ζȶøÑÔ£¬µÍαºÉÕ·¨ºÏ³ÉµÄ͸ÄÐÔ»îÐÔÌ¿ÊÇÒ»ÖÖºÜÓÐǰ¾°µÄ¹¤ÒµµÍÎÂAsH3ÍѳýÎü¸½¼Á¡£
ÎÄÕ±êÇ©£ºÒ¬¿Ç»îÐÔÌ¿,¹û¿Ç»îÐÔÌ¿,úÖÊ»îÐÔÌ¿,ľÖÊ»îÐÔÌ¿,·äÎÑ»îÐÔÌ¿,¾»Ë®»îÐÔÌ¿.±¾ÎÄÁ´½Ó£ºhttp://m.fdcnvt.cn/hangye/hy1098.html
ÍÆ¼ö×ÊѶ
- 2026-02-25»îÐÔÌ¿Îü¸½´¦ÀíÆ¡¾Æ³§·ÏË®
- 2026-02-13»îÐÔÌ¿Îü¸½´¦Àíº¬¹¯·ÏÆø
- 2026-02-04»îÐÔÌ¿ÓÃÓÚ´Ó·ÏË®ÖÐÎü¸½È¥³ý΢Á¿ïÓºÍǦ
- 2026-01-28»îÐÔÌ¿½àÑÀ·ÛרÓÃ
- 2026-01-20»îÐÔÌ¿ÔÚ·ÏÆø´¦ÀíÖеÄһЩ³£Ê¶
- 2026-01-13»îÐÔÌ¿ÔÚ¾«ÖÆÌÇÉú²úÖеÄÍÑɫЧ¹û
- 2026-01-07»îÐÔÌ¿¶Ôßäßò»ùÀë×ÓÒºÌåµÄÎü¸½ÐÔÄÜ
- 2025-12-24»îÐÔÌ¿¸ÄÐÔÔöÇ¿¶ÔÒÒõ£°±»ù·ÓµÄÎü¸½
- 2025-12-15»îÐÔÌ¿Îü¸½Âí¶µÁåËá
- 2025-11-27³¬Ï¸»îÐÔÌ¿5000Ä¿·ÛÄ©»îÐÔÌ¿
- 2025-11-26»îÐÔÌ¿ÔÚÁò»¯Ï𽺳ÄÌ×ÖеÄÓ¦ÓÃ
- 2025-11-19»îÐÔÌ¿Îü¸½Öؾ§Ê¯»ìºÏÎïÖеÄͺÍп
