µç»°£º13570151199
´«Õ棺020-39972520
ÓÊÏ䣺hanyan@hanyancarbon.com
µØÖ·£º¹ã¶«Ê¡¹ãÖÝÊз¬Ø®Çø¶«»·½Ö·¬Ø®´óµÀ±±555ºÅÌì°²×ܲ¿ÖÐÐÄ30ºÅÂ¥6²ã
¡¡¡¡»îÐÔÌ¿ÓõÈÎÂÏß·ÖÎö¿×ÐγɻúÖÆ
¡¡¡¡»îÐÔ̿ͨ¹ýÔ²ÄÁÏÔÚKOHË®ÈÜÒºÖеÄË®ÈÈ̼»¯Ö±½ÓºÏ³É¡£Í¨¹ýµ÷½ÚÈÜÒº»ìºÏµÄKOHµÄÁ¿À´¸Ä±ä»îÐÔÌ¿µÄ¿×϶¡£ÔÙͨ¹ý²âÁ¿ÆøÌåÎü¸½µÈÎÂÏߵĿ×϶Âʲⶨ·¨ÌṩÁ˶ԹÌÌå¿×϶ͨµÀÐÔÖʵÄÉîÈëÁË½â£¬ÌØ±ðÊÇÔÚÆäËû¼¼Êõ²»ÊÊÓÃÓÚ¿×¾¶´óСµÄÎÞÐò×´²ÄÁÏÉÏ¡£»îÐÔÌ¿¶ÔÓÚ»¯Ñ§»î»¯£¬ËäÈ»ÓжàÖÖÖ¿׼Á£¬µ«ÆäÖÐÊÜ»¶ÓµÄÊǼî½ðÊôÇâÑõ»¯ÎïKOHºÍNaOH£¬ÒòΪËüÃÇÓÐÖúÓÚ¶Ô¿×϶ÂʽøÐи߶ȿØÖÆ£¬¶ÔÓÚKOHÓÈÆäÈç´Ë¡£ËùÒÔÕâ´ÎµÄÑо¿ÊÇͨ¹ýµÈÎÂÏß·ÖÎö»îÐÔÌ¿ÄÚ¿×϶µÄÓÐЩÐγɻúÖÆ£¬ÎªÁËÒÔºóÄÜ¿ØÖÆ»îÐÔÌ¿¿×϶µÄÐγɷ½±ã¶¨ÖÆÉú²ú¡£
¡¡¡¡Ì¿ºÏ³É
¡¡¡¡ÔÚʹÓúͲ»Ê¹ÓÃÖ¿׼ÁµÄÇé¿öϺϳɻîÐÔÌ¿£¬µ«±£³ÖËùÓÐÆäËû±äÁ¿²»±ä¡£Ò»°ãÇé¿öÏ£¬ÕâÊÇͨ¹ýÔÚË®ÈÈ̼»¯²½ÖèÖÐÌí¼ÓKOHÀ´Íê³ÉµÄ¡£Ô²ÄÁÏÔÚKOHË®ÈÜÒºÖÐÒÔ5¡æ/·ÖÖÓ-1µÄÉýÎÂËÙÂÊÔÚ250ºÍ300¡æÏÂͨ¹ýË®ÈÈ̼»¯´¦Àí2Сʱ¡£Ã¿¸öʵÑéÖоâÄ©µÄŨ¶ÈΪ0.32g/cm-3£¬¶øKOHÔ²ÄÁÏÔÚÿ¸öÈÈҺ̼»¯Î¶ÈÏ´Ó0.0¡¢0.5µ½1.0±ä»¯¡£Õâ²úÉúÁË×ܹ²ÁùÖÖºÚÉ«½¬ÁÏ£¬ËüÃÇÔÚÑõ»¯ÂÁÖÛÖÐÔÚ100¡æÏ¸ÉÔȻºóͨ¹ýÔÚµªÆøÏÂÔÚ800¡æÏ¼ÓÈÈ1Сʱ(ÉýÎÂËÙÂÊ3¡æ/·ÖÖÓ-1)½øÐл²¢Ê¹ÆäÀäÈ´»ñµÃ³ÉÆ·»îÐÔÌ¿¡£
¡¡¡¡»îÐÔÌ¿µÄÀ©É¢
¡¡¡¡ÔÚµÈÎÂÏߵIJâÁ¿¹ý³ÌÖУ¬µ±±È½ÏµÈεãÖ®¼äµÄʱ¼ätʱ£¬ÕâÖÖ²îÒì×îΪÃ÷ÏÔ£¬Èçͼ1aËùʾ¡£ËäÈ»»îÐÔÌ¿µÄO2ºÍN2µÈÎÂÏßÒÔ¼°»îÐÔÌ¿µÄO2µÈÎÂÏßµÄt´óÖÂÏàËÆ£¬µ«»îÐÔÌ¿µÄN2µÈÎÂÏßÔÚµÍÏà¶ÔѹÁ¦ÇøµÄt¸ßµÃ¶à£¬µ¥µã²âÁ¿Ê±¼ä³¤´ï10Сʱ¡£Õâ±íÃ÷»ºÂýÀ©É¢¿ÉÄÜÓëN2Óë»îÐÔÌ¿¿×϶¶ÈµÄÄ³Ð©ÌØÕ÷µÄÏàÈÝÐÔÓйء£Í¬Ñù£¬µ±±È½ÏÆäËûÌ¿µÄµãÖ®¼äËùÓõÄʱ¼äʱÔÚÏËÎ¬ËØ½á¹¹ÖÐÓÃÔö¼ÓÁ¿µÄNaºÏ³ÉµÄÑùÆ·(ͼ1b)ºÜÃ÷ÏÔ£¬Í¨¹ýʹÓÃÖ¿׼ÁÀ©´ó¿×϶ÂÊÌá¸ßÁËN2À©É¢µ½¿×ÖеÄÄÜÁ¦£¬²¢ÇÒÕâÖָĽøÔÚijЩʱºò»á¼ÓËÙÈ¡´ú¶È½éÓÚ0.7ºÍ0.9Ö®¼ä¡£

¡¡¡¡Í¼1£º(a)O2ºÍN2µÈÎÂÏßÔÚ»îÐÔÌ¿ÉϵÄÏà¶ÔѹÁ¦Ôö¼ÓºÍ(b)N2µÈÎÂÏ߯äËûÌ¿µÄµãÖ®¼äµÄʱ¼ä¡£
¡¡¡¡Ë«ÄâºÏ·ÖÎö
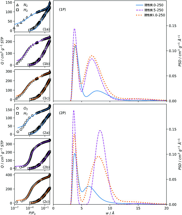
¡¡¡¡»îÐÔÌ¿ºÍÆäËûÌ¿¶ÔO2/H2ºÍN2/H2µÈÎÂÏßµÄË«ÖØÄâºÏ·Ö±ð¡£ÈçµÈÎÂÏß±¾ÉíËùʾ£¬Ê¹ÓÃO2/H2µÈÎÂÏߵóöµÄ»îÐÔÌ¿(ͼ2(1P,2P)µÄPSD±íÃ÷±ÈʹÓÃN2/H2ʱ¾ßÓиü´óµÄ¿×϶ÂÊ£¬¶ÔÓÚÆäËûÌ¿µÄPSDsÒ²ÊÇÈç´Ë¡£ÎÞÂÛʹÓÃʲôµÈÎÂÏßµÄ×Ó¼¯£¬µÚÒ»¸ö´óÖµµÄλÖÃÔÚËùÓÐÅÉÉúµÄPSDÖж¼ÊÇÒ»Öµģ¬ÒòΪÕâÖ÷ÒªÀ´×ÔH2µÈÎÂÏß¡£È»¶ø£¬¹ØÓÚµÚ¶þ¸ö´óÖµ£¬»îÐÔÌ¿ºÍÆäËûÌ¿µÄÁ½×éPSDÌṩµÄͼƬÂÔÓв»Í¬¡£ËäÈ»N2/H2ÑÜÉúµÄPSDÏÔʾ»îÐÔÌ¿µÄ¿×¾¶Ö»ÓкÜСµÄ²îÒì»òȷʵÓкÜСµÄ¼õС£¬µ«O2/H2PSDs±íÃ÷£¬µ±KOHÓÃ×÷Ö¿׼Áʱ£¬¿×϶¶È´Ó³¬Î¢¿×À©Õ¹µ½³¬Î¢¿×ÇøÓò¡£´ËÍ⣬ÔÚµÚ¶þ¸ö×î´óÖµÖÐÓÐһЩPSDÕ¹¿íµÄ¼£Ï󡣺óÒ»ÖÖÐðÊö¸ü·ûºÏĿǰ¶Ô»îÐÔÌ¿Öп×ÐγɵÄÀí½â£¬ÒòΪÔÚÈȽâ¹ý³ÌÖÐʹÓüî½ðÊôÇâÑõ»¯ÎïÖ¿׼Áµ¼Ö¿׾¶Ïà¶ÔÓÚͨ¹ýÉúÎïÖÊÆø»¯ÐγɵĿ׳ߴçÔö¼Ó(¼´£¬²»Ìí¼ÓÖ¿׼ÁµÄÈȽâ)¡£Í¬Ñù£¬¸ù¾ÝÁ½¸öµÈÎÂÏß¶ÔµÄͬʱÄâºÏÄںˣ¬¿×¾¶Ç÷ÊÆÓëÖ¿׼ÁÁ¿µÄÕâÖÖ²îÒì¿ÉÄÜÊÇN2µÈÎÂÏßµÄʧ°Ü£¬ÒòΪÔÚ·ÖÎöÆÚ¼äδ³ä·Ö̽²â³¬Î¢¿×¡£

¡¡¡¡Í¼2£ºÄâºÏÑùÆ·»îÐÔÌ¿µÄN2/H2(1a,1b,1c)ºÍO2/H2(2a,2b,2c)µÈÎÂÏߺÍËùµÃµÄPSD(1P,2P)¡£
¡¡¡¡ÈýÏòÄâºÏ·ÖÎö
¡¡¡¡ÎªÁ˽øÒ»²½Á˽âO2/H2ºÍN2/H2·ÖÎöÖ®¼äµÄ²îÒ죬2D-NLDFTÒìÖʱíÃæºËͬʱÊʺÏijЩÑùÆ·µÄËùÓÐÈý¸ö(O2¡¢N2¡¢H2)µÈÎÂÏß¡£ÌرðÊÇ£¬ÕâÀïµÄÄ¿µÄÊǸù¾Ýÿ¸ö»îÐÔÌ¿µÄ»î»¯³Ì¶È±È½ÏÄâºÏÖÊÁ¿¡£ÔÚͼ3ÖбȽÏÁË»îÐÔÌ¿0-300ºÍ»îÐÔÌ¿1µÄÄâºÏºÍPSD¡£µ±Ê¹ÓöÔÊýÏà¶ÔѹÁ¦Öá¼ì²éÄâºÏʱͼ3(1b,2b)£¬ºÜÃ÷ÏÔ£¬»îÐÔÌ¿0-300µÄÄâºÏ¼«²î£¬ÌرðÊÇÔÚµÍÑ¹ÇøÓò¡£ËäÈ»»îÐÔÌ¿0-300µÄµ¥¶ÀO2/H2ºÍN2/H2·ÖÎöÔÚµÈεãµÍÓÚP/Po=10-4ʱÓöµ½ÎÊÌ⣬Õâ¸öµÍÄâºÏÖÊÁ¿¶ÔÓÚµÈÎÂÏßµÄÕû¸öµÍѹ(¼´Î¢¿×)ÇøÓòÖеÄÈýÏòÄâºÏ·Ç³£ÏÔ×Å¡£

¡¡¡¡Í¼3£ºÊ¹ÓÃÏßÐÔ(1a,2a)ºÍ¶ÔÊý(1b)ÖеÄxÖáͬʱÄâºÏ»îÐÔÌ¿0-300(1a,1b)ºÍ»îÐÔÌ¿1(2a,2b)µÄO2¡¢N2ºÍH2µÈÎÂÏß)³ß¶È£¬ÒÔ¼°´ÓÈýÏòÄâºÏ(1c,2c)È·¶¨µÄPSD¡£
¡¡¡¡ÁíÒ»·½Ã棬»îÐÔÌ¿1µÄÈýͨÅäºÏÒªÁîÈËÂúÒâµÃ¶à¡£»¹ÖµµÃ×¢ÒâµÄÊÇ£¬¶ÔÓÚÕâÁ½¸öÑùÆ·£¬¶ÔH2µÈÎÂÏßµÄÄâºÏ×ÜÊǺܺã¬Õâ±íÃ÷²»È·¶¨ÐÔÊÇÓÉÓÚN2ºÍO2µÈÎÂÏß¶ø²»ÊÇH2Ö®¼äµÄ·ÖÆçÔì³ÉµÄ¡£ÖÁÓÚPSD£¬ËäÈ»»îÐÔÌ¿1µÄ·åλÖÃÓëÈÎһ˫µÈÎÂÏß·ÖÎöÖп´µ½µÄ·åλÖûù±¾Ïàͬ£¬µ«»îÐÔÌ¿0-300µÄ·åλÖò¢²»Ã÷ÏÔ¡£×ܶøÑÔÖ®£¬ËäÈ»O2ºÍN2Ö®¼äµÄÒ»ÖÂÐÔÊÊÓÃÓÚ¸ü¸ß»î»¯µÄÑùÆ·£¬µ«¶ÔÓڻ³Ì¶È½ÏµÍµÄËùνµÄÆäËûÌ¿ÑùÆ·Ôò²»È»¡£»»ÑÔÖ®£¬ÔÚ̽²â³¬Î¢¿×ʱ£¬O2ºÍN2²úÉú²»Í¬µÄPSD½á¹û£¬Õâ¿É¹éÒòÓÚN2À©É¢µ½½ÏС¿×ÖеÄÄÜÁ¦½Ï²î¡£Ëæ×Å¿×϶ÂÊÀ©´óµ½³¬Î¢¿×ÇøÓò£¬¿ÉÒÔͨ¹ýÈÎÒ»Îü¸½¼Á׼ȷ²âÁ¿¿×϶¡£
¡¡¡¡»îÐÔÌ¿ÓõÈÎÂÏß·ÖÎö¿×ÐγɻúÖÆ£¬±È½ÏÁËʹÓüî½ðÊô»î»¯µÄ»îÐÔÌ¿µÄ¿×϶ÂÊ£¬ÕâÊÇͨ¹ýÁ½ÖÖË«µÈÎÂÏß·ÖÎö·½·¨È·¶¨µÄ£¬¼´Ê¹ÓÃÎü¸½¶ÔN2/H2ºÍO2/H2¡£ÎÒÃǵóö½áÂÛ£¬ÀíÂÛÉÏ£¬N2¸Ä½øµÄ³¬Î¢¿×ÉøÍ¸¿ÉÒÔͨ¹ýÔÊÐíϵͳÔÚµÍѹÏÂÆ½ºâ¸ü³¤µÄʱ¼äÀ´ÊµÏÖ£¬»òÕßͨ¹ýÔÚ¸ü¸ßζÈϲâÁ¿µÈÎÂÏßÀ´ÊµÏÖ¡£È»¶ø£¬ÕâЩÐÞ¸ÄÊDz»ÇÐʵ¼ÊµÄ£¬ÒòΪÔÚµÚÒ»ÖÖÇé¿öÏ£¬µÈÎÂÏß²âÁ¿µÄ³ÖÐøÊ±¼ä»á¹ý³¤¡£´ËÍ⣬ʹÓÃO2ºÍH2¿ÉÒÔ¸üÕæÊµµØÃè»æ¿×϶ÂÊËæ×ÅÑõ»¯»¯Ñ§»î»¯³Ì¶ÈµÄÔö¼Ó£¬ÒòΪ»îÐÔÌ¿±»Ô½À´Ô½¶àµÄÖ¿׼Á»î»¯¡£Ò²¾ÍÊÇ˵£¬Ëæ×ÅÖ¿׼Á/»îÐÔÌ¿±ÈÂʵÄÔö¼Ó£¬ÎÒÃÇʼÖչ۲쵽ÑùÆ·µÄPSD±ä¿í¡£Ëæ×Ż¼ÁµÄÁ¿Ôö¼Ó£¬¹Û²ìµ½¿×¿í¶ÈµÄÊÕËõ¡£ÓÉʹÓÃN2ºÍH2µ¼³öµÄPSD¸ø³öµÄÐðÊö²»ÄÜͨ¹ýĿǰ¶ÔÑõ»¯»¯Ñ§»î»¯¹ý³ÌÖп×϶¶È·¢Õ¹»úÖÆµÄÀí½âÀ´½âÊÍ¡£Ö¿׼ÁÊýÁ¿µÄÔö¼Ó¶ÔÕâЩ»îÐÔÌ¿µÄϸ¿×½á¹¹µÄ΢ÃîÓ°ÏìÖ»ÄÜͨ¹ý±¾¹¤×÷ÖÐʹÓõĸßÁéÃô¶È·½·¨¼ì²âµ½¡£ÕâÖÖÃô¸ÐÐÔÒâζ×ÅΪ²ÄÁÏÑ¡ÔñºÏÊʵÄÎü¸½¼ÁÖÁ¹ØÖØÒª¡£µ±ÊÔͼÁ˽âËæ×Ż¼ÁÁ¿µÄÔö¼Ó¶øÔÚ»îÐÔÌ¿Öп×϶¶ÈµÄ·¢Õ¹Ê±£¬Õâ¸öÂß¼Ò²Ó¦¸ÃÀ©Õ¹µ½Îü¸½¼ÁµÄʹÓá£
ÎÄÕ±êÇ©£ºÒ¬¿Ç»îÐÔÌ¿,¹û¿Ç»îÐÔÌ¿,úÖÊ»îÐÔÌ¿,ľÖÊ»îÐÔÌ¿,·äÎÑ»îÐÔÌ¿,¾»Ë®»îÐÔÌ¿.±¾ÎÄÁ´½Ó£ºhttp://m.fdcnvt.cn/hangye/hy1097.html
ÍÆ¼ö×ÊѶ
- 2026-02-25»îÐÔÌ¿Îü¸½´¦ÀíÆ¡¾Æ³§·ÏË®
- 2026-02-13»îÐÔÌ¿Îü¸½´¦Àíº¬¹¯·ÏÆø
- 2026-02-04»îÐÔÌ¿ÓÃÓÚ´Ó·ÏË®ÖÐÎü¸½È¥³ý΢Á¿ïÓºÍǦ
- 2026-01-28»îÐÔÌ¿½àÑÀ·ÛרÓÃ
- 2026-01-20»îÐÔÌ¿ÔÚ·ÏÆø´¦ÀíÖеÄһЩ³£Ê¶
- 2026-01-13»îÐÔÌ¿ÔÚ¾«ÖÆÌÇÉú²úÖеÄÍÑɫЧ¹û
- 2026-01-07»îÐÔÌ¿¶Ôßäßò»ùÀë×ÓÒºÌåµÄÎü¸½ÐÔÄÜ
- 2025-12-24»îÐÔÌ¿¸ÄÐÔÔöÇ¿¶ÔÒÒõ£°±»ù·ÓµÄÎü¸½
- 2025-12-15»îÐÔÌ¿Îü¸½Âí¶µÁåËá
- 2025-11-27³¬Ï¸»îÐÔÌ¿5000Ä¿·ÛÄ©»îÐÔÌ¿
- 2025-11-26»îÐÔÌ¿ÔÚÁò»¯Ï𽺳ÄÌ×ÖеÄÓ¦ÓÃ
- 2025-11-19»îÐÔÌ¿Îü¸½Öؾ§Ê¯»ìºÏÎïÖеÄͺÍп
