µç»°£º13570151199
´«Õ棺020-39972520
ÓÊÏ䣺hanyan@hanyancarbon.com
µØÖ·£º¹ã¶«Ê¡¹ãÖÝÊз¬Ø®Çø¶«»·½Ö·¬Ø®´óµÀ±±555ºÅÌì°²×ܲ¿ÖÐÐÄ30ºÅÂ¥6²ã
¡¡¡¡Õæ¿Õ±äѹÎü¸½ÉÏ»îÐÔÌ¿¶ÔÇâÆøµÄ¾»»¯
¡¡¡¡ÇâÊǺÜÓÐDZÁ¦µÄ¶þ´ÎÄÜÔ´¡£Ó봫ͳ»¯Ê¯È¼ÁÏÏà±È£¬Çâ¾ßÓÐÁãÎÛȾºÍ¹ã·º¿ÉÓõÄÀ´Ô´µÄÓÅÊÆ£¬²¢ÇÒ±»ÈÏΪÊÇÖØÒªµÄÄÜÔ´ÔØÌ塣Ŀǰ£¬´ó²¿·ÖµÄÇâµÄÉú²úÊÇÓÃÌìÈ»ÆøºÍÕôÆû¼×ÍéÖØÕûÖÆ±¸¡£µ«ÊÇÕâÖÖ¹¤ÒÕ»áÊͷųö°üº¬H2£¬CH4£¬CO2£¬N2ºÍCOµÄÆøÌå»ìºÏÎÇâ¾»»¯ÊÇÇâÄÜÀûÓõÄÖØÒª×é³É²¿·Ö¡£±¾´ÎÎÒÃÇʵÑéͨ¹ýÓûîÐÔÌ¿½øÐÐÕæ¿Õ±äѹÎü¸½ºÍ±äѹÎü¸½×÷ΪÇâ´¿»¯µÄ·½·¨£¬²âÊÔ»îÐÔÌ¿¶ÔÓÚÇâ¾»»¯Ð§¹û¡£
¡¡¡¡Ä¿Ç°£¬³¬¹ý85%µÄÖÆÇ⹫˾ʹÓñäѹÎü¸½¼¼ÊõÀ´´¿»¯ÇâÆø¡£±äѹÎü¸½ÊÇÕæ¿Õ±äѹÎü¸½µÄ»ù´¡¡£Óë±äѹÎü¸½Ïà±È£¬Õæ¿Õ±äѹÎü¸½µÄЧÂʺÍÉú²úÂʸü¸ß¡£ÔÚÕâÏîÑо¿ÖУ¬¶à×é·ÖÆøÌå(H2/CO2/CH4/CO/N2=0.79/0.17/0.021/0.012/0.007)µÄÇâÆø´¿»¯ÊÇͨ¹ýÒ»ËþÕæ¿Õ±äѹÎü¸½ºÍ±äѹÎü¸½½øÐеġ£±È½ÏÁË»îÐÔÌ¿ºÍ·ÐʯÎü¸½¼ÁµÄÎü¸½ÄÜÁ¦¡£Ñ¡Ôñ»îÐÔÌ¿×÷ΪÇâ´¿»¯µÄÎü¸½¼Á£¬ÒòΪÓë»îÐÔÌ¿²ô·ÐʯÏà±È£¬»îÐÔÌ¿¾ßÓиü´óµÄÎü¸½ÄÜÁ¦¡£´ËÍ⣬½¨Á¢ÁË10¸ö²½ÖèµÄ±äѹÎü¸½Ñ»·Ä£ÐÍ£¬ÒÔÄ£ÄâÇâµÄ¾»»¯ÐÔÄÜ¡£
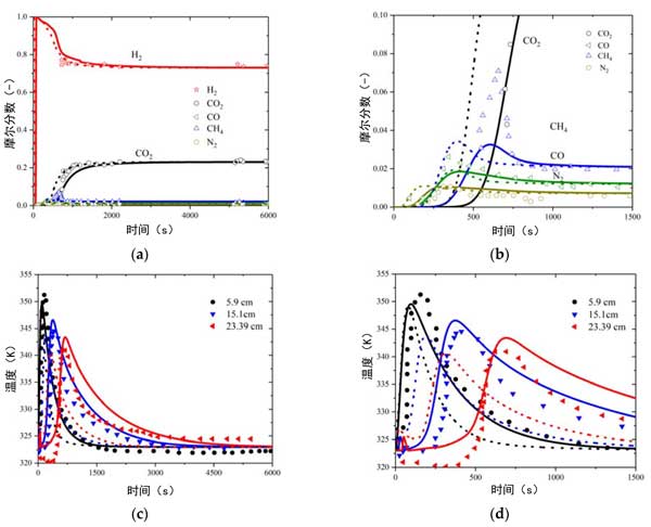
¡¡¡¡»îÐÔÌ¿ºÍ»îÐÔÌ¿²ô·ÐʯÎü¸½´²µÄÍ»ÆÆÇúÏß
¡¡¡¡»îÐÔÌ¿ºÍ»îÐÔÌ¿²ô·ÐʯÖÐÎå×é·Ö»ìºÏÎïµÄĦ¶û·ÖÊýÄ£Äâ½á¹ûÈçͼ1Ëùʾ£¬ÓëʵÑé½á¹û·Ç³£ÎǺϡ£´Óͼ1¿ÉÒÔ¿´³ö£¬Ã¿ÖÖ×é·ÖµÄ´©Í¸Ê±¼äÊDz»Í¬µÄ¡£Çâ±»Çá¶ÈÎü¸½²¢Ñ¸ËÙ´ïµ½Í»ÆÆµã¡£µªÆøÊǵÚÒ»¸öÍ»ÆÆÎü¸½´²µÄÆøÌ壬Æä´ÎÊÇÒ»Ñõ»¯Ì¼£¬¶ø¼×ÍéºÍ¶þÑõ»¯Ì¼ÔòÊÇ×îºóÒ»¸öÍ»ÆÆÎü¸½´²µÄÆøÌå¡£Ö÷ÒªÔÒòÊDz»Í¬ÆøÌåµÄÎü¸½ÐÔÄܲ»Í¬¡£»îÐÔÌ¿ºÍ»îÐÔÌ¿²ô·ÐʯÎü¸½¼Á¶ÔÿÖÖÆøÌå×é·ÖµÄÎü¸½ÄÜÁ¦ÈçÏ£ºCO2>CH4>CO>N2>H2¡£ÔÚÎü¸½¹ý³ÌÖУ¬ÈõÎü¸½Îï´ÓÎü¸½´²½âÎü²¢ÖØÐÂÕûºÏµ½ÆøÁ÷ÖУ¬Òò´ËÔÚ´©Í¸ÇúÏßÖгöÏÖÁËÃ÷ÏԵķåÖµ¡£Èçͼ1Ëùʾ£¬»îÐÔÌ¿Öеı»Îü¸½Îﴩ͸Îü¸½´²µÄËٶȱȻîÐÔÌ¿²ô·ÐʯÖеÄÂý£¬¶ø»îÐÔÌ¿ÖеĴ©Í¸ÇúÏߵķåÖµµÍÓÚ»îÐÔÌ¿²ô·Ðʯ¡£ÕâÒâζ×Å»îÐÔÌ¿±È»îÐÔÌ¿²ô·Ðʯ¿ÉÒÔÎüÊÕ¸ü¶àµÄ¶þÑõ»¯Ì¼£¬¼×Í飬һÑõ»¯Ì¼£¬µªºÍÇâ¡£³ýÁËÇâÒÔÍ⣬CO2ÊÇ»ìºÏÎïÖнϷḻµÄ³É·Ö£¬ËäÈ»ÇâµÄÎü¸½Á¿ºÜС£¬µ«CO2µÄÎü¸½Á¿¸ü¶à¡£Òò´Ë£¬ÔÚÕâÖÖÇé¿öÏ£¬CO2µÄÎü¸½Á¿Ñ¡ÔñÎü¸½¼Á×÷ΪÎü¸½¼ÁÎü¸½ÄÜÁ¦µÄÖ¸±ê¡£»îÐÔÌ¿±È»îÐÔÌ¿²ô·ÐʯÎü¸½µÄ¶þÑõ»¯Ì¼¶àÁË17.80-25.75%¡£

¡¡¡¡Í¼1£º»îÐÔÌ¿ºÍ»îÐÔÌ¿²ô·ÐʯµÄÍ»ÆÆÇúÏß(a£¬b)ºÍζÈÇúÏß(c£¬d)¡£
¡¡¡¡µ±ÆøÌå±»Îü¸½Ê±£¬Îü¸½´²µÄζȽ«Éý¸ß£¬¶øµ±ÆøÌå±»½âÎüʱ£¬ÆäζȽ«Ï½µ¡£È»¶ø£¬ÓÉÓÚÎü¸½´²Óë»·¾³Ö®¼äµÄÈÈ´«µÝ£¬Îü¸½´²µÄζÈ×îÖÕ½«Ï½µÖÁ³õʼֵ¡£»îÐÔÌ¿²ô·ÐʯÖеÄζȷåÖµµÍÓÚ»îÐÔÌ¿ÖеÄζȷåÖµ£¬ÕâÖ÷ÒªÊÇÒòΪ»îÐÔÌ¿²ô·ÐʯÖеÄÎü¸½ÈÈÁ¿ºÍÎü¸½Á¿Ð¡ÓÚ»îÐÔÌ¿ÖеÄÎü¸½ÈÈÁ¿ºÍÎü¸½Á¿¡£
¡¡¡¡ÇâÆø¾»»¯µÄ²ÎÊýÑо¿
¡¡¡¡½øÁÏʱ¼äµÄÓ°ÏìÈçͼ2Ëùʾ¡£µ±½øÁÏʱ¼ä´Ó101ÃëÔö¼Óµ½151Ãëʱ£¬ÇâÆø´¿¶È½µµÍÁË0.53-1.07%£¬ÇâÆø»ØÊÕÂÊÌá¸ßÁË8.66-15.30%¡£µ±½øÁÏʱ¼ä´Ó151ÃëÔö¼Óµ½201Ãëʱ£¬ÇâÆø´¿¶È½µµÍÁË0.82–1.71%£¬ÇâÆø»ØÊÕÂÊÌá¸ßÁË3.77–6.64%¡£µ±Õæ¿Õ±äѹÎü¸½ÏµÍ³´ïµ½Ñ»·ÎÈ̬ʱ£¬ÑÓ³¤½øÁÏʱ¼ä»áÔö¼Ó³ö¿Ú´¦µÄ²»´¿ÆøÌåÁ¿£¬Õâ»áµ¼ÖÂÇâÆø´¿¶ÈϽµ£¬µ«ÓÉÓÚ½øÁϵ½Îü¸½´²µÄÇâÆøÁ¿Ôö¼Ó£¬ÇâÆø»ØÊÕÂÊÔö¼Ó¡£µ±´µÉ¨Ê±¼ä³¤²¢ÇÒ½øÁÏʱ¼äÔö¼Óʱ£¬Çâ´¿¶È±ä»¯ÂʽµµÍ£¬²¢ÇÒÇâ»ØÊÕÂʱ仯ÂÊÔö¼Ó¡£

¡¡¡¡Í¼2£º½øÁÏʱ¼äºÍ´µÉ¨Ê±¼ä¶ÔÕæ¿Õ±äѹÎü¸½Ñ»·µÄÇâ´¿¶È(a)ºÍ»ØÊÕÂÊ(b)µÄÓ°Ïì¡£
¡¡¡¡»îÐÔÌ¿¾»»¯Ê±¼äµÄÓ°ÏìÈçͼ2Ëùʾ¡£µ±´µÉ¨Ê±¼ä´Ó40ÃëÔö¼Óµ½70Ãëʱ£¬ÇâÆø´¿¶ÈÌá¸ßÁË0.44–1.35%£¬ÇâÆø»ØÊÕÂʽµµÍÁË2.61–6.57%¡£µ±´µÉ¨Ê±¼ä´Ó70ÃëÔö¼Óµ½100Ãëʱ£¬ÇâÆø´¿¶ÈÌá¸ßÁË0.21-0.76%£¬ÇâÆø»ØÊÕÂʽµµÍÁË2.91-7.19%¡£Ëæ×Å´µÉ¨Ê±¼äµÄÔö¼Ó£¬ÔÚ´µÉ¨²½ÖèÖÐÇâÆøµÄĦ¶û·ÖÊýÔö¼Ó£¬ÒòΪ¸ü¶àµÄ²»´¿ÆøÌå´ÓÎü¸½¼ÁÖнâÎü³öÀ´¡£Òò´Ë£¬Ëæ×ÅÎü¸½¼ÁµÄÑ»·ÀûÓã¬ÕâЩÔÓÖʵÄĦ¶û·ÖÊý½µµÍ£¬Òò´ËËæ×ž»»¯Ê±¼äµÄÔö¼Ó£¬Çâ´¿¶ÈÒ²ËæÖ®Ìá¸ß¡£µ«ÊÇ»ØÊÕÂÊϽµÁË£¬µ±½øÁÏʱ¼ä¶Ì²¢ÇÒ´µÉ¨Ê±¼äÔö¼Óʱ£¬Çâ´¿¶È±ä»¯ÂʽµµÍ£¬²¢ÇÒÇâ»ØÊÕÂʱ仯ÂÊÔö¼Ó¡£
¡¡¡¡Õæ¿Õ±äѹÎü¸½ÉÏ»îÐÔÌ¿¶ÔÇâÆøµÄ¾»»¯£¬·ÖÎöºÍ±È½ÏÁË»îÐÔÌ¿ºÍ»îÐÔÌ¿²ô·ÐʯÎü¸½¼Á£¬ÒÔ¼°´óÆøÑ¹ºÍÕæ¿Õ±äѹÎü¸½Ñ»·¡£µÃµ½ÒÔϽáÂÛ¡£´Ó¶à×é·ÖÆøÌåÖд¿»¯Çâʱ£¬»îÐÔÌ¿¾ßÓбȲô·ÐʯµÄÎü¸½ÄÜÁ¦¸ü¸ß£¬Îü¸½Á¿ÄܶàÁË17.80-25.75%¡£ÔÚÕæ¿Õ±äѹÎü¸½µÄÇâÆøÌá´¿ÐÔÄÜÓÅÓÚ±äѹÎü¸½¡£Òò´Ë£¬½øÒ»²½Ñо¿ºÍÓÅ»¯ÁËÓÃÓÚÇâÆø´¿»¯µÄÕæ¿Õ±äѹÎü¸½ÏµÍ³µÄ²ÎÊý¡£½á¹û±íÃ÷£¬½øÁÏʱ¼ä¶ÔÇâ´¿¶ÈÓиºÃæÓ°Ï죬¶ÔÇâ»ØÊÕÂÊÓÐÕýÃæÓ°Ï죬¶ø´µÉ¨Ê±¼ä¶ÔÇâ´¿¶ÈÓÐÕýÃæÓ°Ï죬¶ÔÇâ»ØÊÕÂÊÓиºÃæÓ°Ïì¡£½á¹û±íÃ÷£¬½øÁÏʱ¼äÉ趨Ϊ223Ã룬´µÉ¨Ê±¼äΪ96Ãëʱ£¬Çâ»ØÊÕÂʸߴﵽ88.65%£¬½øÁÏʱ¼äÉ趨Ϊ100Ã룬´µÉ¨Ê±¼äΪ45ÃëʱÇâ´¿¶È¸ß´ïµ½99.33%£¬»îÐÔÌ¿ºÜÊÊÓÃÓÚÇâÆøÉú²ú¹¤ÒµÖеÄÎü¸½¼Á²ÄÁÏ¡£
ÎÄÕ±êÇ©£ºÒ¬¿Ç»îÐÔÌ¿,¹û¿Ç»îÐÔÌ¿,úÖÊ»îÐÔÌ¿,ľÖÊ»îÐÔÌ¿,·äÎÑ»îÐÔÌ¿,¾»Ë®»îÐÔÌ¿.±¾ÎÄÁ´½Ó£ºhttp://m.fdcnvt.cn/hangye/hy995.html
ÍÆ¼ö×ÊѶ
- 2026-02-25»îÐÔÌ¿Îü¸½´¦ÀíÆ¡¾Æ³§·ÏË®
- 2026-02-13»îÐÔÌ¿Îü¸½´¦Àíº¬¹¯·ÏÆø
- 2026-02-04»îÐÔÌ¿ÓÃÓÚ´Ó·ÏË®ÖÐÎü¸½È¥³ý΢Á¿ïÓºÍǦ
- 2026-01-28»îÐÔÌ¿½àÑÀ·ÛרÓÃ
- 2026-01-20»îÐÔÌ¿ÔÚ·ÏÆø´¦ÀíÖеÄһЩ³£Ê¶
- 2026-01-13»îÐÔÌ¿ÔÚ¾«ÖÆÌÇÉú²úÖеÄÍÑɫЧ¹û
- 2026-01-07»îÐÔÌ¿¶Ôßäßò»ùÀë×ÓÒºÌåµÄÎü¸½ÐÔÄÜ
- 2025-12-24»îÐÔÌ¿¸ÄÐÔÔöÇ¿¶ÔÒÒõ£°±»ù·ÓµÄÎü¸½
- 2025-12-15»îÐÔÌ¿Îü¸½Âí¶µÁåËá
- 2025-11-27³¬Ï¸»îÐÔÌ¿5000Ä¿·ÛÄ©»îÐÔÌ¿
- 2025-11-26»îÐÔÌ¿ÔÚÁò»¯Ï𽺳ÄÌ×ÖеÄÓ¦ÓÃ
- 2025-11-19»îÐÔÌ¿Îü¸½Öؾ§Ê¯»ìºÏÎïÖеÄͺÍп
