µç»°£º13570151199
´«Õ棺020-39972520
ÓÊÏ䣺hanyan@hanyancarbon.com
µØÖ·£º¹ã¶«Ê¡¹ãÖÝÊз¬Ø®Çø¶«»·½Ö·¬Ø®´óµÀ±±555ºÅÌì°²×ܲ¿ÖÐÐÄ30ºÅÂ¥6²ã
¡¡¡¡»îÐÔÌ¿Ôö½øË®Äàɰ½¬¿¹Ñ¹Ç¿¶È
¡¡¡¡»ìÄýÍÁÒ»Ö±ÊDZȽÏÊÜ»¶ÓµÄ½¨Öþ²ÄÁÏÖ®Ò»£¬¾ÍÔÚ×î½ü»îÐÔÌ¿×÷ΪˮÄà»ù¸´ºÏ²ÄÁϵÄÔöÇ¿¼ÁͻȻ±»¸ü¶àµÄÈ˹Ø×¢ÁË¡£ÎÒÃÇ·¢ÏÖ»îÐÔÌ¿¿ÉÒÔÔöǿˮÄàµÄÄÍʪÐԺͼõÇá³±ÆøÇÖÏ®µÄ·çÏÕ¡£»¹²âÊÔ¹ý»îÐÔÌ¿¶Ô»ìÄýÍÁÆø¿×ÌØÐÔµÄÓ°Ï죬Á˽⵽»îÐÔÌ¿¿ÉÒÔ¼õÉÙÁË»ìÄýÍÁÖÐµÄ¿ÕÆøº¬Á¿£¬´Ó¶øÌá¸ßÁËÇ¿¶È¡£»îÐÔ̿Ҳ¿ÉÓÃÓÚ¸ÄÉÆÊÒÄÚ¿ÕÆøÖÊÁ¿¡£º¬ÓлîÐÔÌ¿×÷ΪÌí¼Ó¼ÁµÄÓ²»¯Ë®ÄཬҲӵÓÐÁËÎü¸½ÄÜÁ¦£¬ÔÚ»Ó·¢ÐÔÓлú»¯ºÏÎï(VOC)£¬ºÍÓꦻ¯ºÏÎï(ÀýÈçÒÒÈ©ºÍ¼×±½)µÄ»·¾³ÖС£»îÐÔÌ¿·ÛÄ©Äܹ»ÎüÊմ󲿷ֵļױ½£¬Òò´Ë£¬°üº¬»îÐÔÌ¿µÄÓ²»¯Ë®Äཬ¿É×÷ΪDZÔڵĽ¨Öþ²ÄÁÏ£¬ÓÐÖúÓÚÌá¸ß³ýÎÛЧ¹û¡£
¡¡¡¡»îÐÔ̿ˮÄàɰ½¬µÄ×é³É
¡¡¡¡²¨ÌØÀ¼Ë®Äà(¹èËáÑÎË®ÄàIÐͺÍIIÐÍ)×÷Ϊ»ù´¡²ÄÁÏ£¬»îÐÔÌ¿²ÉÓÃÖ²ÎïÖÖ×Óת»¯³É¡£ÔÚÎïÀí»î»¯¹ý³ÌÖУ¬Ì¼»¯ºÍ»î»¯²½Öè¾ùͨ¹ý¼ÓÈÈÍê³É¡£ÖƱ¸·½·¨ÊÇ£¬ÏÈÓÃÕôÁóˮϴµÓºÍƯϴÒÔ³ýÈ¥ÔÓÖÊ£¬ÔÚ100¡æÏ¸ÉÔï24Сʱ£¬È»ºó¹ýɸÒÔ¿ØÖÆÁ£¶È¡£È»ºó½«ÖƱ¸ºÃµÄÔ²ÄÁÏÔÚÂí¸¥Â¯ÖмÓÈȵ½600¡æ£¬³ÖÐøÒ»¸öСʱ¡£ÀäÈ´ÖÁÊÒκ󣬽«µØÃæÏ´¾»£¬È»ºóÔÙ´ÎÓÃÈ¥Àë×ÓË®³åÏ´¡£²¢ÔÚ100¡æÏ¸ÉÔï48Сʱ£¬È»ºóʹÓÃ16ºÅºÍ60ºÅɸ·Ö(ɸ¿×·Ö±ðΪ1.18ºÍ250΢Ã×)½øÐзÖÑ¡¡£ÔÚ¼ÓÈȹý³ÌÖУ¬»ù´¡²ÄÁϵĻӷ¢ÐÔ·Ö×ÓÉý»ª£¬´Ó¶øÔÚÕû¸ö¹ý³ÌÖÐÁô϶à¿×½á¹¹¡£ÖƱ¸µÄ»îÐÔÌ¿´¢´æÔÚÃܱկ¿ÖС£´¦Àíºó»ñµÃµÄÔ²ÄÁϺͻîÐÔÌ¿¿ÅÁ£Èçͼ1Ëùʾ¡£»î»¯¹ý³ÌÐγÉÁË·äÎÑ×´µÄ¿×½á¹¹£¬µ¼Ö»îÐÔÌ¿ÖеıíÃæ»ý½Ï´ó£¬Õâ¿ÉÄÜÒýÆðÁËÐÎ̬¶Ô³ÆÏÖÏó¡£

¡¡¡¡Í¼1£º(a)´¦Àíºó»ñµÃµÄÔ²ÄÁϺÍ(b)»îÐÔÌ¿£¬ÒÔ¼°(c)Ô²ÄÁϺÍ(d)»îÐÔÌ¿ÔÚ500xϵÄSEMͼÏñ¡£
¡¡¡¡»îÐÔ̿ˮÄ࿹ѹǿ¶È²âÊÔ
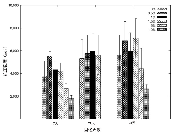
¡¡¡¡ÔÚ7Ì죬21ÌìºÍ28Ìì²âÁ¿Á¢·½ÌåÑùÆ·µÄ¿¹Ñ¹Ç¿¶È¡£Ã¿¸ö´ú±íÐԵĿ¹Ñ¹Ç¿¶ÈÊÇÊ®¶þ¸öÑùÆ·µÄƽ¾ùÖµ¡£Ç¿¶ÈµÄ²âÁ¿ÊÇʹÓûìÄýÍÁѹËõ»ú½øÐеġ£¸ù¾Ý¿¹Ñ¹Ç¿¶ÈÊÔÑé½á¹û£¬ÓÉÓÚÔÚ7Ììʱ²âµÃµÄÇ¿¶È´ó´ó½µµÍ£¬Òò´Ëδ²âÊÔ21Ììʱ5%ºÍ10%»îÐÔÌ¿µÄÑùÆ·¡£½á¹ûÖ¤Ã÷£¬ÆÕͨˮÄàɰ½¬µÄ¿¹Ñ¹Ç¿¶ÈËæÑø»¤Ê±¼äµÄÔö¼Ó¶øÔö¼Ó¡£ÔÚ»îÐÔÌ¿¸´ºÏ²ÄÁÏÑùÆ·ÖÐÒ²¹Û²ìµ½ÁËÏàͬµÄÇ÷ÊÆ¡£Ã»ÓлîÐÔÌ¿µÄË®Äàɰ½¬µÄ7ÌìÇ¿¶È´ïµ½28ÌìÇ¿¶ÈµÄ66%£¬¶ø0.5%ºÍ1%»îÐÔÌ¿¸´ºÏ²ÄÁϵÄ7ÌìÇ¿¶È·Ö±ð´ïµ½28ÌìÇ¿¶ÈµÄ80%ºÍ73%¡£ÕâÒâζ×ŵÍŨ¶ÈµÄ»îÐÔÌ¿¿ÉÄÜ»á¼ÓËÙÇ¿¶ÈÓ²»¯¹ý³Ì¡£µÈÓÚ»ò´óÓÚ1.5%µÄ¹ýÁ¿Å¨¶ÈÏû³ýÁËÔçÆÚÇ¿¶ÈЧӦ¡£´ËÍ⣬»îÐÔÌ¿µÄ¹ýÁ¿º¬Á¿´óÓÚ5%µ¼ÖÂÇ¿¶ÈÏÔ׎µµÍ¡£Ìí¼Ó5%µÄ»îÐÔÌ¿»áʹÆÕͨˮÄàɰ½¬µÄ7Ì쿹ѹǿ¶È½µµÍ28%£¬¶ø28Ì쿹ѹǿ¶È½µµÍ21%¡£Ìí¼Ó10%»áʹ7ÌìÇ¿¶ÈϽµ50%£¬¶ø28ÌìÇ¿¶ÈϽµ52%¡£ÕâЩ½á¹û±íÃ÷£¬´óÓÚºÏÊÊ·¶Î§µÄ»îÐÔÌ¿µÄ²ôÈë»áËðº¦ÆÕͨˮÄàµÄÇ¿¶È¡£ÔÚ¸ÃÑо¿ÖУ¬¹Û²ìµ½Ôö¼Ó¿¹Ñ¹Ç¿¶ÈµÄºÏÊʺ¬Á¿·¶Î§Îª0.5%ÖÁ1.5%¡£
¡¡¡¡ÑùÆ·µÄ¿¹Ñ¹Ç¿¶È
¡¡¡¡¿ÉÊÓ»¯ÁËË®Äàɰ½¬µÄ̼º¬Á¿ÏÔʾÔÚͼ2£¬Ç¿¶ÈºÍÖØÁ¿Ö®¼äµÄ¹ØÏµ¡£×óͼ±íʾǿ¶ÈÏà¶ÔÓÚ̼º¬Á¿µÄ±ä»¯£¬ÓÒͼ±íʾǿ¶ÈÓëÊÔÑùÖØÁ¿µÄ¹ØÏµ¡£´ËÍ⣬µ×²¿µÄͼ±íÏÔʾÁË̼º¬Á¿ÓëÖØÁ¿µÄ¹ØÏµ¡£ÖµµÃ×¢ÒâµÄÊÇ£¬Ìí¼Ó̼»áÉÔ΢¼õÉÙÑùÆ·µÄÖØÁ¿¡£ÕâÊÇÒòΪÇáÖʵĻîÐÔÌ¿¿ÉÄÜ»áÔÚÓÐÏÞµÄÑùÆ·Ìå»ýÖдúÌæÏà¶Ô½ÏÖØµÄϸ¹ÇÁÏ»òË®Äà¡£¾¡¹ÜÖØÁ¿¼õÇᣬµ«ÓëÆÕͨˮÄàɰ½¬ÑùÆ·Ïà±È£¬Ì¼¹²»ìÑùÆ·ÏÔʾ³ö¸ü¸ßµÄÇ¿¶È¡£

¡¡¡¡Í¼2£º»îÐÔÌ¿º¬Á¿£¬¿¹Ñ¹Ç¿¶ÈºÍÑùÆ·ÖØÁ¿Ö®¼äµÄ¹ØÏµ¡£
¡¡¡¡»îÐÔÌ¿º¬Á¿¶Ô¿¹Ñ¹Ç¿¶ÈµÄÓ°ÏìÈçͼ3Ëùʾ¡£½á¹û±íÃ÷£¬Ëæ×Å»îÐÔÌ¿²ôÈëÁ¿Ôö¼Óµ½1.5%£¬Ë®Äàɰ½¬Ç¿¶ÈÔö¼Ó¡£Ìí¼Ó0.5%µÄ»îÐÔÌ¿¿É½«7ÌìÇ¿¶È´ó·ùÌá¸ß48%£¬¶øÌí¼Ó1.5%µÄ»îÐÔÌ¿Ôò¿É½«28ÌìÇ¿¶ÈÌá¸ß27%¡£ÆäËûÑо¿Ò²±¨¸æÁËÀàËÆµÄ½á¹û£¬±íÃ÷ͨ¹ýÌí¼Ó»îÐÔÌ¿¿ÉÒÔÌá¸ßÇ¿¶È¡£½«4%µÄ»îÐÔÌ¿²ôÈë·Ûú»ÒË®ÄàÖлáʹ28ÌìµÄ¿¹Ñ¹Ç¿¶ÈÌá¸ß18%¡£

¡¡¡¡Í¼3£º»îÐÔÌ¿º¬Á¿¶ÔË®Äàɰ½¬¿¹Ñ¹Ç¿¶ÈµÄÓ°Ïì¡£
¡¡¡¡»îÐÔÌ¿¶ÔÆÕͨˮÄàɰ½¬Ç¿¶ÈµÄÓ°Ïì¡£½á¹û±íÃ÷£¬Ìí¼ÓСÓÚ»òµÈÓÚ1.5%(°´Ë®ÄàÖØÁ¿¼Æ)µÄ»îÐÔÌ¿¿ÉÌá¸ßË®Äàɰ½¬µÄ¿¹Ñ¹Ç¿¶È¡£´ËÍ⣬»îÐÔÌ¿»¹¿ÉÒÔ¼ÓËÙÇ¿¶ÈÓ²»¯¹ý³Ì£¬´Ó¶øËõ¶Ì¹Ì»¯Ê±¼ä¡£ÌرðÊÇ£¬ÉÙÁ¿µÄº¬Á¿(0.5%)ÔÚÔçÆÚÇ¿¶ÈÓиüÓÐÒâÒåµÄÌá¸ß£¬¶øº¬Á¿½Ï¸ßµÄ(1.5%)ÔÚ28Ììʱǿ¶ÈÓиüºÃµÄÌá¸ß¡£µ«ÊÇ£¬´óÁ¿µÄ»îÐÔÌ¿³¬¹ý5%»á´ó´ó½µµÍÇ¿¶È¡£ÕâÏîÑо¿µÃ³öµÄ½áÂÛÊÇ£¬»îÐÔÌ¿¿ÉÒÔÓÃ×÷DZÔÚµÄË®ÄàÌí¼Ó¼Á£¬ÒÔÔöǿˮÄàɰ½¬µÄ¿¹Ñ¹Ç¿¶È¡£
ÎÄÕ±êÇ©£ºÒ¬¿Ç»îÐÔÌ¿,¹û¿Ç»îÐÔÌ¿,úÖÊ»îÐÔÌ¿,ľÖÊ»îÐÔÌ¿,·äÎÑ»îÐÔÌ¿,¾»Ë®»îÐÔÌ¿.±¾ÎÄÁ´½Ó£ºhttp://m.fdcnvt.cn/hangye/hy990.html
ÍÆ¼ö×ÊѶ
- 2026-02-25»îÐÔÌ¿Îü¸½´¦ÀíÆ¡¾Æ³§·ÏË®
- 2026-02-13»îÐÔÌ¿Îü¸½´¦Àíº¬¹¯·ÏÆø
- 2026-02-04»îÐÔÌ¿ÓÃÓÚ´Ó·ÏË®ÖÐÎü¸½È¥³ý΢Á¿ïÓºÍǦ
- 2026-01-28»îÐÔÌ¿½àÑÀ·ÛרÓÃ
- 2026-01-20»îÐÔÌ¿ÔÚ·ÏÆø´¦ÀíÖеÄһЩ³£Ê¶
- 2026-01-13»îÐÔÌ¿ÔÚ¾«ÖÆÌÇÉú²úÖеÄÍÑɫЧ¹û
- 2026-01-07»îÐÔÌ¿¶Ôßäßò»ùÀë×ÓÒºÌåµÄÎü¸½ÐÔÄÜ
- 2025-12-24»îÐÔÌ¿¸ÄÐÔÔöÇ¿¶ÔÒÒõ£°±»ù·ÓµÄÎü¸½
- 2025-12-15»îÐÔÌ¿Îü¸½Âí¶µÁåËá
- 2025-11-27³¬Ï¸»îÐÔÌ¿5000Ä¿·ÛÄ©»îÐÔÌ¿
- 2025-11-26»îÐÔÌ¿ÔÚÁò»¯Ï𽺳ÄÌ×ÖеÄÓ¦ÓÃ
- 2025-11-19»îÐÔÌ¿Îü¸½Öؾ§Ê¯»ìºÏÎïÖеÄͺÍп
