µç»°£º13570151199
´«Õ棺020-39972520
ÓÊÏ䣺hanyan@hanyancarbon.com
µØÖ·£º¹ã¶«Ê¡¹ãÖÝÊз¬Ø®Çø¶«»·½Ö·¬Ø®´óµÀ±±555ºÅÌì°²×ܲ¿ÖÐÐÄ30ºÅÂ¥6²ã
¡¡¡¡»îÐÔÌ¿½þ×Õ»ÇËáÔ¤´¦ÀíÖÆ±¸ÆÏÌÑÌÇ
¡¡¡¡Ä¾ÖÊËØÊdz£¼ûũҵ¸±²úÎΪÁËÑо¿¿ª·¢ÉúÎïÄÜÔ´£¬±¾´Î½éÉܵÄÊÇÒ»¿î»îÐÔÌ¿Ëá´ß»¯¼Á£¬¸Ã´ß»¯¼Á¿ÉÒÔÓÐЧµØ¶ÔľÖÊËØ½øÐÐÔ¤´¦Àí£¬²¢ÇÒÆäζÈÒªµÍÓÚ³£¹æÒºÌ¬ÁòËá¡£ÔÚÕâ·½Ãæ£¬»ÇËá½þ×ÕϵĻîÐÔ̿ӵÓи߻îÐÔºÍÑ¡ÔñÐÔÔÚ¼¸¸öËá´ß»¯µÄ·´Ó¦¡£±¾Ñо¿µÄ×ÜÌåÄ¿±êÊDz¢ÅźϳɺÍϵͳµØ±È½Ï²»Í¬µÄ»ÇËá¹ÌÌåËá½þ×յĻîÐÔÌ¿´ß»¯¼Á£¬ÒÔÔ¤´¦ÀíľÖÊËØ£¬ËæºóË®½â³ÉÆÏÌÑÌÇ¡£
¡¡¡¡»îÐÔÌ¿½þ×ջǴ߻¯¼ÁÓëʵÑé·½·¨
¡¡¡¡Ê¹ÓûîÐÔÌ¿×÷ÎªÔØÌå·Ö±ðÓë¶Ô¼×±½»ÇËᣬ¼×»ÇËáºÍÁòËá½øÐнþ×պϳÉÁËÈýÖÖ¹ÌÌåËá´ß»¯¼Á¡£ÕâÏîÑо¿ÖеÄËùÓÐʵÑé¾ùһʽÈý·Ý½øÐУ¬ËùÓлîÐÔÌ¿´ß»¯¼Á¾ùÖØ¸´Ê¹ÓÃÁË3´Î¡£ÔÚÕâÏîÑо¿ÖвâÊÔÁËËĸö´¦Àí±äÁ¿(´ß»¯¼ÁÀàÐÍ£¬Ô¤´¦Àíζȣ¬Ô¤´¦Àíʱ¼äºÍ´ß»¯¼ÁÄ;ÃÐÔ)¡£ÈýÖÖ»îÐÔÌ¿½þ×Õ´ß»¯¼Á£¬Î¶È(30¡¢60ºÍ90°C)ºÍ´ß»¯¼ÁÄ;ÃÐÔµÄˮƽ²âÊÔ£¬¶øÔ¤´¦Àíʱ¼ä(90·ÖÖÓºÍ120·ÖÖÓ)ÓÐ2¸ö¼¶±ð¡£Ê¹ÓûìºÏÄ£ÐÍ·ÖÎöÊý¾Ý£¬²¢²ÉÓÃÇÐÆ¬Ð§Ó¦²âÊÔÒÔ¹Û²ìÔÚ95%ÖÃÐÅ·¶Î§ÄÚʹÓÃ3Àà¹Ì¶¨Ð§Ó¦²âÊÔ¡£
¡¡¡¡»îÐÔÌ¿µÄEDX¹âÆ×
¡¡¡¡»îÐÔÌ¿Ôڻǻ¯´¦Àíºó£¬±íÃæ»ý¼õÉÙ£¬¿ÉÄÜÊÇÓÉÓÚ̼Óë»ÇËáÖ®¼äµÄÑõ»¯·´Ó¦ËùÖ¡£»îÐÔÌ¿¹Ç¼ÜÖлÇËá»ùµÄ½þ×Õ¼õÉÙÁË¿ÉÓõĿ×Ìå»ý£¬µ«Êǿ׾¶Ê¼ÖÕ±£³ÖÔÚ20nm×óÓÒ¡£»îÐÔÌ¿µÄ±íÃæ»¯Ñ§ÐÔÖÊ·¢ÉúÁËÏÔ×ű仯¡£Óë¶ÔÕÕ(ÔÁÏ»îÐÔÌ¿)Ïà±È£¬»ÇËá½þ×յĻîÐÔÌ¿´ß»¯¼ÁµÄ×ÜËá¶ÈÏÔ×ÅÌá¸ß¡£¾ßÌå¶øÑÔ£¬¶ÔÓÚÓÉ»ÇËᣬôÈËᣬÄÚõ¥ºÍ»ÇËá×é³ÉµÄ»îÐÔÌ¿´ß»¯¼Á£¬×ÜËá¶ÈÔö¼ÓÁ˼¸±¶¡£·Ó»ù£¬±íÃ÷»îÐÔÌ¿ºÍ»ÇËáǰÌåÖ®¼äµÄÑõ»¯·´Ó¦¡£´ËÍ⣬µ±½øÐÐÔªËØ·ÖÎöʱ£¬»ÇËá¸ºÔØµÄ̼ÔÚ±íÃæÉÏÒ²±íÏÖ³öÃ÷ÏԵı仯¡£Î´½þ×Õ»îÐÔÌ¿ºÍ»îÐÔÌ¿½þ×Õ¼×»ÇËáµÄEDX¹âÆ×Èçͼ1Ëùʾ¡£ÓÉÓÚ»ÇËáµÄÐγɣ¬¸Ã±íÃæÔÚ2.3keV´¦ÏÔʾ³öÁòµÄ´æÔÚ¡£ÔÚõ¥»¯·´Ó¦ÖвâÊÔÁ˻ǻ¯»îÐÔÌ¿´ß»¯¼Á£¬Ôڸ÷´Ó¦Öз¢ÏÖÁËÔ¼2.3keVµÄÁò·å¡£ÎÒÃǵıíÕ÷Êý¾ÝҲͨ¹ýXPS·ÖÎöµÃµ½ÁË֤ʵ£¬¸Ã·ÖÎöÌṩÁËÓйػǻ¯»îÐÔÌ¿±íÃæ»¯Ñ§µÄÐÅÏ¢¡£

¡¡¡¡Í¼1£º´Ó»îÐÔÌ¿(a)ºÍ¼×»ÇËá½þ×յĻîÐÔÌ¿(b)»ñµÃµÄÄÜÁ¿É«É¢XÉäÏß¹âÆ×¡£
¡¡¡¡»îÐÔÌ¿½þ×Õ»ÇËáÔ¤´¦Àí¶ÔÆÏÌÑÌDzúÉúµÄÓ°Ïì
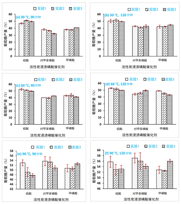
¡¡¡¡Î¶ȶÔËùÓлîÐÔÌ¿´ß»¯¼ÁµÄÆÏÌÑÌDzúÂʵÄÓ°ÏìʾÓÚͼ2ÖС£·¢ÏÖζȶÔÓÃÈýÖÖ²»Í¬µÄ»îÐÔÌ¿½þ×Õ»ÇËá´ß»¯¼Á´¦ÀíµÄľÖÊËØ»ñµÃµÄÆÏÌÑÌDzúÁ¿¾ßÓÐÏÔ×ÅÓ°Ïì(p<0.05)¡£¶ÔÓÚ²âÊÔµÄζȷ¶Î§(30–90°C)£¬»îÐÔÌ¿½þ×Õ¶Ô¼×±½»ÇËá´ß»¯µÄÆÏÌÑÌDzúÂÊΪ31.5%ÖÁ57.13%£¬»îÐÔÌ¿½þ×Õ¼×»ÇËá´ß»¯µÄÆÏÌÑÌDzúÂÊΪ37.91%ÖÁ56.01%£¬»îÐÔÌ¿½þ×ÕÁòËá´ß»¯µÄÆÏÌÑÌDzúÂÊΪ46.96%ÖÁ55.75%¡£ÓÐȤµÄÊÇ£¬»îÐÔÌ¿½þ×ÕÖжԼױ½»ÇËáºÍ¼×»ÇËáÏà±È£¬ÔÚ90ºÍ120·ÖÖÓµÄÔ¤´¦Àíʱ¼äÄÚ£¬¼´Ê¹Ôڽϵ͵ÄζÈ(30ºÍ60°C)Ï£¬»îÐÔÌ¿½þ×ÕÁòËáµÄ²úÁ¿Ò²¸ü¸ß¡£µ«ÊÇ£¬Ëæ×ÅζÈÉý¸ßÖÁ90°C£¬¶ÔÓÚËùÓвâÊԵĴ߻¯¼Á£¬Î´¹Û²ìµ½ÆÏÌÑÌDzúÂʵIJîÒì¡£·¢ÏÖÔڽϸßζÈϽøÐÐÔ¤´¦Àí¿ÉÒÔÌá¸ßÏËÎ¬ËØµÄÈܽâ¶ÈºÍøÓëÏËÎ¬ËØµÄÏ໥×÷Ó㬴ӶøÌá¸ßÆÏÌÑÌǵÄÊÕÂÊ¡£

¡¡¡¡Í¼2£ºÔÚ²»Í¬Î¶Ⱥͷ´Ó¦Ê±¼äÏ£¬ÓûîÐÔÌ¿½þ×Õ»ÇËá´ß»¯¼ÁÔ¤´¦ÀíľÖÊËØµÄø´ÙË®½âºóµÄÆÏÌÑÌÇÊÕÂÊ(%)¡£
¡¡¡¡Ô¤´¦Àíʱ¼ä½á±íÃ÷£¬·´Ó¦Ê±¼ä¶ÔÆÏÌÑÌǵIJúÉúÓÐÏÔ×ÅÓ°Ïì(p<0.05)¡£×ܵÄÀ´Ëµ£¬¸ü³¤µÄ·´Ó¦Ê±¼ä¿ÉÒÔÌá¸ßÆÏÌÑÌǵIJúÁ¿¡£ÔÚ²âÊÔµÄ×îµÍζÈ(30°C)Ï£¬¶ÔÓÚÈýÖÖ»îÐÔÌ¿´ß»¯¼Á£¬ÔÚ90-120·ÖÖÓµÄÔ¤´¦Àíºó¹Û²ìµ½µÄÆÏÌÑÌDzúÁ¿Ôö¼ÓÁË0.06%ÖÁ10.77%¡£·´Ó¦Ê±¼ä´Ó1СʱÔö¼Óµ½3Сʱ£¬µ¥ÌǵIJúÂÊÌá¸ßÁË12.5%¡£ËùÒÔÔÚ¸ßκͳ¤Ê±¼ä·´Ó¦ÏÂÄÜÔö¼ÓÆÏÌÑÌǵIJúÂÊ¡£ÖÁÓÚ»ÇËá¹ÌËáÔ¤´¦Àí¶ÔÄ¾ËØÍÑÇâµÄÓ°Ï죬Ñо¿·¢Ïֻǻ¯»îÐÔÌ¿´ß»¯¼Á¿ÉÄÜͨ¹ýÐγÉÊèË®»ùÍźÍÇ×Ë®»ùÍŶøÆÆ»µÁËľÖÊËØµÄ½á¹¹£¬²¢ËæºóÔöÇ¿ÁËÏËÎ¬ËØºÍø֮¼äµÄÎü¸½Ï໥×÷Óá£
¡¡¡¡Ä¾ÖÊËØÓûÇËá½þ×յĻîÐÔÌ¿´ß»¯¼ÁÔ¤´¦Àí£¬Ëæºó½«ÆÏ¾ÛÌÇø´Ùת»¯ÎªÆÏÌÑÌÇ¡£½á¹û±íÃ÷£¬»ÇËá½þ×յĻîÐÔÌ¿´ß»¯¼Á¶ÔľÖÊËØµÄÔ¤´¦ÀíÊÇÓÐЧµÄ¡£Ôڽϵ͵ÄζÈ(30ºÍ60°C)Ï£¬·¢ÏÖ»îÐÔÌ¿½þ×ÕÁòËá±ÈÆäËûÁ½ÖÖ»ÇËá¸üÓÐЧ£¬µ«ÔÚ90°CÏÂûÓз¢ÏÖ²îÒ졣Ȼ¶ø£¬·¢ÏÖ·´Ó¦Ê±¼äÏÔ×ÅÓ°ÏìÔ¤´¦Àí¹ý³Ì¡£ÁíÍ⣬¸Ã´ß»¯¼Á±»³É¹¦µØÖظ´Ê¹ÓÃÁËÈý±é£¬¶ø»îÐÔËðʧ×îС¡£ÎÒÃǵĽá¹û±íÃ÷£¬½þ×ÕÁË»ÇËáµÄ»îÐÔÌ¿´ß»¯¼Á¿ÉÄÜ»á¼õÉÙËáµÄ´¦ÀíÁ¿£¬²¢Ê¹ÉúÎïÖÊÖÆ´¼¸ü¼Ó·½±ãºÍ¶Ô»·¾³ÓѺá£
ÎÄÕ±êÇ©£ºÒ¬¿Ç»îÐÔÌ¿,¹û¿Ç»îÐÔÌ¿,úÖÊ»îÐÔÌ¿,ľÖÊ»îÐÔÌ¿,·äÎÑ»îÐÔÌ¿,¾»Ë®»îÐÔÌ¿.±¾ÎÄÁ´½Ó£ºhttp://m.fdcnvt.cn/hangye/hy982.html
ÍÆ¼ö×ÊѶ
- 2026-02-25»îÐÔÌ¿Îü¸½´¦ÀíÆ¡¾Æ³§·ÏË®
- 2026-02-13»îÐÔÌ¿Îü¸½´¦Àíº¬¹¯·ÏÆø
- 2026-02-04»îÐÔÌ¿ÓÃÓÚ´Ó·ÏË®ÖÐÎü¸½È¥³ý΢Á¿ïÓºÍǦ
- 2026-01-28»îÐÔÌ¿½àÑÀ·ÛרÓÃ
- 2026-01-20»îÐÔÌ¿ÔÚ·ÏÆø´¦ÀíÖеÄһЩ³£Ê¶
- 2026-01-13»îÐÔÌ¿ÔÚ¾«ÖÆÌÇÉú²úÖеÄÍÑɫЧ¹û
- 2026-01-07»îÐÔÌ¿¶Ôßäßò»ùÀë×ÓÒºÌåµÄÎü¸½ÐÔÄÜ
- 2025-12-24»îÐÔÌ¿¸ÄÐÔÔöÇ¿¶ÔÒÒõ£°±»ù·ÓµÄÎü¸½
- 2025-12-15»îÐÔÌ¿Îü¸½Âí¶µÁåËá
- 2025-11-27³¬Ï¸»îÐÔÌ¿5000Ä¿·ÛÄ©»îÐÔÌ¿
- 2025-11-26»îÐÔÌ¿ÔÚÁò»¯Ï𽺳ÄÌ×ÖеÄÓ¦ÓÃ
- 2025-11-19»îÐÔÌ¿Îü¸½Öؾ§Ê¯»ìºÏÎïÖеÄͺÍп
