µç»°£º13570151199
´«Õ棺020-39972520
ÓÊÏ䣺hanyan@hanyancarbon.com
µØÖ·£º¹ã¶«Ê¡¹ãÖÝÊз¬Ø®Çø¶«»·½Ö·¬Ø®´óµÀ±±555ºÅÌì°²×ܲ¿ÖÐÐÄ30ºÅÂ¥6²ã
¡¡¡¡»îÐÔÌ¿¸ÄÐÔºó´¢´æ¶þÑõ»¯Ì¼
¡¡¡¡È«Çò±äůÊÇÓÉÎÂÊÒÆøÌåÅŷŵ½´óÆøÖÐÒýÆðµÄ£¬ÀýÈç¶þÑõ»¯Ì¼£¬¼×Í飬ÂÈ·ú»¯Ì¼£¬³ôÑõºÍÒ»Ñõ»¯¶þµªµÈ¡£ÓÉÓÚʹÓû¯Ê¯È¼ÁÏ£¬¶þÑõ»¯Ì¼µÄÓ°ÏìÊǵ¼ÖÂÈ«Çò±äůµÄÖ÷ÒªÔÒò£¬¶ø»¯Ê¯È¼ÁÏռȫÇòÄÜÔ´ÐèÇóµÄ98%¡£Òò´Ë£¬¶þÑõ»¯Ì¼µÄÅÅ·ÅÁ¿·Ç³£´ó¡£Í¨¹ý»îÐÔÌ¿Îü¸½ºÍ´æ´¢µÄ·½·¨½øÐÐ̼¹Ì´æÊǽµµÍ´óÆøÖеĶþÑõ»¯Ì¼ÅŷűȽÏÓÐÓõķ½·¨Ö®Ò»¡£ÒÒ¶þ°·ºÍÈýÑÇÒÒ»ùËİ·¸ÄÐԵĻîÐÔÌ¿ÊÇ¿ÉÒÔ¶Ô¶þÑõ»¯Ì¼½øÐд¢´æµÄ²ÄÁÏ¡£
¡¡¡¡ÔÚÆøÌåµÄÎü¸½Óë´¢´æÖУ¬È¼ÉÕºóÎü¸½ÊÇ×î³£ÓõIJßÂÔ¡£Ê¹ÓûùÓÚÎü¸½µÄ·½·¨¾ßÓкܸߵÄЧÂʺÍÑ¡ÔñÐÔ£¬²¢Çҷdz£¿ÉÐУ¬Òò´Ë·Ç³£ÓÐǰ;¡£Á´Íé´¼°·µÄË®ÐÔÈܼÁ£¬ÀýÈçµ¥ÒÒ´¼°·ºÍ¶þÒÒ´¼°·£¬Í¨³£ÓÃ×÷´ß»¯È¼ÉյĻùÓÚ°·µÄÈܼÁ¡£µ«ÊÇ£¬»ùÓÚË®ÎüÊյķ½·¨´æÔÚһЩȱµã£¬ÀýÈçÎüÊÕÈÝÁ¿µÍ£¬Îȶ¨ÐÔ²îºÍÔÙÉú³É±¾¸ß¡£ÕâЩÎÊÌâ¿ÉÒÔͨ¹ýʹÓþßÓи߱íÃæ»ýºÍ¿×Ìå»ýµÄ¶à¿×Îü¸½¼ÁÀ´¿Ë·þ£¬ÀýÈç»îÐÔÌ¿²ÄÁÏ£¬·ÐʯºÍ½ðÊôÓлú¹Ç¼Ü¡£
¡¡¡¡½é¿×²ÄÁϾßÓнϸߵıíÃæ»ý£¬Á¼ºÃµÄÈÈ/»¯Ñ§Îȶ¨ÐÔºÍÒ×ÓÚ¹¦ÄÜ»¯µÄ±íÃæ£¬Òò´ËÓпÉÄܱ»ÓÃ×÷¶þÑõ»¯Ì¼²¶¼¯²ÄÁÏ¡£ÁíÒ»·½Ã棬Öп׻îÐÔÌ¿ÓÐDZÁ¦±»ÓÃ×÷¶þÑõ»¯Ì¼´æ´¢²ÄÁÏ£¬ÒòΪËü¾ßÓÐÐí¶àÓŵ㣬°üÀ¨±íÃæ»ý´ó£¬Îȶ¨ÐԸߺÍÒ×ÓÚ±íÃæ¹ÙÄÜ»¯¡£µ«ÊÇ£¬ÎïÀíÎü¸½Ê¹Öп׻îÐÔÌ¿ÓëζÈÓйأ¬²¢ÇÒÑ¡ÔñÐԵ͡£ÓÉÓÚÕâЩÔÒò£¬ÓÃ×÷¶þÑõ»¯Ì¼´æ´¢²ÄÁϵÄ̼»ù²ÄÁϵĿª·¢Ö÷Òª¼¯ÖÐÔÚͨ¹ý±íÃæ¸ÄÐÔÌá¸ß¶þÑõ»¯Ì¼µÄÎü¸½ÄÜÁ¦ÉÏ¡£½«°·¹ÙÄÜÍÅÒýÈë»îÐÔÌ¿±íÃæ¿ÉÒÔ¿Ë·þÕâÒ»ÎÊÌ⣬ҲÓÐÐí¶àÑо¿ÒѾ֤Ã÷£¬µ±Óõª¹ÙÄÜÍŹÙÄÜ»¯»îÐÔ̿ʱ£¬»îÐÔÌ¿µÄ¶þÑõ»¯Ì¼Îü¸½ÄÜÁ¦»áÏÔ×ÅÌá¸ß¡£
¡¡¡¡Óð·¹ÙÄÜÍŸÄÐÔ»îÐÔÌ¿
¡¡¡¡»îÐÔ̿ͨ¹ýʪ·¨½þ×Õ·¨±»°·¹ÙÄÜÍŸÄÐÔ¡£ÔÚÖÆ±¸ÖУ¬½«ËùÐèÁ¿µÄÒÒ¶þ°·Óë½é¿×̼µÄÖØÁ¿±ÈΪ50%wtºÍ100%wtÈܽâÔÚ10mLÒÒ´¼ÖУ¬È»ºó½«½é¿×Ì¿»ò»îÐÔÌ¿·ÖÉ¢µ½ÈÜÒºÖУ¬½øÒ»²½½Á°è6СʱÒÒ´¼ÔÚÊÒÎÂÏÂÕô·¢¹ýÒ¹¡£ÀàËÆµÄÖÆ±¸·½·¨Ò²ÊÊÓÃÓÚÈýÑÇÒÒ»ùËİ·¸ÄÐԵĽé¿×Ì¿ºÍ»îÐÔÌ¿¡£
¡¡¡¡¶þÑõ»¯Ì¼Îü¸½²âÊÔ
¡¡¡¡Ê×ÏÈʹÓþßÓÐÁ½¸ö°·¹ÙÄÜÍŵÄÒÒ¶þ°·Ñо¿Á˰·¹ÙÄÜ»¯»îÐÔÌ¿Öа·¹ÙÄÜÍÅ¶ÔÆä¶þÑõ»¯Ì¼Îü¸½ÄÜÁ¦µÄÓ°Ï졣ͼ1ÏÔʾÁ˸ºÔØÓÐÒÒ¶þ°·»îÐÔÌ¿µÄ¶þÑõ»¯Ì¼Îü¸½ÄÜÁ¦¡£Í¨³££¬½Ï¸ßŨ¶ÈµÄÒÒ¶þ°·¿ÉÌṩ¸ü¶àµÄ°·¹ÙÄÜÍÅ£¬Ê¹ÆäÒ×ÓÚÓë¶þÑõ»¯Ì¼·´Ó¦£¬Õâ¶ÔÓÚ¶þÑõ»¯Ì¼Îü¸½ÊÇÓÐÀûµÄ¡£

¡¡¡¡Í¼1£º»îÐÔÌ¿ºÍ(a)»îÐÔÌ¿ÔØÒÒ¶þ°·¶Ô¶þÑõ»¯Ì¼µÄÎü¸½ÄÜÁ¦£¬(b)»îÐÔÌ¿ÔØÒÒ¶þ°·ºÍÈýÑÇÒÒ»ùËİ·µÄ¶Ô±È¡£
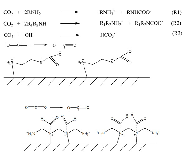
¡¡¡¡Îü¸½ÔÀí½éÉÜ
¡¡¡¡»îÐÔÌ¿±íÃæÉÏ´æÔڵĹÙÄÜÍÅ(¼´°·ºÍôÇ»ù)ÔÚ¶þÑõ»¯Ì¼Îü¸½·´Ó¦ÖÐÆðÖØÒª×÷Óá£ÔÚÈýÑÇÒÒ»ùËİ·ÖУ¬ÒÒ¶þ°·µÄ²®°·(RNH2)Óë¶þÑõ»¯Ì¼·´Ó¦Ðγɰ±»ù¼×Ëáõ¥Àë×Ó£¬Èç·´Ó¦(R1)ºÍͼ2Ëùʾ¡£ÔÚMCTETAÖУ¬²®°·ºÍÖÙ°·(·Ö±ðΪRNH2ºÍR2NH)ÓëÈç·´Ó¦(R2)Ëùʾ£¬Èçͼ2ϲ¿·ÖËùʾ¡£ÁíÒ»·½Ã棬»îÐÔÌ¿ÖеÄôÇ»ù¹ÙÄÜÍÅ¿Éͨ¹ý·´Ó¦(R3)ÓëCO2·´Ó¦ÐγÉ̼ËáÇâ¸ùÀë×Ó¡£Õâ½âÊÍÁËΪʲôÔÚ¸ÄÐÔ֮ǰ£¬½é¿×Ì¿ºÍ»îÐÔÌ¿¶¼ÒѾ¾ßÓжþÑõ»¯Ì¼µÄÎü¸½ÄÜÁ¦¡£

¡¡¡¡Í¼2£º°·¹ÙÄÜ»¯»îÐÔÌ¿±íÃæÉϵÄÒÒ¶þ°·ºÍÈýÑÇÒÒ»ùËİ·Óë¶þÑõ»¯Ì¼Ö®¼äµÄÄâÒé·´Ó¦»úÀí¡£
¡¡¡¡»îÐÔÌ¿¸ÄÐÔºó´¢´æ¶þÑõ»¯Ì¼£¬Óð·¹ÙÄÜÍÅÒÒ¶þ°·ºÍÈýÑÇÒÒ»ùËİ·¶Ô̼²ÄÁÏ(½é¿×Ì¿ºÍ»îÐÔÌ¿)½øÐÐÁ˸ÄÐÔ¡£ÔØÒÒ¶þ°·µÄ»îÐÔÌ¿ÔÚ15·ÖÖÓµÄÁ÷¶¯Ê±¼äÄÚÏÔʾ³ö×î¼ÑµÄ¶þÑõ»¯Ì¼Îü¸½ÄÜÁ¦£¬µ«ÔÚ¸ü³¤µÄʱ¼äÄÚ£¬ÔØÈýÑÇÒÒ»ùËİ·µÄ»îÐÔÌ¿±íÏÖ³ö¶Ô¶þÑõ»¯Ì¼Îü¸½µÄÎȶ¨Ôö¼Ó¡£Ñо¿±íÃ÷£¬µÍÈýÑÇÒÒ»ùËİ·¸ºÔØÁ¿µÄ»îÐÔÌ¿¸ÄÐÔ¿ÉÒÔ¼õÉÙ¿×¶ÂÈûºÍÀ©É¢Õϰ¡£Òò´Ë£¬ËüµÄËĸö°·¹ÙÄÜÍÅÓÐÀûÓÚ¶þÑõ»¯Ì¼µÄÎü¸½ÄÜÁ¦¡£½á¹û»¹±íÃ÷£¬Ñ¡ÔñÈýÑÇÒÒ»ùËݷʱ£¬Å¨¶È30±íÏÖ³ö½Ï¸ßµÄ¶þÑõ»¯Ì¼Îü¸½ÈÝÁ¿¡£¸ßŨ¶ÈµÄ°·»¯ºÏÎï»á×èÈû»îÐÔÌ¿µÄ¿×£¬Õâ¿ÉÄÜ»á×è°¶þÑõ»¯Ì¼Óë°·¹ÙÄÜÍÅÖ®¼äµÄÏ໥×÷Óá£
ÎÄÕ±êÇ©£ºÒ¬¿Ç»îÐÔÌ¿,¹û¿Ç»îÐÔÌ¿,úÖÊ»îÐÔÌ¿,ľÖÊ»îÐÔÌ¿,·äÎÑ»îÐÔÌ¿,¾»Ë®»îÐÔÌ¿.±¾ÎÄÁ´½Ó£ºhttp://m.fdcnvt.cn/hangye/hy978.html
ÍÆ¼ö×ÊѶ
- 2026-02-25»îÐÔÌ¿Îü¸½´¦ÀíÆ¡¾Æ³§·ÏË®
- 2026-02-13»îÐÔÌ¿Îü¸½´¦Àíº¬¹¯·ÏÆø
- 2026-02-04»îÐÔÌ¿ÓÃÓÚ´Ó·ÏË®ÖÐÎü¸½È¥³ý΢Á¿ïÓºÍǦ
- 2026-01-28»îÐÔÌ¿½àÑÀ·ÛרÓÃ
- 2026-01-20»îÐÔÌ¿ÔÚ·ÏÆø´¦ÀíÖеÄһЩ³£Ê¶
- 2026-01-13»îÐÔÌ¿ÔÚ¾«ÖÆÌÇÉú²úÖеÄÍÑɫЧ¹û
- 2026-01-07»îÐÔÌ¿¶Ôßäßò»ùÀë×ÓÒºÌåµÄÎü¸½ÐÔÄÜ
- 2025-12-24»îÐÔÌ¿¸ÄÐÔÔöÇ¿¶ÔÒÒõ£°±»ù·ÓµÄÎü¸½
- 2025-12-15»îÐÔÌ¿Îü¸½Âí¶µÁåËá
- 2025-11-27³¬Ï¸»îÐÔÌ¿5000Ä¿·ÛÄ©»îÐÔÌ¿
- 2025-11-26»îÐÔÌ¿ÔÚÁò»¯Ï𽺳ÄÌ×ÖеÄÓ¦ÓÃ
- 2025-11-19»îÐÔÌ¿Îü¸½Öؾ§Ê¯»ìºÏÎïÖеÄͺÍп
