µç»°£º13570151199
´«Õ棺020-39972520
ÓÊÏ䣺hanyan@hanyancarbon.com
µØÖ·£º¹ã¶«Ê¡¹ãÖÝÊз¬Ø®Çø¶«»·½Ö·¬Ø®´óµÀ±±555ºÅÌì°²×ܲ¿ÖÐÐÄ30ºÅÂ¥6²ã
¡¡¡¡»îÐÔÌ¿Îü¸½»ØÊÕ·¼Ï㻯ºÏÎï
¡¡¡¡Ï㾫ÓͽöÕ¼Ö²Îï³É·ÖµÄһС²¿·Ö£¬µ«¸³ÓèÁË·¼Ïã×åÖ²ÎïÓÃÓÚʳƷºÍÏãÁÏÐÐÒµµÄÌØÐÔ¡£Ï㾫Ó;ßÓи´Ôӵijɷ֣¬°üº¬ÊýÊ®ÖÁÊý°ÙÖֳɷ֣¬ÓÈÆäÊÇ̼Ç⻯ºÏÎï(ÝÆÏ©ºÍ±¶°ëÝÆÏ©)ºÍº¬Ñõ»¯ºÏÎï¡£ËûÃǸºÔð¶ÀÌØµÄÆøÎ¶ºÍζµÀ¡£´«Í³ÉÏ£¬ÕôÆûÕôÁóÒÑÓÃÓÚ´ÓÖ²ÎïÔÁÏÖлØÊÕ¾«ÓÍ¡£Í¨³£Ê¹ÓÃÉ«Æ×¼¼ÊõÈ·¶¨Óлú»¯ºÏÎ¾ßÌåÑ¡ÔñÈ¡¾öÓÚËüÃǵļ«ÐÔ£¬»Ó·¢ÐÔºÍËüÃÇÔÚ¸ßÎÂÏ·ֽâµÄ·çÏÕ¡£´ÓÒºÌåÖÐÎü¸½ÓлúÈÜÖÊÊÇ·Ûĩ״ºÍ¿ÅÁ£×´»îÐÔÌ¿µÄÖØÒªÓ¦Óá£Ó°ÏìÎü¸½¹ý³ÌµÄ»îÐÔÌ¿µÄÌØÕ÷Êǿ׵ÄÖʵغͱíÃæ½Ó´¥¡£
¡¡¡¡¶ÔÓÚ´ÓÒºÌåÖÐÈ¥³ýËùÓÐÕâЩ²»¿ÉÉúÎï½µ½âµÄÓлúÎÎü¸½ÊDZȽÏÏ£ÍûµÄÑ¡Ôñ¡£»îÐÔ̿ͨ³£ÓÉ̼º¬Á¿¸ßµÄ²ÄÁÏ»ñµÃ£¬¶ÀÌØµÄ¶à¿×½á¹¹²¢¾ßÓкܴóµÄÎü¸½ÄÜÁ¦¡£¾¡¹Ü³Ê¿ÅÁ£×´»ò·Ûĩ״µÄ»îÐÔÌ¿¾ßÓÐÁ¼ºÃµÄÎü¸½Óлú·Ö×ÓµÄÄÜÁ¦£¬µ«ÊÇĿǰ»îÐÔÌ¿ÔÚ¾«ÓÍÌáÈ¡ÐÐÒµÖеÄÓ¦ÓÃËÆºõºÜÉÙ¡£Ï㾫ÓÍÊǸ߶ÈŨËõµÄµ÷ζ¼Á¡£ËüÃÇÖ÷Ҫͨ¹ýÎïÁ÷»òË®ÕôÁó´Ó·¼ÏãÖ²ÎïÖÐÌáÈ¡¡£Îü¸½¼Á¶ÔÎü¸½ÖʵÄÎü¸½Ó¦´ÓÁ½¸ö·½Ãæ½øÐÐÃèÊö£ºÎü¸½ÄÜÁ¦ºÍÇ׺ÍÁ¦¡£Îü¸½ÄÜÁ¦ÊÜ¿ÉÓÃÓÚÎü¸½¸ø¶¨Îü¸½ÖʵÄÎü¸½¼ÁµÄDZÔÚ¿Õ¼äÏÞÖÆ£¬¶øÎü¸½Ç׺ÍÁ¦È¡¾öÓÚÎü¸½ÖʺÍÎü¸½¼ÁÖ®¼äµÄÎüÒýÁ¦Ç¿¶È¡£±¾´ÎÎÒÃÇʹÓÃרÃÅÑз¢µÄ»îÐÔÌ¿ÒÔÎü¸½·ÏË®ÕôÁóÖеĻӷ¢ÐÔ»¯ºÏÎï¡£Óɶ¡ÏãÓÍ×é³ÉµÄ»Ó·¢ÐÔ»¯ºÏÎï±»Îü¸½£¬È»ºó´Ó»îÐÔÌ¿ÖлØÊÕ¡£Ö÷ÒªÑо¿Ä¿µÄÊÇʹÓûîÐÔÌ¿´Ó¶¡ÏãÓÍ·ÏË®ÕôÁóÖÐÎü¸½ºÍ»ØÊÕ·¼Ï㻯ºÏÎï¡£
¡¡¡¡»îÐÔÌ¿µÄ±íÃæ·ÖÎö
¡¡¡¡»îÐÔÌ¿µÄ±íÃæ·ÖÎöͨ¹ýSEMÈ·¶¨(ͼ1)¡£SEM·ÖÎö±íÃ÷£¬Á½ÖÖ»îÐÔÌ¿ºÍÎü¸½ºóµÄ»îÐÔ֮̿¼äµÄ±íÃæ²îÒì¡£¹û¿Ç»îÐÔÌ¿±íÃ÷ë¿×µÄ»îÔ¾²¿·ÖÏà¶Ô½Ï´ó¡£ÔÚÓÃËá»î»¯¹ý³ÌÖ®ºó£¬Í¿¸²µÄ»îÐÔÌ¿µÄ±íÃæ¸ü¾ß·´Ó¦ÐÔ£¬±íÃ÷¸Ã±íÃæ¾ßÓиü¶àµÄ¿×¡£Îü¸½ÁËÓлú»¯ºÏÎïµÄ»îÐÔÌ¿ÏÔʾ³ö¸ü¼Ó·â±ÕµÄ±íÃæ£¬±íÃ÷»î»¯¿×±íÃæÉÏÒѾÎü¸½ÁËÓлú»¯ºÏÎï¡£

¡¡¡¡Í¼1£ºSEM·ÖÎö£º(a)Ò»°ã»îÐÔÌ¿£¬(b)»î»¯»îÐÔÌ¿£¬ºÍ(c)Îü¸½ºóµÄ»îÐÔÌ¿¡£
¡¡¡¡Îü¸½¹ý³ÌÖлîÐÔÌ¿ÖØÁ¿µÄ±ä»¯
¡¡¡¡Îü¸½¹ý³Ìͨ¹ýÖùÉ«Æ×½øÐС£»îÐÔÌ¿ÖØÁ¿µÄ±ä»¯Îª0.5–2g¡£½«×ܹ²10mlµÄÈÜÒº¼ÓÈëµ½»îÐÔÌ¿µÄÖùÖС£Ê¹ÈÜÒºÓë»îÐÔÌ¿½Ó´¥²¢´ÓÖùÖÐÊÕ¼¯¡£
¡¡¡¡½Ó´¥Ê±¼ä¶Ô»îÐÔÌ¿Îü¸½¹ý³ÌµÄÓ°Ïì
¡¡¡¡¶¡ÏãÓ͵ÄÎü¸½¹ý³Ìͨ¹ýÖùÉ«Æ×·¨½øÐС£½«Ò»¶¨Ìå»ýµÄ10mlÈÜÒºÒýÈ뺬ÓÐÖØÁ¿Îª0.5gµÄ»îÐÔÌ¿µÄÖùÖС£Ê¹ÈÜÒºÓë»îÐÔÌ¿¼Á½Ó´¥30–180·ÖÖÓ£¬È»ºó½«ÈÜÒº´Ó»îÐÔÌ¿ÖÐÒÆ³ö¡£ÔÚ»îÐÔÌ¿ÉÏÎü¸½¹ý³ÌÖ®ºó£¬²âÁ¿ÈÜÒºµÄ»¯Ñ§ÐèÑõÁ¿(COD)ˮƽ¡£
¡¡¡¡»îÐÔÌ¿Ìå»ý¶ÔÓлú»¯ºÏÎïÎü¸½µÄÓ°Ïì
¡¡¡¡ÔÚÖùÉ«Æ×·¨ÉÏ£¬»îÐÔÌ¿ÎüÊÕÁË·ÏË®ÖеĶ¡ÏãÓÍ¡£·ÏË®Á¿´Ó10–25ml²»µÈ¡£½«ÑùÆ·Ìí¼Óµ½º¬ÓÐ0.5g»îÐÔÌ¿µÄÉ«Æ×ÖùÖС£Ê¹ÈÜÒº½Ó´¥²¢´ÓÎü¸½¼ÁÖгýÈ¥¡£Í¨¹ýCODº¬Á¿·ÖÎö²âÁ¿´ÓÎü¸½¹ý³Ì»ñµÃµÄÈÜÒº¡£

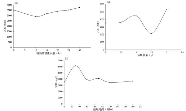
¡¡¡¡Í¼2£º»îÐÔÌ¿µÄ²ÎÊý¶ÔÎü¸½CODº¬Á¿µÄÓ°Ï죺(a)Ìå»ý£¬(b)»îÐÔÌ¿ÖØÁ¿£¬(c)½Ó´¥Ê±¼ä¡£
¡¡¡¡µ±10ºÁÉý·ÏË®Á¿Ê±»îÐÔÌ¿Îü¸½ºó½µµÍµÄCODÖµÔÚͼ2ÏÔʾ¡£ÔÚ10ml·ÏÒºÁ¿Ï»ñµÃÁ¼ºÃÎü¸½£¬ÆäCODֵΪ3000×óÓÒ¡£¶¡Ïã·ÏÓ͵ÄCODÖµ±íÃ÷Á˽Ӵ¥Ê±¼ä¶ÔÎü¸½¹ý³ÌµÄÓ°Ïì¡£ÔÚ30·ÖÖӵĽӴ¥Ê±¼äÄÚ£¬CODÖµÔö¼Ó¡£½Ó´¥30·ÖÖÓºó£¬CODˮƽÔÚºÏÊÊÌõ¼þÏÂ120·ÖÖÓÏà¶ÔÎȶ¨¡£
¡¡¡¡»îÐÔÌ¿Îü¸½»ØÊÕ·¼Ï㻯ºÏÎ¶¡ÏãÓ͵ÄÖ÷Òª»¯ºÏÎïÊǶ¡×ÓÏã·Ó(80.26%)£¬ÒÒËá¶¡×ÓÏã·Ó(8.64%)ºÍʯÖñÏ©(5.16%)¡£¶¡ÏãÓÍÔÚ¶¡Ïã·Ó£¬¶¡Ïã·ÓÒÒËáõ¥ºÍËĹèÑõÍéÖ»»îÐÔÌ¿ÉÏÎü¸½ºóµÄÖ÷Òª³É·Ö±»¹Û²ìµ½£¬Æä×é³É·Ö±ðΪ63.76%£¬4.67%ºÍ0.54%¡£Îü¸½ÔÚ»îÐÔÌ¿ÉϵÄÖ÷Òª×é³É°´Êý¾ÝÏÔʾ£¬¶¡Ïã·ÓÔÚ»îÐÔÌ¿ÉϵĻØÊÕÂÊΪ79.44%£¬¶¡Ïã·ÓÒÒËáõ¥»¯ºÏÎïΪ54.05%£¬¾«Ó͵ĻØÊÕֵΪ0.31%¡£»¹ÓÐʲô²»Ã÷°×µÄÇ뾡¿ìÁªÏµÎÒÃÇ£¬ÎÒÃÇÓÐרҵµÄÑз¢¼¼Êõ¿ÉÒÔ°ïÄú½â¾öÏà¹ØÎÊÌâ¡£
ÎÄÕ±êÇ©£ºÒ¬¿Ç»îÐÔÌ¿,¹û¿Ç»îÐÔÌ¿,úÖÊ»îÐÔÌ¿,ľÖÊ»îÐÔÌ¿,·äÎÑ»îÐÔÌ¿,¾»Ë®»îÐÔÌ¿.±¾ÎÄÁ´½Ó£ºhttp://m.fdcnvt.cn/hangye/hy953.html
ÍÆ¼ö×ÊѶ
- 2026-02-25»îÐÔÌ¿Îü¸½´¦ÀíÆ¡¾Æ³§·ÏË®
- 2026-02-13»îÐÔÌ¿Îü¸½´¦Àíº¬¹¯·ÏÆø
- 2026-02-04»îÐÔÌ¿ÓÃÓÚ´Ó·ÏË®ÖÐÎü¸½È¥³ý΢Á¿ïÓºÍǦ
- 2026-01-28»îÐÔÌ¿½àÑÀ·ÛרÓÃ
- 2026-01-20»îÐÔÌ¿ÔÚ·ÏÆø´¦ÀíÖеÄһЩ³£Ê¶
- 2026-01-13»îÐÔÌ¿ÔÚ¾«ÖÆÌÇÉú²úÖеÄÍÑɫЧ¹û
- 2026-01-07»îÐÔÌ¿¶Ôßäßò»ùÀë×ÓÒºÌåµÄÎü¸½ÐÔÄÜ
- 2025-12-24»îÐÔÌ¿¸ÄÐÔÔöÇ¿¶ÔÒÒõ£°±»ù·ÓµÄÎü¸½
- 2025-12-15»îÐÔÌ¿Îü¸½Âí¶µÁåËá
- 2025-11-27³¬Ï¸»îÐÔÌ¿5000Ä¿·ÛÄ©»îÐÔÌ¿
- 2025-11-26»îÐÔÌ¿ÔÚÁò»¯Ï𽺳ÄÌ×ÖеÄÓ¦ÓÃ
- 2025-11-19»îÐÔÌ¿Îü¸½Öؾ§Ê¯»ìºÏÎïÖеÄͺÍп
