µç»°£º13570151199
´«Õ棺020-39972520
ÓÊÏ䣺hanyan@hanyancarbon.com
µØÖ·£º¹ã¶«Ê¡¹ãÖÝÊз¬Ø®Çø¶«»·½Ö·¬Ø®´óµÀ±±555ºÅÌì°²×ܲ¿ÖÐÐÄ30ºÅÂ¥6²ã
¡¡¡¡Èý¾ÛÇè°·ÔÚ»îÐÔÌ¿ÉϵÄÎü¸½£¬»îÐÔÌ¿µÄÖʵغͱíÃæ»á¶ÔÎü¸½²úÉúʲôӰÏì?
¡¡¡¡Èý¾ÛÇè°·±»¹ã·ºÓÃÓÚľÖʲúÆ·µÄÉú²úÖУ¬Æä×÷ÓðüÀ¨ÔÚÊÎÃæÌùÖ½£¬Í¿ÁÏ£¬Õ³ºÏ¼ÁºÍ×èȼ¼ÁÖеÄÓÃ;¡£Æä¸ü¹ã·ºµÄÓ¦Óû¹°üÀ¨ÔÚ»ìÄýÍÁ£¬ÒÔ¼°Ö½ÕźͷÄÖ¯²ÄÁÏÉϵÄÔöËܼÁ¡£Ö÷ҪʹÓÃ±È½ÏÆµ·±²¢ÇÒÈý¾ÛÇè°·¼°Æä·Ö½â²úÎï¿ÉÄÜ»áÎÛȾˮºÍÍÁÈÀ£¬ËùÒÔÐèÒªÔÚ»·¾³ÖÐÈ¥³ýËü¡£±¾´ÎÎÒÃǽ«¶ÔÈýÖÖ¾ßÓÐÈýÖÖ²»Í¬±íÃæ»ý£¬¿×¾¶·Ö²¼ºÍÑõº¬Á¿µÄ»îÐÔÌ¿À´Îü¸½Èý¾ÛÇè°·½øÐбȽÏÑо¿¡£×¨ÃÅÖÂÁ¦ÓÚʹÓÃÆøÌåÎü¸½ÊµÑ飬ÒÔÈ«ÃæÁ˽âÈý¾ÛÇè°·µÄÎü¸½¹ý³ÌÒÔ¼°»îÐÔ֮̿¼äµÄ²îÒì¡£¸ù¾Ý·Ö×ӵĴóСºÍ»îÐÔÌ¿µÄ±íÃæ»ý¼ÆËãÎü¸½Îï·Ö×ÓµÄÀíÂÛ¡£
¡¡¡¡Èý¾ÛÇè°·Îü¸½²â¶¨·½·¨
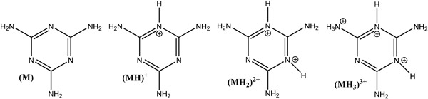
¡¡¡¡ÓÅ»¯ÁË»îÐÔÌ¿µÄÓÃÁ¿ºÍÈý¾ÛÇè°·ÈÜҺŨ¶È·¶Î§µÄÓ°Ï죬ÒÔʵÏÖ¶¨Á¿·ÖÎöÎü¸½Ç°ºó£¬ÒÔ¼°ÕâЩÑо¿ÖÐʹÓõÄËùÓлîÐÔÌ¿ÖÐÈý¾ÛÇè°·µÄ×î¼ÑÌõ¼þ¡£×î³õµÄʵÑéÉæ¼°²»Í¬µÄÎü¸½¼Á¼ÁÁ¿£¬ÒÔ¼°ÓÃÓÚÎü¸½Îï¼ì²âºÍ¶¨Á¿µÄ¶àÖÖ·½·¨¡£Í¨¹ý¿¼ÂÇÈý¾ÛÇè°·ÔÚË®ÖеÄÈܽâ¶È(ËáÐԺͼîÐÔÌõ¼þ)ÒÔ¼°Îü¸½ÊµÑéǰºóÈÜÒºÖеĿɲâÁ¿Ë®Æ½À´Ñ¡ÔñÈý¾ÛÇè°·ÈÜÒºµÄŨ¶È·¶Î§¡£ÓÉÓÚÈý¾ÛÇè°·(M)ÊǼÒò´ËËü¿ÉÒÔÔÚË®ÈÜÒºÖоÀú¼¸´ÎËá/¼îƽºâ·´Ó¦²¢Ðγɲ»Í¬µÄÖÊ×Ó»¯ÎïÖÊ(¼ûͼ1)¡£

¡¡¡¡Í¼1 £ºÈý¾ÛÇ谷ʹˮÈÜÒºÖеÄÎïÖÊÖÊ×Ó»¯¡£
¡¡¡¡»îÐÔÌ¿¶ÔÈý¾ÛÇè°·µÄÎü¸½
¡¡¡¡Îü¸½»·¾³ÔÚ30°CµÄ¼îÐÔ(0.1 M NaOH)ºÍËáÐÔ(0.1 M HCl)½éÖÊÌõ¼þÏ£¬ÈýÖÖ»îÐÔÌ¿¶ÔÈý¾ÛÇè°·µÄÎü¸½¡£ÏÔÈ»£¬ÔÚÏàËÆµÄƽºâŨ¶ÈÏ£¬¼îÐÔ½éÖÊÖÐÈý¾ÛÇè°·µÄÎü¸½±ÈËáÐÔÈÜÒºÖеÄÎü¸½Ã÷ÏÔ¸üÓÐÀû£¬²¢ÇÒËüҲǿÁÒÒÀÀµÓÚÎü¸½¼Á²ÄÁϵıíÃæ»ý¡£¶ÔÈý¾ÛÇè°·ÔÚË®Öи߶ȶ¨ÏòµÄÈȽâʯīÉϵÄÎü¸½±íÃ÷£¬ÓÉÓÚ°·»ùÍŵĴæÔÚ£¬Èý¾ÛÇ谷ͨ¹ýÓëÈý¾ÛÇè°··Ö×ÓÖ®¼äµÄÇâ¼üÓë̼µ×ÎïºÍÆäËûÈý¾ÛÇè°··Ö×ÓÏ໥×÷Ó㬿ÉÒÔÐγÉ×éÖ¯Á¼ºÃµÄ·Ö×ÓÅÅÁÐ(Ç⹩Ìå)ºÍÖÐÐÄ»·µÄNÔ×Ó(ÇâÊÜÌå)¡£Èý¾ÛÇè°··Ö×ÓÔÚÐγÉÁù±ßÐζà¿×³¬·Ö×ÓÍøÂç֮ǰ±»µ¥¶ÀÎü¸½»òͨ¹ý¶þ¾ÛÌåÎü¸½¡£ÕâЩ½á¹û½âÊÍÁËΪʲôÔÚËáÐԺͼîÐÔ½éÖÊÖеÄÎü¸½²îÒìºÜ´ó¡£ÔÚËáÐÔ½éÖÊÖУ¬ÖÊ×Ó»¯µÄÈý¾ÛÇè°··Ö×ÓÖ®¼äÒÔ¼°Èý¾ÛÇè°·Óë»îÐÔ֮̿¼äµÄÏ໥×÷ÓÿÉÄܲ»Ì«ÓÐÀû£¬´Ó¶øµ¼Ö·dz£µÍµÄÎü¸½Öµ¡£

¡¡¡¡Í¼2£ºÈý¾ÛÇè°·ÔÚ30°CÏÂÔÚÈýÖÖ»îÐÔÌ¿µÄÎü¸½µÈÎÂÏߣ¬Í¨¹ý»îÐÔÌ¿±íÃæ»ý±ê×¼»¯¡£
¡¡¡¡ÁíÒ»·½Ã棬ÔÚ¼îÐÔ½éÖÊÖУ¬Öп׺ʹó¿×»îÐÔÌ¿ÔÚµÍŨ¶ÈÏÂÏÔʾ³ö¸ü¸ßµÄÈý¾ÛÇè°·ÎüÊÕ¡£¾¡¹ÜÕâ²»ÄÜÓÃÀ´È·¶¨µÈÎÂÏߣ¬µ«Õâ¿ÉÄܱíÃ÷ÔÚµÍŨ¶ÈÏ»îÐÔÌ¿µÄÎü¸½Ð§¹û½Ï²î£¬Õâ¿ÉÄÜÊÇÓÉÓڸòÄÁϵÄ΢¿×½á¹¹ËùÖ¡£
¡¡¡¡ÔÚ»îÐÔÌ¿ÉÏÎü¸½Èý¾ÛÇè°·µÄ²âÊÔÖз¢ÏÖ¡£ÔÚ¼îÐÔÈÜÒºÖУ¬»îÐÔÌ¿Îü¸½Á¿ÏÔ×ÅÔö¼Ó£¬Õâ½öÊÇÓÉÓÚδÖÊ×Ó»¯µÄÈý¾ÛÇè°·¿ÉÒÔ¸üºÃµØÓë»îÐÔÌ¿Ï໥×÷Ó㬶øÇÒÔÚÏàÁÚµÄÈý¾ÛÇè°··Ö×ÓÖ®¼äÐγÉHN=HÇâ¼ü¡£Ò²¿ÉÄÜͨ¹ý½µµÍpHÖµ´Ó»îÐÔÌ¿ÖÐÊͷųöÎü¸½µÄÈý¾ÛÇè°·£¬´Ó¶ø¸ù¾ÝÐèÒªÊͷųöÎü¸½µÄÎïÖÊ¡£¿ÉÒÔ¼ûµÃ»îÐÔÌ¿´ÓÈÜÒºÖÐÈ¥³ýÈý¾ÛÇè°·ÊÇ¿ÉÐеġ£Èç¹ûÄú»¹ÓÐʲô²»Ì«¶®µÄµØ·½¿ÉÒÔÖ±½Ó×ÉѯÎÒÃÇ£¬ÎÒÃÇ¿ÉÒÔ¸øÄúÌṩ¼¼ÊõÖ§³Ö¡£
ÎÄÕ±êÇ©£ºÒ¬¿Ç»îÐÔÌ¿,¹û¿Ç»îÐÔÌ¿,úÖÊ»îÐÔÌ¿,ľÖÊ»îÐÔÌ¿,·äÎÑ»îÐÔÌ¿,¾»Ë®»îÐÔÌ¿.±¾ÎÄÁ´½Ó£ºhttp://m.fdcnvt.cn/hangye/hy895.html
ÍÆ¼ö×ÊѶ
- 2026-02-25»îÐÔÌ¿Îü¸½´¦ÀíÆ¡¾Æ³§·ÏË®
- 2026-02-13»îÐÔÌ¿Îü¸½´¦Àíº¬¹¯·ÏÆø
- 2026-02-04»îÐÔÌ¿ÓÃÓÚ´Ó·ÏË®ÖÐÎü¸½È¥³ý΢Á¿ïÓºÍǦ
- 2026-01-28»îÐÔÌ¿½àÑÀ·ÛרÓÃ
- 2026-01-20»îÐÔÌ¿ÔÚ·ÏÆø´¦ÀíÖеÄһЩ³£Ê¶
- 2026-01-13»îÐÔÌ¿ÔÚ¾«ÖÆÌÇÉú²úÖеÄÍÑɫЧ¹û
- 2026-01-07»îÐÔÌ¿¶Ôßäßò»ùÀë×ÓÒºÌåµÄÎü¸½ÐÔÄÜ
- 2025-12-24»îÐÔÌ¿¸ÄÐÔÔöÇ¿¶ÔÒÒõ£°±»ù·ÓµÄÎü¸½
- 2025-12-15»îÐÔÌ¿Îü¸½Âí¶µÁåËá
- 2025-11-27³¬Ï¸»îÐÔÌ¿5000Ä¿·ÛÄ©»îÐÔÌ¿
- 2025-11-26»îÐÔÌ¿ÔÚÁò»¯Ï𽺳ÄÌ×ÖеÄÓ¦ÓÃ
- 2025-11-19»îÐÔÌ¿Îü¸½Öؾ§Ê¯»ìºÏÎïÖеÄͺÍп
