µç»°£º13570151199
´«Õ棺020-39972520
ÓÊÏ䣺hanyan@hanyancarbon.com
µØÖ·£º¹ã¶«Ê¡¹ãÖÝÊз¬Ø®Çø¶«»·½Ö·¬Ø®´óµÀ±±555ºÅÌì°²×ܲ¿ÖÐÐÄ30ºÅÂ¥6²ã
¡¡¡¡Ë®Åà·¨ÊÇÒ»ÖֿɳÖÐøµÄũҵϵͳ£¬ÔÚ¹²Éú»·¾³Öн«Ë®²úÑøÖ³ºÍË®Åà·¨Ïà½áºÏ¡£Óã²Ë¹²Éú¼¼Êõ¿ÉÒÔÓÅ»¯Å©ÒµÍÁµØµÄÀûÓ㬴ӶøÌá¸ßÅ©×÷ÎïµÄÉú²úÁ¦¡£ÔÚË®²úÑøÖ³ÖУ¬ÓãºÍËÇÁÏÅÅйµÄ½á¹ûͨ³£»á»ý¾ÛÔÚË®ÖУ¬´Ó¶øÓ°ÏìË®ÖÊ¡£È»¶ø£¬ÔÚÓã²Ë¹²ÉúϵͳÖУ¬Ê£ÓàµÄËÇÁϺÍÓãÅÅйµÄ½á¹û½«±»ÓÃ×÷Ö²ÎïµÄ·ÊÁÏ(´ïµ½ÁãÀË·Ñ)¡£Èç¹ûÎÒÃÇÀûÓûîÐÔÌ¿¹ýÂËË®ÖÐÓãÀà»ýÀÛµÄÔÓÖʺÍÎÛȾ£¬¾Í¿ÉÒÔ½µµÍÓãÀàÉú´æ»áÓ°ÏìË®ÖʵÄÇé¿ö¡£ÎÒÃDzâÊÔÁËÓÉ»îÐÔÌ¿ÖÆ³ÉµÄË®Åàϵͳ¡£¶ø»îÐÔÌ¿ÔÚË®¾»»¯Öг䵱ÎüÊÕ¼Á£¬´ß»¯¼ÁºÍ¹ýÂËÆ÷£¬²¢Äܹ»ÎüÊÕÒõÀë×Ó£¬ÑôÀë×ÓÒÔ¼°ÈÜÒº»òÆøÌåÐÎʽµÄÓлúºÍÎÞ»ú»¯ºÏÎï·Ö×Ó¡£
¡¡¡¡»îÐÔÌ¿ÊÇÒ»ÖÖÄܹ»ÔÚÈÜÒº»òÆøÌåÐÎʽÎüÊÕÒõÀë×Ó£¬ÑôÀë×ÓÒÔ¼°ÓлúºÍÎÞ»ú»¯ºÏÎï·Ö×ÓµÄ̼¡£´ËÍ⣬»îÐÔÌ¿»¹¿ÉÒÔÓÃ×÷Ë®¾»»¯ÖеÄÎüÊÕ¼Á£¬´ß»¯¼ÁºÍ¹ýÂËÆ÷£¬²¢ÇÒ¿ÉÒÔÏû³ýË®µÄÑÕÉ«ºÍÆøÎ¶¡£»îÐÔÌ¿×÷ΪÖÖÖ²½éÖʵÄÓÅÊÆÔÚÓÚ£¬Ëü¶ÔÈÜÒº£¬ÆøÌåÖеÄÒõÀë×Ó£¬ÑôÀë×ÓÒÔ¼°ÓлúºÍÎÞ»ú»¯ºÏÎïÐÎʽµÄ·Ö×Ó¾ù¾ßÓÐÁ¼ºÃµÄÎüÊÕÄÜÁ¦¡£´ËÍ⣬»îÐÔÌ¿»¹¿ÉÒÔÎüÊÕË®ºÍÍÁÈÀÖеÄũҩ²ÐÁô£¬Ôö¼ÓÍÁÈÀ·ÊÁ¦²¢·ÀÖ¹ÓÉ΢ÉúÎïÒýÆðµÄ¸ù¸¯²¡µÄ·¢Éú¡£
¡¡¡¡»îÐÔ̿ˮÅàÅàÑø»ùµÄÖÆ±¸
¡¡¡¡Í¨¹ýʹÓó±Ï«ÏµÍ³£¬½«Ö²ÎïÈÝÆ÷·ÅÖÃÔÚÓã³Ø¶¥²¿À´Éè¼ÆÓã²Ë¹²Éú¡£×°ÓлîÐÔÌ¿µÄÉúÎïÂ˳أ¬Æäºñ¶È¸ù¾Ý´¦ÀíµÄ²»Í¬¶ø²»Í¬¡£´ËÍ⣬³ØÖйܵÀµÄÄ©¶ËÓë±ÃÏàÁ¬£¬ÒÔ½«Ë®ÎüÈëÖ²Îïά»¤ÈÝÆ÷¡£Ë®°´ÕÕÔÙÑ»·ÔÀíÁ÷¶¯£¬Òò´Ë£¬ÑøÓã¹ý³ÌÖвúÉúµÄ·ÏË®½øÈëË®µ¾Ö²ÖêµÄά»¤ÈÝÆ÷ÖУ¬²¢ÔÚÑøÓã¹ý³ÌÖÐ×÷ΪˮԴÔÙÀûÓá£
¡¡¡¡Ë®µ¾ÖÖ×ÓÏòË®Åà·¨ÅàÑø»ùµÄ×ªÒÆ
¡¡¡¡Ê¹Óò¥ÖֺнøÐÐÖÖ×Ó²¥ÖÖ£¬Ê×ÏȽ«µØÃæÄ¥Æ½£¬È»ºó½«ÖÖ×Ó¾ùÔȵØÈöÔÚ×¼±¸ºÃµÄÓýÃçºÐÉÏ¡£7Ììºó£¬½«Ë®µ¾Ó×Ãç´ÓÓ×ÃçÅàÑø»ù×ªÒÆµ½ÖƱ¸µÄË®Åà·¨ÅàÑø»ùÖС£¶ÔÓÚ´óСΪ50x50ÀåÃ×µÄË®Åà·¨ÅàÑø»ù£¬ÖÖÖ²ÁË25ÖêË®µ¾Ó×Ãç¡£
¡¡¡¡ÓãÏòË®Åà·¨ÅàÑø»ùµÄ×ªÒÆ
¡¡¡¡Ê¹ÓõÄÓãÊÇÂÞ·ÇÓã£¬ÖØ10-15¿Ë/Í·£¬ÃܶÈΪ50β/ƽ·½Ãס£½«ÂÞ·ÇÓãÊÊÓ¦2ÖܺóÔÙÓëÖ²ÎïÕûºÏ¡£
¡¡¡¡Ö²ÎïºÍÓãÀàµÄά»¤
¡¡¡¡ÓãºÍÃ×µÄά³ÖÆÚΪ90Ì죬Òò´ËÔÚÒ»¸öÓãά³ÖÖÜÆÚÖлñµÃÁËÒ»¸öµ¾Î¬³ÖÖÜÆÚ¡£Ã¿ÌìÁ½´ÎιÓã¡£Ëù¸øµÄËÇÁÏÊǵ°°×Öʺ¬Á¿Ô¼Îª30%µÄСÍèÐÎʽ¡£ÔÚË®µ¾Ö²ÎïµÄά»¤¹ý³ÌÖУ¬Ã»ÓнøÐÐÌØÊâ´¦Àí£¬½ö½øÐÐÁ˳£¹æ¼à²â£¬ÒÔʹˮµ¾Ö²Îï±ÜÃ⺦³æºÍÌìµÐ¡£
¡¡¡¡»îÐÔÌ¿´¦ÀíÓë²âÊÔ
¡¡¡¡ÔÚÕâÏîÑо¿ÖÐÓ¦ÓÃÁËÎåÖÖ´¦Àí·½·¨¡£´¦ÀíµÄ±ä»¯ÎªP0(×÷Ϊ¶ÔÕÕ)£¬P1=1.5cm»îÐÔÌ¿£¬P2=3cm»îÐÔÌ¿£¬P3=4.5cm»îÐÔÌ¿ºÍP4=6cm»îÐÔÌ¿¡£´¦ÀíºóʹÓÃË®Öʼì²éÆ÷²âÁ¿Ë®ÖÊ£¬ÀýÈçζȣ¬ÈܽâÑõ(DO)ºÍpH¡£°±Æø²âÊÔÌ×¼þÓÃÓÚ²âÁ¿°±Æøº¬Á¿¡£
¡¡¡¡»îÐÔ̿ˮÅàϵͳ²âÊÔ½á¹û
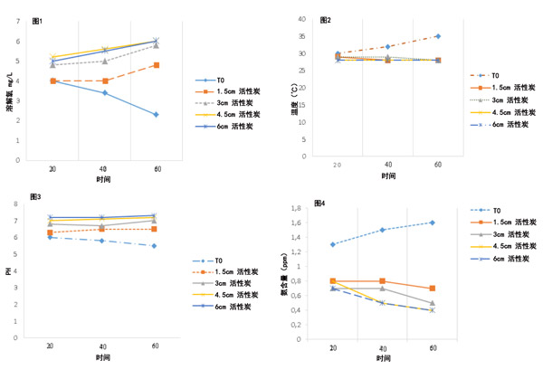
¡¡¡¡¾¹ý¶ÔʹÓûîÐÔÌ¿¹ýÂËÆ÷µÄ¹²ÑøÏµÍ³¶ÔÂÞ·ÇÓã½øÐÐά»¤µÄË®ÖʲÎÊýÖµ£¬»îÐÔ̿ˮÅàʱ¼äΪ60Ì죬²âÁ¿½á¹û±íÃ÷£¬Î¬»¤ÆÚ¼äµÄË®ÖʲÎÊýÇãÏòÓÚ´¦ÓÚÊʺÏÂÞ·ÇÓãÉú³¤µÄÌõ¼þ¡£ÏÂͼ1¡¢2¡¢3¡¢4ÏÔʾÁËÔÚ20¡¢40ºÍ60ÌìÁäʱ²âµÃµÄË®ÖʲÎÊý£º

¡¡¡¡ÕâЩÊý×Ö±íÃ÷£¬ÓëʹÓûîÐÔÌ¿¹ýÂËÆ÷µÄÓã²Ë¹²ÉúϵͳµÄ¶ÔÕÕ×éÏà±È£¬´¦ÀíP1£¬P2£¬P3ºÍP4ÇãÏòÓÚÔÚÂÞ·ÇÓãÉú³¤µÄºÏÊÊ·¶Î§ÄÚ¡£ËüÊÇÓɱíÃæÉÏÓдó¿×µÄ»îÐÔÌ¿ÒýÆðµÄ£¬Òò´ËËüÔÚÎüÊÕµ¼Ö»ë×ǵϝºÏÎï(Ðü¸¡µÄÓлúÎïºÍС¿ÅÁ£)µÄ¹ý³ÌÖÐÓÐЧ·¢»ÓÁË×÷Ó᣻îÐÔÌ¿Ö÷ÒªÓɾßÓÐÁ¼ºÃÎüÊÕÄÜÁ¦µÄÓÎÀë̼×é³É£¬Òò´Ë¿ÉÒÔ±£³ÖË®ÖÊ¡£
¡¡¡¡Í¼1ÏÔʾÓë¶ÔÕÕÏà±È£¬´¦ÀíP1£¬P2£¬P3ºÍP4ÖеÄÈܽâÑõº¬Á¿³ÖÐøÔö¼Ó¡£ÕâÊÇÓÉÓÚÒÔÏÂÊÂʵÒýÆðµÄ£º»îÐÔÌ¿³äµ±¹ýÂËÆ÷£¬¿ÉÒÔÔö¼ÓÑõÆøµÄÀ©É¢£¬´Ó¶øÔö¼ÓÈܽâÔÚË®ÖеÄÑõÆøº¬Á¿¡£ÔÚÕâÖÖÇé¿öÏ£¬Ê¹ÓÃÉúÎïÂ˳Ø×÷ΪÆäµ×ÎïµÄÔÙÑ»·¿ÉÒԳ䵱ÑõÆøºÍË®À©É¢µÄ³¡Ëù¡£Ëü»¹¾ßÓпÉÒÔÔö¼ÓË®ÖÐÑõÆøµÄ¿Õ¼ä»ò¿×£¬ÆäÈܽâÑõº¬Á¿Îª6.5-8.5 mg¡£³ý´ËÖ®Í⣬Ëü»¹ÊÜζÈÓ°Ï죬ζÈÔ½µÍ(ͼ2)£¬ÂÞ·ÇÓãµÄºÄÑõÁ¿¾Í¼õÉÙ£¬´Ó¶øÊ¹Ë®ÖеÄÈܽâÑõˮƽÔö¼Ó¡£
¡¡¡¡Í¼2±íÃ÷£¬ÔÚ¹²ÉúϵͳÖÐʹÓûîÐÔÌ¿×÷ΪˮÖʵĹýÂ˽éÖÊ£¬Ê¹Ë®Î´¦ÓÚÂÞ·ÇÓãÉú³¤µÄºÏÊÊ·¶Î§¡£Õâµ¼ÖÂÓãµÄÉãʳ»î¶¯Ôö¼ÓÒò´ËÂÞ·ÇÓãµÄÉú³¤¸ü¿ì¡£Í¼3±íÃ÷£¬´¦ÀíP3ºÍP4ÖÐË®µÄpHÇãÏòÓÚ²»²¨¶¯¡£µ«ÊÇÔÚ´¦ÀíP0(¶ÔÕÕ)ÖУ¬ÂÞ·ÇÓãά³Ö¹ý³ÌÖÐË®µÄpHÖµ½µµÍÁË¡£°±º¬Á¿Ó°ÏìË®µÄpHÖµ½µµÍ£¬°±º¬Á¿Ô½¸ß£¬Ë®µÄpHÖµÔ½µÍ¡£»îÐÔÌ¿ÊÇÒ»ÖÖÄܹ»ÒÔÈÜÒº»òÆøÌåÐÎʽÎüÊÕÒõÀë×Ó£¬ÑôÀë×ÓÒÔ¼°ÓлúºÍÎÞ»ú»¯ºÏÎï·Ö×ÓµÄ̼¡£ÁíÍ⣬»îÐÔÌ¿»¹¿ÉÒÔÓÃ×÷Ë®¾»»¯ÖеÄÎüÊÕ¼Á£¬´ß»¯¼ÁºÍ¹ýÂËÆ÷¡£Ëü¿ÉÒÔÈ¥³ýË®µÄÑÕÉ«ºÍÆøÎ¶£¬²¢ÖкÍË®µÄpHÖµ¡£
¡¡¡¡Í¼4ÏÔʾ£¬ÓÉÓÚÓлúÎïµÄ»ýÀÛ(²ÐÁôËÇÁϺͲÐÁôÂÞ·ÇÓãг´úлÔö¼Ó)£¬´¦ÀíP0£¬P1ºÍP2Öеݱº¬Á¿¼ÌÐøÔö¼Ó¡£ÔÚ´¦ÀíP3ºÍP4ʱ£¬°±µÄº¬Á¿Ã»Óв¨¶¯¡£ÕâÊÇÒòΪ»îÐÔÌ¿Äܹ»Í¨¹ýÖ±½Ó´Ó¿×ÖÐÑõ»¯»òÎüÊÕÀ´Çå³ýÈܽâµÄÓлú·Ö×Ó£¬´Ó¶ø½áºÏµ½ÈܽâµÄ²ÄÁÏÉÏ¡£
¡¡¡¡ÕâÏîÑо¿µÄ½á¹û·¢ÏÖ£¬ÔÚÓã²Ë¹²Éúϵͳ(Ã×Óã)ÖÐʹÓûîÐÔÌ¿¿ÉÒÔά³Ö60ÌìµÄË®ÖÊ¡£ÓãÀàºÍË®µ¾Éú³¤µÄºÏÊÊË®ÖÊΪ´¦ÀíP3(»îÐÔÌ¿ºñ¶ÈΪ4.5ÀåÃ×)ºÍ´¦ÀíP4(»îÐÔÌ¿ºñ¶ÈΪ6ÀåÃ×)¡£²»¹ý½¨ÒéÒª¶¨ÆÚ¸ü»»»îÐÔÌ¿À´±£³Ö¶ÔË®ÖʵĹýÂËÀ´Î¬³ÖË®Åàϵͳ¡£
ÎÄÕ±êÇ©£ºÒ¬¿Ç»îÐÔÌ¿,¹û¿Ç»îÐÔÌ¿,úÖÊ»îÐÔÌ¿,ľÖÊ»îÐÔÌ¿,·äÎÑ»îÐÔÌ¿,¾»Ë®»îÐÔÌ¿.±¾ÎÄÁ´½Ó£ºhttp://m.fdcnvt.cn/hangye/hy879.html
ÍÆ¼ö×ÊѶ
- 2026-02-25»îÐÔÌ¿Îü¸½´¦ÀíÆ¡¾Æ³§·ÏË®
- 2026-02-13»îÐÔÌ¿Îü¸½´¦Àíº¬¹¯·ÏÆø
- 2026-02-04»îÐÔÌ¿ÓÃÓÚ´Ó·ÏË®ÖÐÎü¸½È¥³ý΢Á¿ïÓºÍǦ
- 2026-01-28»îÐÔÌ¿½àÑÀ·ÛרÓÃ
- 2026-01-20»îÐÔÌ¿ÔÚ·ÏÆø´¦ÀíÖеÄһЩ³£Ê¶
- 2026-01-13»îÐÔÌ¿ÔÚ¾«ÖÆÌÇÉú²úÖеÄÍÑɫЧ¹û
- 2026-01-07»îÐÔÌ¿¶Ôßäßò»ùÀë×ÓÒºÌåµÄÎü¸½ÐÔÄÜ
- 2025-12-24»îÐÔÌ¿¸ÄÐÔÔöÇ¿¶ÔÒÒõ£°±»ù·ÓµÄÎü¸½
- 2025-12-15»îÐÔÌ¿Îü¸½Âí¶µÁåËá
- 2025-11-27³¬Ï¸»îÐÔÌ¿5000Ä¿·ÛÄ©»îÐÔÌ¿
- 2025-11-26»îÐÔÌ¿ÔÚÁò»¯Ï𽺳ÄÌ×ÖеÄÓ¦ÓÃ
- 2025-11-19»îÐÔÌ¿Îü¸½Öؾ§Ê¯»ìºÏÎïÖеÄͺÍп
