µç»°£º13570151199
´«Õ棺020-39972520
ÓÊÏ䣺hanyan@hanyancarbon.com
µØÖ·£º¹ã¶«Ê¡¹ãÖÝÊз¬Ø®Çø¶«»·½Ö·¬Ø®´óµÀ±±555ºÅÌì°²×ܲ¿ÖÐÐÄ30ºÅÂ¥6²ã
¡¡¡¡¾Û¶Ô±½¶þ¼×ËáÒÒ¶þõ¥(PET)ÊDZز»¿ÉÉٵIJÄÁÏ£¬ÒòΪËüÊÇÓ¦ÓÃÓÚʳƷ°ü×°£¬µçÏߺÍÒ½Áƹ¤¾ßµÈ¸÷¸öÁìÓòµÄËÜÁϵÄÖ÷Òª³É·Ö¡£ÌرðÊÇ£¬PETÖ÷ÒªÔÚµ¥Ò»·þÎñÁìÓòÖÐÓÃ×÷Ë®ºÍ̼ËáÈíÒûÁϵÄÈÝÆ÷¡£µ«ÊǾ۶Ա½¶þ¼×ËáÒÒ¶þ´¼õ¥µÄÈȽâ¹ý³Ì»á²úÉú¶ÔÈËÌ彡¿µºÍ»·¾³Óк¦µÄ¶à»·ÌþºÍÁª±½ÑÜÉúÎï¡£Òò´Ë£¬Ê¹ÓÃîÙ½ðÊô´ß»¯¼ÁÔÚ»îÐÔÌ¿ÉϸºÔØÒÔ·ÀÖ¹Óк¦ÎïÖʵÄÐγɡ£±¾´ÎµÄÑо¿ÎÒÃÇÔÚPET·ÏÁϵÄÈȽâ¹ý³ÌÖÐʹÓÃÁË»îÐÔÌ¿¸ºÔصÄîÙ´ß»¯¼Á£¬ÒÔ¼õÉÙÓÉÈȷֽⷴӦ²úÉúµÄ¶à»·ÌþºÍÁª±½ÑÜÉúÎï¡£
¡¡¡¡»îÐÔÌ¿ÔØîÙ´ß»¯¼Á²ÄÖÊ·ÖÎö
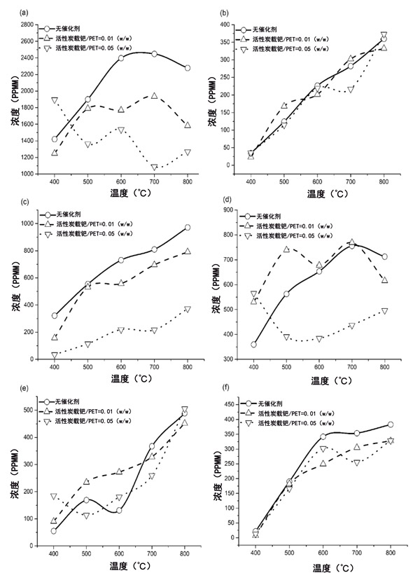
¡¡¡¡»îÐÔÌ¿ÔØîÙ´ß»¯¼ÁµÄ¸ß±íÃæ»ý¹éÒòÓÚ»îÐÔÌ¿ÔØÌå¡£¾¡¹Ü½ðÊô¸ºÔØÁ¿Îª5 wt%£¬¸ß±íÃæ»ýÈÔ¿ÉʵÏÖ¸ßîÙ·ÖÉ¢¶È(42%)¡£ÒÑÖª»îÐÔÌ¿¾ßÓкܸߵÄÈÈÎȶ¨ÐÔ£¬Òò´ËÔÚÈȽâ¹ý³ÌÖд󲿷ֱ£ÁôÁË»îÐÔÌ¿µÄ¿×϶ÂÊ¡£Í¼1ÏÔʾÁËÔÚÓкÍûÓÐîÙ´ß»¯¼ÁµÄÇé¿öÏ£¬ÓÉPETÈȽâ»ñµÃµÄ¶à»·ÌþºÍÁª±½ÑÜÉúÎïµÄŨ¶È±È½Ï¡£Ê¹Óò»Í¬µÄ»îÐÔÌ¿ÔØîÙ´ß»¯¼Á/PET±ÈÈ·¶¨ÈȽâ¹ý³ÌÖд߻¯¼ÁµÄ×÷Óá£Ëæ×ÅÈȽâζȵÄÉý¸ß£¬ÈýÖÖÀàÐ͵Ķ໷Ìþ(2-ÝÁ¼×ËᣬÜÌͪºÍÈýÑDZ½»ù)µÄŨ¶ÈÔö¼Ó£¬ÕâÊÇÒòΪ»·»¯·´Ó¦ÔڽϸßζÈϸüÓÐÀûµØÐγÉÁ˱½»·¡£

¡¡¡¡Í¼1£ºÔÚÓкÍûÓлîÐÔÌ¿ÔØîÙ´ß»¯¼ÁµÄÌõ¼þÏ£¬¾Û¶Ô±½¶þ¼×ËáÒÒ¶þ´¼õ¥(PET)µÄÈȽâµÃµ½µÄÁª±½ÑÜÉúÎïŨ¶ÈµÄÀàÐÍ¡£(a)2-ÝÁ¼×Ëᣬ(b)ÜÌͪ£¬(c)ÈýÑDZ½»ù£¬(d)Áª±½»ù-4-ôÈËᣬ(e) -Èý±½»ùºÍ(f)ÁÚ-Èý±½»ù¡£
¡¡¡¡¾Û¶Ô±½¶þ¼×ËáÒÒ¶þõ¥µÄÈȽâ
¡¡¡¡ÓëÔÚÈȽâ¹ý³ÌÖлîÐÔÌ¿´ß»¯¼Á/PET±ÈΪ0.01µÄ·Ç´ß»¯¼ÁÏà±È£¬ÈýÖÖÀàÐ͵ÄÁª±½ÑÜÉúÎïÁª±½-4-ôÈËᣬ¶ÔÊå±½»ùºÍÁª±½Ö®¼äµÄŨ¶ÈûÓÐÓÐÒâÒåµÄ²îÒì¡£ÕâÒâζ×ÅÉÙÁ¿µÄ»îÐÔÌ¿´ß»¯¼Á²»»áÓ°Ïì¶à»·ÌþÒÔ¼°PETÈȽâ¹ý³ÌÖÐÉú³ÉµÄÁª±½ÑÜÉúÎïµÄÊýÁ¿¡£µ«ÊÇ£¬µ±ÎÒÃÇÑо¿·Ç´ß»¯¼ÁÓë»îÐÔÌ¿´ß»¯¼Á/PET±ÈÂÊ0.05Ö®¼äµÄ²îÒìʱ£¬ÓëÔÚ800°Cʱ²»½øÐд߻¯ÈȽâÏà±È£¬Éú³ÉµÄÁª±½-4-ôÈËáŨ¶È½µµÍÁË79%¡£´ËÍ⣬СԼ59%µÄÈýÁª±½£¬ÖÆ×÷ºÍpÓ벻ʹÓô߻¯¼ÁµÄPETÔÚ700°CʱµÄÈȽâÏà±È£¬ÓëÈËÌ彡¿µÓйصÄ-Êå±½»ù¼õÉÙÁËÔ¼30%¡£ÕâЩ½á¹ûÇå³þµØ±íÃ÷£¬ÒÔ0.05µÄ»îÐÔÌ¿´ß»¯¼Á/PET±È½øÐеÄÈȽâÔÚ¸ßÎÂÏÂÔì³É»·½á¹¹ÐγÉÖжϡ£
¡¡¡¡ÔÚ»îÐÔÌ¿ÔØîÙ´ß»¯µÄPETÈȽâ¹ý³ÌÖУ¬¿ª»··´Ó¦¿ÉÄÜͨ¹ýC–C¼ü¶ÏÁÑÔÚµ¥¹ÙÄÜîÙλµã·¢Éú¡£¸ù¾ÝÏÈǰµÄÑо¿£¬»îÐÔÌ¿ÔØîÙ´ß»¯¼Á¿ÉÒÔͨ¹ýÈýÖÖ»úÖÆ½«¿ª»··´Ó¦½øÐпª»·£¬ÔڸûúÖÆÖУ¬îÙÔ×ÓÓëÓлú»¯ºÏÎï½áºÏ²¢µ¹Öá£È¡¾öÓÚ·´Ó¦Ìõ¼þºÍµ×ÎîÙ½ðÊô»áÔÚ»·½á¹¹Öб£Áô»ò·´×ª¡£ÕâÖÖÏÖÏó»áµ¼Ö»·½á¹¹µÄÖØÅÅ£¬²¢Ê¹ÓëîÙ½áºÏµÄ»îÐÔÌ¿·¢ÉúÃ÷ÏԵķ´×ª¡£ÌþÀàÈÈÁѽâ¹ý³ÌÖÐÒ²»á·¢Éú×ÔÓÉ»ù·´Ó¦¡£¸ß·Ö×Ó(ÀýÈç¶à»·ÌþºÍÁª±½ÑÜÉúÎï)ͨ¹ýÈÜѪÁѽⷴӦ(ͨ¹ýÈÈÄÜ)Áѽ⣬²úÉú×ÔÓÉ»ùºÍÑôÀë×Ó¡£²úÉúµÄ×ÔÓÉ»ùÓëÆäËûÎȶ¨·Ö×Ó·´Ó¦£¬Éú³ÉеÄ×ÔÓÉ»ùºÍ¸ü¶àµÄ×ÔÓÉ»ù¡£×îºó£¬´óÁ¿µÄ×ÔÓÉ»ùÏ໥·´Ó¦ÐγÉÎȶ¨µÄ·Ö×Ó¡£îÙ½ðÊô´ß»¯¼Á¼ÓËÙÁËÈÈ×ÔÓÉ»ù»úÀí¡£Áª±½-4-ôÈËá¾×ÔÓÉ»ùÈÈÁѽâÉú³É±½²¢Óë±½¼×ËáÉú³É±½£¬Í¨¹ýÇâÔ×Ó×ªÒÆ²úÉú±½¼×ËáÁѽâµÄCC¼ü¡£ÕâÖÖ»úÀíÓë»·½á¹¹¹«Ê½Ïà·´¡£¶à»·»¯ºÏÎﻹ¿ÉÒÔÉú²úµÍ̼Ç⻯ºÏÎï¡£ÀýÈ磬ÈýÑDZ½»ùת»¯Îª¾ßÓÐ×ÔÓÉ»ùµÄ±½ºÍ¾ßÓÐ×ÔÓÉ»ùµÄÁª±½£¬Æäͨ¹ýÈÈÁÑ½â½øÒ»²½ÁѽâÐγɺ¬±½µÄ×ÔÓÉ»ù¡£ÔÚÖÆ±¸¸üÊݵĽṹ֮ǰ£¬Í¨¹ýÇ⻯´Óº¬±½µÄ×ÔÓÉ»ù»ñµÃ»·¼ºÍé¡£ËùµÃµÄ»·¼ºÍ龿ª»··´Ó¦²¢Ç⻯£¬µÃµ½¼ºÍé¡£Òò´Ë£¬Í¨¹ýÁѽâºÍÖØ×é²úÉúÁËÇâÆøºÍµÍ̼Ç⻯ºÏÎï¡£Òò´Ë£¬ÔÚ¸ßÎÂ(ÀýÈ磬>600°C)Ï£¬»ùÓÚ»îÐÔÌ¿ÔØîÙ´ß»¯ÈȽâ±È·Ç´ß»¯ÈȽâ²úÉú¸üÉٵĽ¹Ì¿ºÍ¸ü¶àµÄCH¼ü¡£ÕýÈç¿´µ½µÄͼ2ÖУ¬ÎÒÃÇ¿ÉÒÔ·¢ÏÖ£¬°·ÀàÎïÖÊÒ²Óë¶à»·ÌþºÍÁª±½ÑÜÉúÎïÀàËÆµØ½µµÍ¡£PETÓÉ̼£¬ÇâºÍÑõ×é³É¡£µªÔ×Ó¿ÉÄÜÊÇÔÚ¶èÐÔN 2Æø·ÕÖÐûÓÐÑõÆø»òË®µÄÇé¿öÏÂÈȽâ²úÉúµÄ¡£

¡¡¡¡Í¼2£ºÔÚÓкÍûÓлîÐÔÌ¿ÔØîÙ´ß»¯¼ÁµÄÌõ¼þÏ£¬¾Û¶Ô±½¶þ¼×ËáÒÒ¶þõ¥ÈȽâ¹ý³ÌÖÐ×ܰ·ÑÜÉúÎïµÄŨ¶ÈËæÎ¶ȵı仯¡£
¡¡¡¡ÈȽâ²úÎï·ÖÎö
¡¡¡¡¶à»·»¯ºÏÎï¿ÉÒÔͨ¹ý¿Éͨ¹ýPET·Ö½â²úÉúµÄÁ½ÖÖÖ÷ÒªÖмäÌå²úÉú£º¶Ô±½¶þ¼×ËáºÍº¬±½¼×ËáµÄ×ÔÓÉ»ù¡£¶Ô±½¶þ¼×Ëáͨ¹ýÈÈÁѽâת»¯Îª´øÓÐ×ÔÓÉ»ùµÄ¶þÑõ»¯Ì¼£¬ÒÒÏ©ºÍ±½¡£ÌرðÊÇ£¬¸½Á¬µ½±½»·µÄ»ùÍÅÊÇÑ¡×ÔµÄC-C¼üµÄ¾ùÁÑÉú³É¡£ÕâЩ×ÔÓÉ»ùÖ®Ò»Óë±½·´Ó¦Éú³É´øÓÐ×ÔÓÉ»ùµÄÁª±½£¬Ê£ÓàµÄ×ÔÓÉ»ùÓëÆäËû±½·´Ó¦Éú³ÉÁ½ÖÖÀàÐ͵ÄÈýÁª±½(¶ÔÈýÁª±½»ùºÍÁÚÈýÁª±½»ù)¡£ÔÚÕâÀÔ-Êå±½»ù¿ÉÒÔͨ¹ýÍÑÇâ½øÒ»²½×ª»¯ÎªÈý±½»ù¡£º¬ÓÐ×ÔÓÉ»ùµÄ±½¼×Ëá¾ßÓÐÁ½¸öת»¯Í¾¾¶¡£µ±±½¼×Ëáͨ¹ýÇ⻯·´Ó¦Óë±½·´Ó¦Ê±£¬»áÉú³ÉÁª±½-2-ôÈËᡣͨ¹ýÒì¹¹»¯£¬Áª±½-2-ôÈËá¿ÉÒÔ±ä³ÉÁª±½-4-ôÈËá¡£´ËÍ⣬Áª±½-2-ôÈËá¿ÉÒÔͨ¹ýÈÈÓÕµ¼ËõºÏת»¯ÎªÜÌͪ¡£Áíһ;¾¶ÊÇ´Ó¾ßÓÐ×ÔÓÉ»ùµÄ±½¼×ËáÉú³É2-ÝÁ¼×·ÓËᡣΪÁËÉú²ú2-ÝÁ¼×Ëᣬ´Ó¶Ô±½¶þ¼×Ëá»ñµÃµÄÒÒÏ©ºÍÒÒȲÓë¾ßÓÐ×ÔÓÉ»ùµÄ±½·´Ó¦¡£±½¼×ËáÖеÄ×ÔÓÉ»ùÓë̼Ô×ӵķ´Ó¦ÒÒϩͨ¹ýÍÑÇâÉú³ÉµÄ2 H 3²úÉú4-ÒÒÏ©»ù±½¼×Ëá¡£¿ÉÒÔͨ¹ý¼õÈ¥ÇâÔ×Ó»ñµÃÆäËû×ÔÓÉ»ù¡£²úÎï4-ÒÒÏ©»ù±½¼×Ëá¾ßÓÐÒ»¸ö×ÔÓÉ»ù²¢ÓëÒÒȲͬ²½Éú³É´øÓÐ×ÔÓÉ»ùµÄ3,4-¶þÒÒÏ©»ù±½¼×Ëá¡£
¡¡¡¡Í¼3±È½ÏÁËÔÚ800°CÏÂÓлîÐÔÌ¿´ß»¯¼Á/PETÖ®±ÈΪ0.05)´ß»¯¼ÁºÍûÓÐÈκδ߻¯¼ÁµÄÇé¿öÏÂPETÈȽâµÄÖÊÁ¿Æ½ºâ¡£ÔÚ³ý400°CÒÔÍâµÄËùÓÐζÈÏ£¬Ëü¶¼ÏÔʾ³öÀàËÆµÄÇ÷ÊÆ£¬¿É²úÉú¸ü¶àµÄ¹ÌÌåºÍÆøÌ壬²¢¼õÉÙÒºÌåµÄ²úÉú¡£ÌرðÊÇ£¬×î´óЧ¹û³öÏÖÔÚ800°C¡£ÕâÊÇÒòΪ¸ßÎÂÈȽâ´Ù½ø×ÔÓÉ»ù»úÀíºÍÈÈÁѽ⣬²¢ÇÒPd´ß»¯¼Á¿ÉÒÔ°ïÖú¼ÓËÙ´ß»¯¼Á²¿Î»µÄ¿ª»··´Ó¦¡£½á¹û±íÃ÷£¬Ê¹ÓûîÐÔÌ¿´ß»¯¼Á/PET±ÈÂÊΪ0.05´ß»¯¼Á¶ÔPET½øÐÐÈȽâ¿É¼ÓËÙÈȽâÓÍÏòÈÈ½âÆøÌå(ÈçCO£¬CH 4ºÍH 2)µÄת±ä¡£ÕâÊÇÒòΪ»îÐÔÌ¿ÔØîÙ´ß»¯¼Áʹ̼·Ö²¼´ÓÈȽâÓÍ×ªÒÆµ½ÈÈ½âÆøÌå¡£ÕâЩ»úÖÆ¿ÉÒÔ°ïÖú¸ÄÉÆÎüÈȹý³Ì(ÀýÈçÈȽâ)£¬ÒòΪÈÈ½âÆøÌåÊÇ¿ÉȼµÄ¡£½á¹û£¬Ê¹ÓÃÊÊÁ¿µÄ»îÐÔÌ¿ÔØîÙ´ß»¯¼Á½«Ìá¸ß·ÏËÜÁÏ´¦Àí¹ý³ÌÖеÄÈÈЧÂÊ¡£

¡¡¡¡Í¼3£º±È½ÏÔÚ800°CÏÂÓлîÐÔÌ¿ÔØîÙ´ß»¯¼ÁºÍûÓд߻¯¼ÁµÄÇé¿öÏÂPETÈȽâµÄÖÊÁ¿Æ½ºâ¡£
¡¡¡¡ÕâÏîÑо¿¶Ôº¬»ò²»º¬îٵĻîÐÔÌ¿´ß»¯¼ÁµÄʵ¼ÊPET·ÏÁÏ(¼´Ò»´ÎÐÔ±×ÓºÍÒûÁÏÆ¿)½øÐÐÁËÈȽ⡣ÈȽâ¹ý³ÌÖÐÐγɵÄÓк¦ÎïÖÊ(Èç¶à»·ÌþºÍ±½ÑÜÉúÎï)µÄÐγɽøÐÐÒÖÖÆ¡£Òò´Ë£¬Ôڸ÷´Ó¦ÖÐʹÓÃÁË»îÐÔÌ¿ÔØîÙ´ß»¯¼Á¡£½«»îÐÔÌ¿ÔØîÙ´ß»¯¼Á/PETÖ®±ÈÉ趨Ϊ0.01ºÍ0.05(ÖØÁ¿»ù×¼)£¬ÒÔ¸ù¾ÝîÙµÄÁ¿È·¶¨¶ÔÓк¦ÎïÖÊÐγɵÄÓ°Ïì¡£½á¹û±íÃ÷£¬»îÐÔÌ¿ÔØîÙ´ß»¯¼Á/ PET±ÈÂÊΪ0.01´ß»¯µÄPETÈȽâÔÚ¶à»·ÌþºÍ±½ÑÜÉúÎïµÄÊýÁ¿ÉÏûÓÐÏÔ×ŲîÒ졣Ȼ¶ø£¬»îÐÔÌ¿ÔØîÙ´ß»¯¼Á/PET±ÈÂÊΪ0.05´ß»¯µÄPETÈȽâ±íÃ÷ÁËÕâЩ֮¼äµÄÏÔ×ŲîÒì¡£ÕâÒâζ×ÅÊÊÁ¿µÄ»îÐÔÌ¿ÔØîÙ´ß»¯¼ÁÒÖÖÆÁËÈȽâ¹ý³ÌÖж໷ÌþºÍ±½ÑÜÉúÎïµÄÐγɡ£¸ÃÏÖÏóÊÇͨ¹ý×ÔÓÉ»ù»úÀíºÍ¿ª»··´Ó¦À´½øÐеġ£ÁíÍ⣬»îÐÔÌ¿¸ºÔØîÙ´ß»¯¼ÁÔ½¶à£¬²úÉúµÄ°·ÖÖÀà¾ÍÔ½ÉÙ¡£ËùÓÐÕâЩ½á¹û¾ùÔÚ¸ßÓÚ400°CµÄζÈÏÂÏÔʾ¡£½áÂÛÊÇ£¬ÕâÏîÑо¿¿ÉÒÔÓÃÓÚPETºÍÆäËûËÜÁÏÓë½ðÊô´ß»¯¼Á(ÀýÈçPd´ß»¯¼Á)µÄÈȽ⣬ÒÔ»·±£µÄ·½Ê½¸ÄÉÆËÜÁÏ·ÏÎïµÄ´¦Öá£
ÎÄÕ±êÇ©£ºÒ¬¿Ç»îÐÔÌ¿,¹û¿Ç»îÐÔÌ¿,úÖÊ»îÐÔÌ¿,ľÖÊ»îÐÔÌ¿,·äÎÑ»îÐÔÌ¿,¾»Ë®»îÐÔÌ¿.±¾ÎÄÁ´½Ó£ºhttp://m.fdcnvt.cn/hangye/hy871.html
ÍÆ¼ö×ÊѶ
- 2026-04-22³¬¼¶µçÈÝÌ¿ÐÂÄÜÔ´µÄºÚ½ð²ÄÁÏ
- 2026-04-15»îÐÔÌ¿¹ýÂ˲ñÓÍ
- 2026-04-01»îÐÔÌ¿ÔÚ¾»Ë®´¦ÀíÖеĺËÐÄÓÅÊÆ
- 2026-03-25»îÐÔÌ¿Îü¸½ÌáÈ¡»Æ½ðµÄ¹¤ÒµÓ¦ÓÃ
- 2026-03-11»îÐÔÌ¿ÔÚÓÍÆø»ØÊÕÖеÄ×÷ÓÃ
- 2026-03-06»îÐÔÌ¿´¦ÀíÀ¬»ø·¢µç³§·ÏÆø
- 2026-02-25»îÐÔÌ¿Îü¸½´¦ÀíÆ¡¾Æ³§·ÏË®
- 2026-02-13»îÐÔÌ¿Îü¸½´¦Àíº¬¹¯·ÏÆø
- 2026-02-04»îÐÔÌ¿ÓÃÓÚ´Ó·ÏË®ÖÐÎü¸½È¥³ý΢Á¿ïÓºÍǦ
- 2026-01-28»îÐÔÌ¿½àÑÀ·ÛרÓÃ
- 2026-01-20»îÐÔÌ¿ÔÚ·ÏÆø´¦ÀíÖеÄһЩ³£Ê¶
- 2026-01-13»îÐÔÌ¿ÔÚ¾«ÖÆÌÇÉú²úÖеÄÍÑɫЧ¹û
