µç»°£º13570151199
´«Õ棺020-39972520
ÓÊÏ䣺hanyan@hanyancarbon.com
µØÖ·£º¹ã¶«Ê¡¹ãÖÝÊз¬Ø®Çø¶«»·½Ö·¬Ø®´óµÀ±±555ºÅÌì°²×ܲ¿ÖÐÐÄ30ºÅÂ¥6²ã
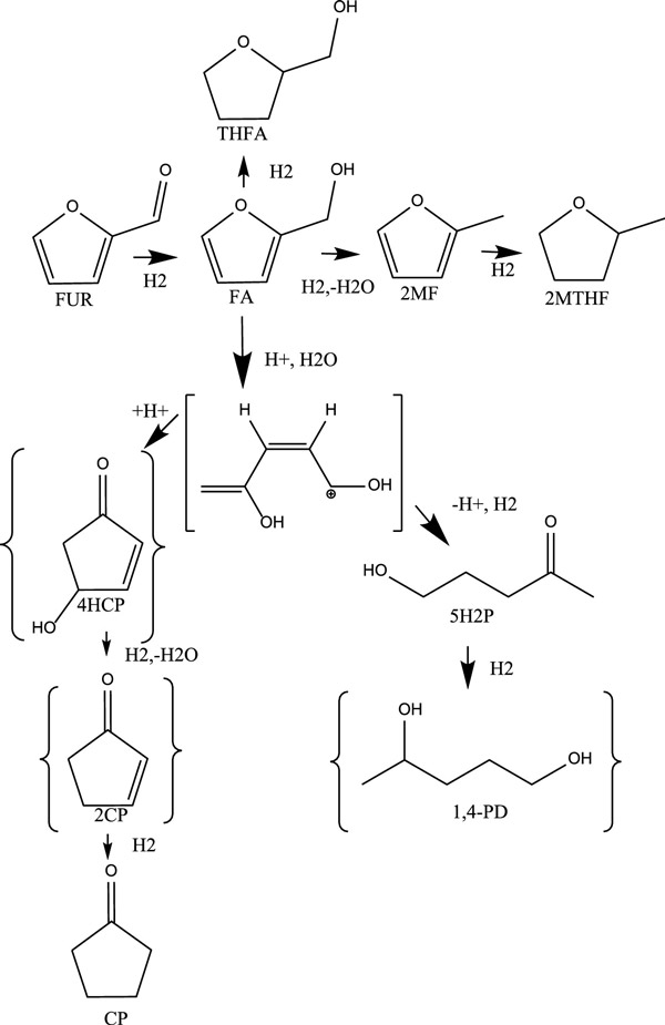
¡¡¡¡¿·È©µÄÇ⻯¿É²úÉúһϵÁÐÓмÛÖµµÄÉý¼¶²úÆ·£¬ÀýÈç¿·´¼(ß»à«Ê÷Ö¬µÄÖØÒªµ¥Ìå)£¬ËÄÇâ¿·´¼(ÓÃÓÚũҵ£¬Çå½à£¬Í¿ÁϺÍÍÑÆá¼ÁµÄÈܼÁ)£¬2-¼×»ùËÄÇâ߻ૺÍ2-¼×»ùß»à«(ÓÐÍûÌæ´úȼÁÏ)ºÍ»·Îìͪ(º½¿ÕȼÁÏ£¬Ï𽺻¯Ñ§Æ·µÄǰÌå)¡£ËùÒÔ¿·È©ÔÚÆøÏàºÍÒºÏàÖеÄÇ⻯·´Ó¦ÐèÒªÖØµãÑо¿¡£»îÐÔ̿ͨ³£ÓÃ×÷´ß»¯¼ÓÇâµÄÔØÌ壬ÒòΪËü¿ÉÒÔ´Ó¿ÉÔÙÉú̼ԴºÏ³É£¬²¢ÇÒÔÚËáÐÔ£¬¼îÐÔºÍË®ÐÔ»·¾³ÖÐÎȶ¨¡£¼äЪʽÓÙ½¬·´Ó¦Æ÷ͨ³£Ê¹Ó÷ÛÄ©»îÐÔÌ¿£¬µÎÁ÷´²·´Ó¦Æ÷ͨ³£Ê¹ÓÿÅÁ£»îÐÔÌ¿£¬µ«ÕâЩÐÎʽÄÑÒÔÓÃÓÚÁ¬Ðø¼Ó¹¤¡£ÒòΪÏà¶ÔÓÚÅú´¦Àí¹¤ÒÕ£¬Ëü¿ÉÒÔ½µµÍ³É±¾¡£·ÛÄ©»îÐÔÌ¿ÈÝÒ×ËðºÄ£¬ÄÑÒÔÁ¬Ðø»ØÊÕºÍÔÙÀûÓᣵÎÁ÷´²ÏµÍ³ÖеĸßÁ÷ËٻᵼÖ½ϴóµÄѹ½µ£¬²¢ÇÒH 2Èç¹ûʹÓôó¿ÅÁ£³ß´çÀ´×î´ó³Ì¶ÈµØ¼õСѹ½µ£¬ÔòÄÚ²¿ºÍÍⲿµÄ´«ÖÊ¿ÉÄÜ»áÊܵ½ÏÞÖÆ¡£ÐγÉÎªÔØÌåµÄÕûÁÏÖеĻîÐÔÌ¿¿ÉÒÔ¿Ë·þÔÚÁ¬Ðø¼Ó¹¤ÖÐʹÓ÷ÛÄ©ºÍ¿ÅÁ£ÐÎʽµÄÎÊÌâ¡£
¡¡¡¡±¾´ÎÑо¿Ó봫ͳµÄÁ£×´ºÍ·Ûĩ״µÄ»îÐÔÌ¿Ïà±È£¬×ÅÖØÓÚʹÓýðÊô¸ºÔصĻîÐÔÌ¿ÕûÌå´ß»¯¼Á¶Ô¿·È©½øÐÐÁ¬ÐøË®Ïà¼ÓÇâ¡£Ô´×ÔľÖÊÉúÎïÖʵĻîÐÔÌ¿ÕûÁÏ´ß»¯¼Á½þ×ÕÓйó½ðÊô£¬²¢ÓÃÓÚ¿·È©¼ÓÇâ·´Ó¦¡£Ê¹ÓûîÐÔÌ¿´ß»¯¼ÁµÄÓÅÊÆÔÚÓÚÆäµÍѹ½µ£¬¸ß´«ÖÊËÙÂÊ£¬¸ß±íÃæ»ý/Ìå»ý±ÈºÍÒ×ÓÚ·Å´óµÄÓŵãÊÇ£¬ÕûÁÏÊÇÓÉ¿ÉÔÙÉúÌ¼Ô´ÖÆ³ÉµÄ£¬²¢ÇÒËüÃÇÊÇÔÚË®/Ëá/¼î·´Ó¦½éÖÊÖи߶ÈÎȶ¨¡£Ê¹ÓûîÐÔÌ¿ÕûÌå´ß»¯¼ÁÔÚË®ÐÔºÍËáÐÔ»·¾³ÖнøÐÐÁ¬Ðø¿·È©¼ÓÇ⣬ÒÔ¼°µÍ½ðÊô¸ºÔØÁ¿ÒÔʵÏÖ¸ßת»¯ÂʺÍʱ¿Õ²úÂÊ£¬ÇÒ½þ³öÊÜÏÞ¡£¾¡¹Ü»îÐÔÌ¿ÕûÁϾßÓÐ×÷Ϊ´ß»¯¼ÁÔØÌåµÄ¶ÀÌØÓŵ㣬µ«ÊǹØÓÚʹÓÃÕâЩ½á¹¹»¯´ß»¯¼ÁµÄÐÅÏ¢ºÜÉÙ£¬Í»³öÁËËüÃǵÄÓŵ㡣
¡¡¡¡»îÐÔÌ¿µÄ´ß»¯·´Ó¦
¡¡¡¡¿·È©Ç⻯·´Ó¦ÔÚÁ¬Ðø·´Ó¦Æ÷ϵͳÖнøÐС£ÒºÌåºÍÆøÌåÏòÏÂÁ÷¾²»Ðâ¸Ö¹Ü(ÄÚ¾¶Îª1)£¬²¢Í¬Ê±Á÷¾TÐͽÓÍ·¡£ÆøÌåÁ÷ËÙÓÉÖÇÄÜÖÊÁ¿Á÷Á¿¿ØÖÆÆ÷¿ØÖÆ¡£Ê¹±Ã½«ÒºÌåÔÁϱÃÈë·´Ó¦Æ÷¡£½«ÒºÌå²úÎïÊÕ¼¯ÔÚ²»Ðâ¸ÖÈÝÆ÷ÖУ¬¸Ã²»Ðâ¸ÖÈÝÆ÷µÄÀäÈ´Ì×Á¬½ÓÖÁ7°CµÄË®Áܼ䡣·´Ó¦Æ÷ζÈÓÉÍßÌØÂ¯ºÍ¹¦ÂÊ¿ØÖÆÆ÷¿ØÖÆ¡£Ê¹Óñ³Ñ¹µ÷½ÚÆ÷¿ØÖÆ·´Ó¦¶ÑѹÁ¦¡£½«»îÐÔÌ¿ÕûÌåʽ´ß»¯¼ÁµÄºË(4¸öºË)°ü¹üÔÚÌØ·úÁú´øÖУ¬²¢×°Èë·´Ó¦Æ÷µÄÖÐÐÄ¡£ÕâËĸö»îÐÔ̿оµÄ°ü×°¸ß¶ÈΪ4Ó¢´ç(10ÀåÃ×)£¬×ÜÖØÁ¿Îª15 g¡£ÎªÁËÈ·¶¨Á¬Ðø·´Ó¦Æ÷ϵͳÖп·È©¼ÓÇâµÄºÏÊÊÌõ¼þ£¬ÔÚ120ÖÁ180°CµÄζȣ¬300 psi(0.1–2.1 MPa)µÄ´óÆøÑ¹ºÍ0.5–16 mL/minµÄÒºÌåÁ÷ËÙϽøÐÐÁËһϵÁÐʵÑé½øÐС£½øÐз´Ó¦ÒÔÈ·¶¨²»Í¬·´Ó¦²ÎÊý¶Ô»îÐÔÌ¿²úÆ··Ö²¼µÄÓ°ÏìµÄ˳ÐòÈçÏ£º(1)²âÊԱ仯µÄÒºÌåÁ÷ËÙ£¬(2)²âÊԱ仯µÄѹÁ¦£¬(3)²âÊԱ仯µÄζȣ¬ºÍ(4)ÒÒËáµÄ×÷ÓÃ(ͼ1)¡£

¡¡¡¡Í¼1£ºÊ¹ÓûîÐÔÌ¿´ß»¯¼Á½øÐп·È©¼ÓÇâµÄÉú²úʱ¼ä·ÖÎö£¬¼ýÍ·±íʾ½«ÒÒËáÌí¼Óµ½½øÁÏÖеÄʵÑé¡£
¡¡¡¡Î¶ȺÍѹÁ¦Ó°Ïì
¡¡¡¡ÓÉÓÚʹÓûîÐÔÌ¿ÕûÁϽøÐп·È©Á¬ÐøÇ⻯ÒԺϳɿ·´¼£¬ËÄÇâ¿·´¼ºÍ»·ÎìͪµÄ¹¤×÷ºÜÉÙ£¬ÎÒÃÇÏ£ÍûÈ·¶¨Î¶ȺÍѹÁ¦¶ÔÑ¡ÔñÐÔºÍʱ¿Õ²úÂÊ»òת»¯ÂʵÄÓ°Ïì¡£Òò´Ë£¬ÔÚÒ»×éʵÑéÖУ¬²ÉÓûîÐÔÌ¿´ß»¯¼ÁÀ´È·¶¨Î¶ȶԿ·È©Ç⻯µÄÓ°Ïì¡£ÔÚËùÓÐζÈÏ£¬»îÐÔÌ¿ÕûÁϵĿ·È©×ª»¯Âʾù¸ßÓÚ90%¡£»îÐÔÌ¿ÕûÁϵĸß̼·â±ÕÂÊÊÇÔÚ180°Cʱ´ïµ½µÄ(Ô¼90%)¡£Éý¸ßζȻήµÍ¿·´¼µÄÑ¡ÔñÐÔ£¬²¢Ìá¸ß³ýËÄÇâ¿·´¼ÒÔÍâµÄËùÓвúÆ·µÄÑ¡ÔñÐÔ(ͼ2)¡£

¡¡¡¡Í¼2£º·´Ó¦Î¶ȶԲúÎïÑ¡ÔñÐÔµÄÓ°Ïì¡£
¡¡¡¡ÒºÊ±¿ÕËÙЧӦ
¡¡¡¡ÔÚÏÂÒ»×éʵÑéÖУ¬È·¶¨ÁËÒºÌåÍ£Áôʱ¼ä¶Ô¿·È©¼ÓÇⳬ¹ý0.8%»îÐÔÌ¿´ß»¯¼ÁµÄÓ°Ïì(H 2ÆøÁ÷±£³Öºã¶¨ÔÚ100 mL/min)¡£¿·È©×ª»¯ÂÊËæ×ÅҺʱ¿ÕËÙµÄÔö¼Ó»òÍ£Áôʱ¼äµÄËõ¶Ì¶øÏ½µ£¬Ì¼·â±ÕÂÊÔÚ74%ÖÁ100%Ö®¼ä¡£Î¶ȣ¬Ñ¹Á¦ºÍÒºÌåÍ£Áôʱ¼äЧӦÑо¿µÄ½á¹û±íÃ÷£¬»îÐÔÌ¿´ß»¯¼ÁÖ÷Ҫͨ¹ý¿·È©´Ù½øÁË¿·È©Öп·´¼ºÍ2-¼×»ù߻૵ÄÐγɣ¬²¢Í¨¹ýÍÆ²âÐÔ·´Ó¦Í¾¾¶´Ù½øÁË»·ÎìͪºÍ5-ôÇ»ù-2-ÎìͪµÄÉÙÁ¿Ðγɣ¬ÐèÒª¶Ôͪ½øÐÐËá´ß»¯)ÐγÉ(ͼ3)¡£

¡¡¡¡Í¼3£ºÔÚ»îÐÔÌ¿´ß»¯¼ÁÉÏʹÓÃîÙ½øÐп·È©¼ÓÇâ¡£
¡¡¡¡»îÐÔÌ¿îÙ¸ºÔصÄЧӦ
¡¡¡¡ÔÚ¾ßÓжàÖÖ²úÎïµÄ·´Ó¦ºÍ¸±·´Ó¦ÖУ¬»îÐÔ½ðÊô¿ÅÁ£µÄ´óС»áÓ°Ïì²úÎïµÄÑ¡ÔñÐÔ¡£¹ýȥʹÓÃîÙ´ß»¯¼Á½øÐп·È©¼ÓÇâµÄÑо¿±íÃ÷£¬²úÎï·Ö²¼¿Éͨ¹ýÁ£¾¶¿ØÖÆ£¬²úÎïÑ¡ÔñÐԵIJîÒì¿É¹éÒòÓÚ½ðÊô·ÖÉ¢¡£¿¼Âǵ½îÙÁ£¾¶¿ÉÄÜÓ°Ïì²úÎïÑ¡ÔñÐԵĿÉÄÜÐÔ£¬ÖƱ¸ÁËһϵÁоßÓнϸßîÙº¬Á¿£¬½ÏµÍ·ÖÉ¢¶ÈºÍ½Ï´óÁ£¾¶µÄ´ß»¯¼Á¡£×î³õ£¬ÈËÃÇ¿¼ÂÇͨ¹ýÔö¼ÓH 2»¹ÔζÈÀ´¸Ä±äîÙµÄÁ£¾¶£¬²¢ÆÚÍû·ÖÉ¢ÐԵĽµµÍºÍÁ£¾¶µÄÔö¼Ó¡£µ«ÊÇ£¬Ëæ×ÅH 2µÄÔö¼Ó£¬Ò»ÏµÁеÄCOÂö³åµÎ¶¨»¹ÔζȶԻîÐÔÌ¿ÉÏ0.8 wt%îÙµÄÓ°ÏìºÜС£¬³ýÁËÔÚ¸ßÓÚ350°CµÄζÈÏ¡£Òò´Ë£¬¾ö¶¨ÔÚ250°CÏÂÔö¼ÓîٵĸºÔØÁ¿²¢¼õÉÙH 2¡£ÕâЩ´ß»¯¼ÁÊÇͨ¹ý½«»ù´¡»îÐÔÌ¿ÔØÌåѹË鲢ͨ¹ýʪ·¨½þ×Õ¸ºÔØîÙÖÆ±¸µÄ¡£»îÐÔÌ¿Ôö¼ÓîٵĸºÔØÁ¿È·Êµ»á¼õÉÙ±íÃæ»ý£¬¿×Ìå»ýºÍ½ðÊô·ÖÉ¢¶È¡£µ«ÊÇ·´Ó¦ËÙÂÊËæîÙÔØÁ¿µÄÔö¼Ó¶øÔö¼Ó¡£
¡¡¡¡»îÐÔÌ¿ÉϵÄîÙ¶Ô¿·´¼£¬ËÄÇâ¿·´¼ºÍ2-¼×»ù߻૱íÏÖ³ö½Ï¸ßµÄÑ¡ÔñÐÔ£¬µ¼ÖÂÕâЩ²úÆ·µÄʱ¿Õ²úÂʸߣ¬Í¬Ê±½ðÊô½þ³öºÍ»îÐÔËðʧµÄ°Ù·ÖÂʵͣ¬ÕâʹµÃ¸Ã´ß»¯¼ÁÓÐÏ£ÍûÌæ´úÆÕͨµÄ»îÐÔÌ¿´ß»¯¼Á¡£»îÐÔÌ¿ÕûÁÏûÓбíÏÖ³ö¶ÔÇâµÄÍⲿ´«ÖÊ×èÁ¦£¬Õâµ¼ÖÂÆä½ÏµÍµÄ½¹»¯Ë®Æ½¡£·´Ó¦½éÖÊÖÐÒÒËáµÄ´æÔÚ²»»áÓ°ÏìʹÓÃîÙÔØ»îÐÔÌ¿´ß»¯¼ÁµÄ¿·È©×ª»¯ÂÊ£¬Õâ±íÃ÷îÙÔØ»îÐÔÌ¿¿ÉÓÃÓÚ´¦Àí´Ö¿·È©¡£
ÎÄÕ±êÇ©£ºÒ¬¿Ç»îÐÔÌ¿,¹û¿Ç»îÐÔÌ¿,úÖÊ»îÐÔÌ¿,ľÖÊ»îÐÔÌ¿,·äÎÑ»îÐÔÌ¿,¾»Ë®»îÐÔÌ¿.±¾ÎÄÁ´½Ó£ºhttp://m.fdcnvt.cn/hangye/hy856.html
ÍÆ¼ö×ÊѶ
- 2026-02-25»îÐÔÌ¿Îü¸½´¦ÀíÆ¡¾Æ³§·ÏË®
- 2026-02-13»îÐÔÌ¿Îü¸½´¦Àíº¬¹¯·ÏÆø
- 2026-02-04»îÐÔÌ¿ÓÃÓÚ´Ó·ÏË®ÖÐÎü¸½È¥³ý΢Á¿ïÓºÍǦ
- 2026-01-28»îÐÔÌ¿½àÑÀ·ÛרÓÃ
- 2026-01-20»îÐÔÌ¿ÔÚ·ÏÆø´¦ÀíÖеÄһЩ³£Ê¶
- 2026-01-13»îÐÔÌ¿ÔÚ¾«ÖÆÌÇÉú²úÖеÄÍÑɫЧ¹û
- 2026-01-07»îÐÔÌ¿¶Ôßäßò»ùÀë×ÓÒºÌåµÄÎü¸½ÐÔÄÜ
- 2025-12-24»îÐÔÌ¿¸ÄÐÔÔöÇ¿¶ÔÒÒõ£°±»ù·ÓµÄÎü¸½
- 2025-12-15»îÐÔÌ¿Îü¸½Âí¶µÁåËá
- 2025-11-27³¬Ï¸»îÐÔÌ¿5000Ä¿·ÛÄ©»îÐÔÌ¿
- 2025-11-26»îÐÔÌ¿ÔÚÁò»¯Ï𽺳ÄÌ×ÖеÄÓ¦ÓÃ
- 2025-11-19»îÐÔÌ¿Îü¸½Öؾ§Ê¯»ìºÏÎïÖеÄͺÍп
