µç»°£º13570151199
´«Õ棺020-39972520
ÓÊÏ䣺hanyan@hanyancarbon.com
µØÖ·£º¹ã¶«Ê¡¹ãÖÝÊз¬Ø®Çø¶«»·½Ö·¬Ø®´óµÀ±±555ºÅÌì°²×ܲ¿ÖÐÐÄ30ºÅÂ¥6²ã
¡¡¡¡ÔÚͨ¹ý»·±£³ÌÐò»ñµÃµÄÌìÈ»À´Ô´µÄʳƷÌí¼Ó¼Á£¬¶ø²»ÊǺϳɲúÆ·¡£ÕâÊǵ±Ç°µÄʳƷÏû·ÑÇ÷ÊÆ£¬ÊÇ´ó¶àÊýÏû·ÑÕß¶ÔʳƷ¼Ó¹¤Òµ·¢Õ¹·½ÏòµÄ¸Ä±ä¡£ÎªÁËÂú×ãÏû·ÑÕßµÄÐèÇó£¬ÔÚʳƷÐÐÒµ£¬Ö²ÎïÓÉÓÚÆä·ÀÓùºÍÊÊÓ¦»úÖÆ¶ø´ÓÆä¶þ´Î´úлÑÜÉú¶øÀ´£¬±»¹ã·ºÓÃ×÷ÉúÎï»îÐÔ»¯ºÏÎïµÄÖ÷ÒªÀ´Ô´¡£´ÓÕâ¸öÒâÒåÉϽ²£¬¶à·ÓÓÉÓÚÔÚÖ²Îï½çÎÞ´¦²»ÔÚ²¢ÇÒ¾ßÓийٺÍÂÌÉ«µÄÌØÐÔ¶øÔÚ´ËÀàÁìÓòÒýÆðÁËºÜ¶à¹Ø×¢¡£ÌرðÊÇ£¬ÓÉÓÚËüÃǶÔÑõ»¯Ó¦¼¤µÄÇ¿¿¹Ñõ»¯»îÐÔ¡£Îü¸½µ½»îÐÔÌ¿ÊǶà·ÓµÄ´Ó¸´ºÏÎïµÄË®ÈÜÒºÖÐÍêÕûµÄ·ÖÀ뾼õķ½·¨¡£»îÐÔ̿ͨ³£´Ó²»Í¬µÄµÍ³É±¾ÌìÈ»À´Ô´£¬°üÀ¨Å©Òµ²ÐÓàÎÁÖÒµºÍ¹¤Òµ·ÏÎï½øÐУ¬²¢ÇÒËüͨ³£ÔÚÎü¸½¹ý³ÌÓÃÓÚ»·¾³Ó¦Óùý¶à£¬ÀýÈç·ÏË®´¦Àí¡£
¡¡¡¡×÷ΪÎü¸½¼Á£¬»îÐÔÌ¿¾ßÓÐͨ¹ýÎïÀíÁ¦½«´ó·Ö×ÓÈÜÒº¸½×ÅÔÚÆä±íÃæÉ϶øÊ¹ËüÃDZ£³Ö»¯Ñ§ÍêÕûÐÔµÄÄÜÁ¦£¬´Ó´óÌå»ýÈÜÒºÖÐÌáÈ¡»¯ºÏÎï¡£¸ÃÎü¸½¹ý³Ìͨ³£ÔÚijÖ̶ֳÈÉÏÊÇ¿ÉÄæµÄ£¬ÕâÒâζ×ű»Îü¸½µÄ»¯ºÏÎï¿ÉÒÔ×îÖÕ±»»ØÊÕ£¬²¢ÇÒ»îÐÔÌ¿ÊÇ¿ÉÒÔÔÙÉú£¬´Ó¶øÌá¸ßÆäÓÐЧµÄ¿ÉÖØ¸´Ê¹ÓÃÐÔ¡£ÆäÖУ¬¶à·Ó±»Îü¸½ÔÚ»îÐÔÌ¿µÄ±íÃæ£¬²¢¼øÓÚÆäÔÚʳƷºÍÒµÖеÄÖØÒªÐÔ£¬¶ÔÆäÎü¸½¹ý³Ì½øÐÐÁ˶à´ÎµÄÑо¿¡£µ«ÊÇ£¬ÓÐÏÞµÄÑо¿¼¯ÖÐÔÚʹÓûîÐÔÌ¿´Ó¸´ÔÓÖ²ÎïÌáÈ¡ÎïÖÐÎü¸½¶à·ÓµÄÑо¿ÉÏ£¬ÉõÖÁÔÚÎü¸½ºóµÄ»ØÊÕÉϸüÉÙ¡£ÔÚÕâÀÎÒÃÇÌá³ö½«Ö²ÎïÌåÍâÅàÑøÓë»îÐÔÌ¿½áºÏʹÓõķ½·¨£¬ÒÔ¸ù¾Ýµ±Ç°µÄ¹¤ÒµÐèÇóºÍÈÕÒæÔö³¤µÄ³É±¾ÌṩһÖֵͳɱ¾£¬¸ßЧºÍ¿É³ÖÐøµÄ·½·¨£¬ÒÔ¿Ë·þ´«Í³µÄ¶à·ÓÌáÈ¡ÓëÓлúÈܼÁµÄ¾ÖÏÞÐÔÉç»á¶Ô»·¾³±£»¤µÄÈÏʶ¡£
¡¡¡¡Ã»Ê³×ÓËáºÍûʳ×ÓËá±ûõ¥µÄÎü¸½¶¯Á¦Ñ§£ºÎ¶ÈЧӦ
¡¡¡¡Í¼1ÏÔʾÁ˵äÐ͵͝Á¦Ñ§Í¼£¬ËµÃ÷ÁËûʳ×ÓËáºÍûʳ×ÓËá±ûõ¥ÔÚÆ½ºâ(q)ʱÿÖÊÁ¿»îÐÔÌ¿Îü¸½µÄ¿¹Ñõ»¯¼ÁµÄÁ¿ËæÊ±¼äµÄ±ä»¯¡£»¹ÏÔʾÁËÔÚ²»Í¬Î¶ÈÏÂÖÁÉÙÈý¸ö°ëË¥ÆÚ(Ïà¹ØÏµÊý>0.99)µÄÏàÓ¦Ò»½×ͼ¡£ÔÚËùÓÐÇé¿öÏ£¬Îü¸½ÇúÏß¾ùÏÔʾÔÚ4hºó´ïµ½Æ½ºâ£¬²¢ÖÁÉÙά³Ö24h£¬ÕâÊǺóÐøÑо¿µÄʱ¼ä¡£

¡¡¡¡Í¼1£º»îÐÔÌ¿µÄÎü¸½¶¯Á¦Ñ§Í¼¡£
¡¡¡¡»îÐÔÌ¿¶Ôûʳ×ÓËáºÍûʳ×ÓËá±ûõ¥µÄÎü¸½µÈÎÂÏß
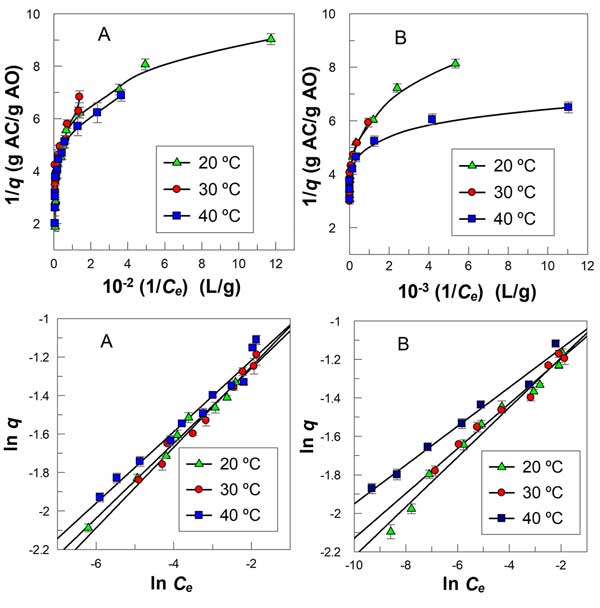
¡¡¡¡ÔÚ²»Í¬µÄ»îÐÔÌ¿Á¿Ï£¬ÆÀ¹ÀÁËζÈ(T=20–40°C)¶Ôûʳ×ÓËáºÍûʳ×ÓËá±ûõ¥Îü¸½¹ý³ÌµÄÓ°Ï졣ʵÑéÎü¸½Æ½ºâÊý¾ÝÄâºÏµ½Á½¸öµÈÎÂÏßÄ£ÐÍ£¬LangmuirºÍFreundlich·½³Ì£¬²¢ÆÀ¹ÀÁËÄâºÏÓŶȡ£Í¼2¡£ÔÚÑо¿µÄ½»Á÷·¶Î§ÄÚ»ñµÃÁË·ÇÏßÐÔͼ¡£Òò´Ë£¬½á¹û±íÃ÷¸ÃÄ£ÐͲ»ÊÊÓÃÓÚÃèÊöûʳ×ÓËáºÍûʳ×ÓËá±ûõ¥ÔÚ»îÐÔÌ¿ÉϵÄÎü¸½¡£×¢Ò⣬ÔÚÈκθø¶¨µÄ»îÐÔÌ¿ÖÊÁ¿Ï£¬Î¶ȵı仯¶¼»áµ¼ÖÂûʳ×ÓËáºÍûʳ×ÓËá±ûõ¥µÄÎü¸½ÄÜÁ¦·¢Éú·Ç³£Ð¡µÄ±ä»¯£¬²îÒìСÓÚ2%¡£

¡¡¡¡Í¼2£º(A)ûʳ×ÓËáºÍ(B)ʳ×ÓËá±ûõ¥ÔÚ²»Í¬Î¶ÈϵÄLangmuirÎü¸½µÈÎÂÏß¡£
¡¡¡¡Ì¦ÞºÖ²ÎïË®ÌáÈ¡ÎïÖеĶà·ÓÎü¸½
¡¡¡¡ÒòΪÎÒÃÇÒѾ±íÃ÷ζȵı仯½ö¶Ôûʳ×ÓËáºÍûʳ×ÓËá±ûõ¥µÄÎü¸½¹ý³ÌÓнÏСµÄÓ°Ï죬ËùÒÔÎÒÃǽöÑо¿ÁË̦޺ֲÎïË®ÌáÈ¡ÎïÔÚµ¥¸öT(T=20±1°C)ÉϵÄÎü¸½£¬´Ó¶ø×î´ó³Ì¶ÈµØ¼õÉÙÁËÆäÑõ»¯¡£¿¹Ñõ»¯¼Á£¬Æä¿ÉÔÚ¸ßÎÂÏÂÊÇÃ÷ÏԵġ£Ì¦ÞºÖ²Îïµ¥¸ö»¯ºÏÎïµÄ¼ø¶¨ºÍ¶¨Á¿Î´½øÐÐË®ÌáÈ¡ÎïµÄÌáÈ¡ÊÇÒòΪÕâÏîÑо¿µÄÖØµãÊÇ´ÓÖ²ÎïË®ÌáÈ¡ÎïÖÐÎü¸½·ÓÀ໯ºÏÎÒò´ËÎÒÃǼƻ®ÔÚδÀ´µÄijЩӦÓÃÖÐʹÓÿ¹Ñõ»¯¼Á¶ø²»ÊÇ´¿»¯ºÏÎïµÄ»ìºÏÎÀýÈ磬ּÔÚ·ÖÎöÆäÔÚÖ²ÎïÌåÄÚµÄЧÂʵÄÑо¿¡£¾¡Á¿¼õÉÙ»ùÓÚÖ¬ÖʵŦÄÜ»¯Ê³Æ·µÄÑõ»¯¡£¸ù¾ÝÎÒÃǵÄÊÔÑé½á¹û£¬»îÐÔÌ¿¶ÔÓÚË®ÐÔÌáÈ¡ÎïµÄÎü¸½ÐÐΪÊÇÀàËÆÓÚ´¿»¯ºÏÎÒòΪËüÃǶ¼·ûºÏFreundlichÎü¸½µÈÎÂÏß¡£ÕâÑùµÄ¹Û²ì±íÃ÷£¬¿¹Ñõ»¯¼ÁÔÚË®ÈÜÒºÖеÄÈܽâ¶ÈËÆºõ¶ÔÆäÔÚ»îÐÔÌ¿ÉϵÄÎü¸½¹ý³ÌÆð×ÅÖØÒª×÷Óá£
¡¡¡¡×ܶøÑÔÖ®£¬ÔÚÕâÀï»îÐÔÌ¿µÄʹÓÃÌṩÁËÒ»ÖÖ´ÓÖ²ÎïÌáÈ¡ÎïÖÐÈ¥³ý¶à·ÓµÄ»·±£·½·¨¡£´¿¶à·ÓÔÚ»îÐÔÌ¿(ÀýÈçûʳ×ÓËáºÍûʳ×ÓËá±ûõ¥)ÉϵÄÎü¸½ÌØÐÔ¿ÉÌṩÓйظ´ÔÓÖ²ÎïÌáÈ¡ÎïÎü¸½ÐÐΪµÄ¼û½â¡£´ÓÕâ¸öÒâÒåÉϽ²£¬Ã»Ê³×ÓËáºÍûʳ×ÓËá±ûõ¥ÔÚ²»Í¬Î¶ÈϵÄÎü¸½¶¯Á¦Ñ§ÄâºÏΪÄâÒ»½×·½³Ì£¬¾ßÓÐÁ¼ºÃµÄÏà¹ØÏµÊý£¬²¢ÇÒÔÚ½Ó´¥Ê±¼ä4Сʱºó´ïµ½Æ½ºâ¡£Í¨¹ýƽºâʵÑ飬³É¹¦µØÔ¤²âÁË´¿»¯ºÏÎïºÍ̦޺ֲÎïË®ÌáÈ¡ÎïµÄʵÑéÊý¾Ý¡£ÓÉÓÚζȲ»»áÓ°Ïì»îÐÔÌ¿¶ÔËùÑо¿µÄ¿¹Ñõ»¯¼ÁµÄÎü¸½ÄÜÁ¦£¬Òò´ËÔÚ¿É¿¿µÄÌõ¼þÏÂ(T=(20±1)°C)·ÖÎöÁË̦޺ֲÎïÌáÈ¡ÎïµÄÎü¸½£¬´Ó¶øÈ·±£ÁËÆä¶Ô¶à·Ó³É·ÖµÄ»¯Ñ§Ñõ»¯µÄ±£»¤×÷Óá£
¡¡¡¡½á¹û±íÃ÷£¬À´×Ô̦޺ֲÎïË®ÌáÈ¡ÎïµÄ¶à·Ó»¯ºÏÎï¿É³É¹¦Îü¸½ÔÚ»îÐÔÌ¿ÉÏ(ÔÚ7 mg »îÐÔÌ¿ÏÂ>99%)¡£Í¨¹ý±ÜÃ⴫ͳÌáÈ¡ºÍ´¿»¯·½·¨µÄµäÐÍȱµã£¬½á¹û¿É×÷Ϊ½«À´»îÐÔÌ¿ÔÚ´ÓÖ²ÎïÌáÈ¡ÎïÖлØÊÕ¿¹Ñõ»¯¼ÁµÄÓ¦ÓÃµÄÆðµã¡£Ò»Ð©»îÐÔÌ¿ÔÚʳƷ¹¤ÒµÖÐʹÓõģ¬Òò´ËËüÃÇ¿ÉÒÔÓÃ×÷ʳƷÌí¼Ó¼Á£¬²¢¸»º¬Ö²ÎïÌáÈ¡ÎïÖеÄÌìÈ»¿¹Ñõ»¯¼Á¡£È»¶ø£¬½âÎü¹ý³Ì¿ÉÄܲ»ÊÇÒ»¸ö¼òµ¥µÄÈÎÎñ£¬²¢ÇÒÕýÔÚÑо¿Ç±ÔڵĽâÎü¹ý³Ì£¬ÒÔ¼°Ê¹ÓøºÔØÓÐÖ²ÎïÌáÈ¡ÎïÖп¹Ñõ»¯¼ÁµÄ»îÐÔÌ¿×÷Ϊ֬ÖÊÀà²úÆ·ÖеÄÌí¼Ó¼Á£¬ÒÔÀýÈç×î´ó³Ì¶ÈµØ¼õÉÙÖ¬ÖʵÄÑõ»¯¡£
ÎÄÕ±êÇ©£ºÒ¬¿Ç»îÐÔÌ¿,¹û¿Ç»îÐÔÌ¿,úÖÊ»îÐÔÌ¿,ľÖÊ»îÐÔÌ¿,·äÎÑ»îÐÔÌ¿,¾»Ë®»îÐÔÌ¿.±¾ÎÄÁ´½Ó£ºhttp://m.fdcnvt.cn/hangye/hy816.html
ÍÆ¼ö×ÊѶ
- 2026-02-25»îÐÔÌ¿Îü¸½´¦ÀíÆ¡¾Æ³§·ÏË®
- 2026-02-13»îÐÔÌ¿Îü¸½´¦Àíº¬¹¯·ÏÆø
- 2026-02-04»îÐÔÌ¿ÓÃÓÚ´Ó·ÏË®ÖÐÎü¸½È¥³ý΢Á¿ïÓºÍǦ
- 2026-01-28»îÐÔÌ¿½àÑÀ·ÛרÓÃ
- 2026-01-20»îÐÔÌ¿ÔÚ·ÏÆø´¦ÀíÖеÄһЩ³£Ê¶
- 2026-01-13»îÐÔÌ¿ÔÚ¾«ÖÆÌÇÉú²úÖеÄÍÑɫЧ¹û
- 2026-01-07»îÐÔÌ¿¶Ôßäßò»ùÀë×ÓÒºÌåµÄÎü¸½ÐÔÄÜ
- 2025-12-24»îÐÔÌ¿¸ÄÐÔÔöÇ¿¶ÔÒÒõ£°±»ù·ÓµÄÎü¸½
- 2025-12-15»îÐÔÌ¿Îü¸½Âí¶µÁåËá
- 2025-11-27³¬Ï¸»îÐÔÌ¿5000Ä¿·ÛÄ©»îÐÔÌ¿
- 2025-11-26»îÐÔÌ¿ÔÚÁò»¯Ï𽺳ÄÌ×ÖеÄÓ¦ÓÃ
- 2025-11-19»îÐÔÌ¿Îü¸½Öؾ§Ê¯»ìºÏÎïÖеÄͺÍп
