µç»°£º13570151199
´«Õ棺020-39972520
ÓÊÏ䣺hanyan@hanyancarbon.com
µØÖ·£º¹ã¶«Ê¡¹ãÖÝÊз¬Ø®Çø¶«»·½Ö·¬Ø®´óµÀ±±555ºÅÌì°²×ܲ¿ÖÐÐÄ30ºÅÂ¥6²ã
¡¡¡¡Ê¹Óü×Íé¸ÉÖØÕûÖÆÇâÓÉÓÚ¼×ÍéµÄ¶þÑõ»¯Ì¼ÖØÕûÊÇÎüÈÈ·´Ó¦£¬ÐèÒª¾Þ´óµÄÍⲿÈÈÔ´¡£ÎªÁ˽µµÍ·´Ó¦Äܺģ¬ÎÒÃÇÑо¿ÁËÔÚ»îÐÔÌ¿ÉϸºÔصÄÄøºÍÄøÑõ»¯Ã¾´ß»¯¼ÁÓÃ΢²¨¼ÓÈȵķ½·¨¸¨Öú¼×ÍéÖÆÇ⡣ΪÁËÀûÓÃ΢²¨×°ÖÃÓÅ»¯ÖØÕû·´Ó¦£¬¶Ô²Ù×÷²ÎÊýµÄÓ°Ïì½øÐÐÁ˰üÈÝÐÔÑо¿£¬°üÀ¨´ß»¯¼Á»îÐÔ½ðÊôµÄÀàÐͼ°ÆäÔÚ»îÐÔÌ¿ÔØÌåÖеÄŨ¶È£¬½øÁÏÁ÷Ëٺͷ´Ó¦Î¶ȶԷ´Ó¦µÄÓ°Ï졣ת»»ºÍÇâÆøÓëÒ»Ñõ»¯Ì¼µÄÑ¡ÔñÐÔ¡£»¹Ê¹Ó󣹿¼ÓÈȽøÐм×Íé¸ÉÖØÕû£¬²¢½«½á¹ûÓë΢²¨¼ÓÈȵĽá¹û½øÐбȽϡ£
¡¡¡¡»îÐÔÌ¿´ß»¯¼ÁµÄÖÆ±¸
¡¡¡¡Í¨¹ý³õʼʪ·¨½þ×ÕÖÆ±¸¾ßÓв»Í¬Äø½ðÊô¸ºÔØÁ¿µÄ»îÐÔÌ¿´ß»¯¼Á¡£ÓÃÕâÖÖ·½·¨ÖƱ¸ÁË5%µ½25%Äøº¬Á¿µÄ»îÐÔÌ¿¡£»¹Ê¹Óýþ×Õ¼¼ÊõÖÆ±¸º¬10%ÄøÓë10%Ñõ»¯Ã¾µÄ»îÐÔÌ¿ºÍÄøÃ¾¸ºÔØ»îÐÔÌ¿´ß»¯¼Á¡£½«´ß»¯¼ÁÔÚ90¡æÏÂÁ¬Ðø½Á°èϸÉÔȻºóÔÚ120¡æÏ¸ÉÔï24Сʱ¡£´ß»¯¼Á×îÖÕÔÚ700¡æÏÂÔÚë²ÆøÁ÷ÏÂÒÔ10¡æ/ÃëµÄÉýÎÂËÙÂÊìÑÉÕ5Сʱ¡£
¡¡¡¡Î¢²¨¼ÓÈÈʵÑé×°ÖÃ
¡¡¡¡Î¢²¨ÉèÖÃÈçͼ1Ëùʾ¡£¸ÉÖØÕû·´Ó¦Ôڹ̶¨´²Ê¯Ó¢¹ÜÖнøÐС£½«»îÐÔÌ¿ÖÃÓÚ²¨µ¼Í¨µÀÖв¢Í¨¹ý΢²¨¼ÓÈÈÖÁ·´Ó¦Î¶ȡ£Ê¯Ó¢ÃÞÓÃÓÚµ÷½Ú´ß»¯¼Á´²ÔÚ²¨µ¼Í¨µÀÖÐÐĵÄλÖá£Ê¹ÓÃÈÈ·ç»úͨ¹ý»îÐÔÌ¿Ç°ÃæµÄ¿ª´°²âÁ¿´ß»¯¼Á´²µÄζȡ£ÔÚʵÑé֮ǰУ׼ÈÈǹ¡£¸Ãϵͳ´¦ÓÚ´óÆøÑ¹Ï£¬²¢ÇÒÊ©¼ÓµÄ΢²¨¹¦Âʱ»É趨Ϊ¸Ä±ä»îÐÔÌ¿µÄζȡ£ÔÚ´ß»¯·´Ó¦Ö®Ç°£¬»îÐÔÌ¿ÔÚ600¡æÏ»¹Ô2Сʱ£¬ÇâÆøÁ÷ËÙΪ50ºÁÉý/·ÖÖÓ¡£½«»îÐÔÌ¿¼ÓÈÈÖÁ·´Ó¦Î¶Ⱥ󣬽«¼×ÍéºÍ¶þÑõ»¯Ì¼(1£º1)µÄ»ìºÏÎ×ÜÁ÷ËÙΪ500ºÁÉý/·ÖÖÓ£¬ÔÚµç¯ÖмÓÈÈ£¬×îºó¼ÓÈë´ß»¯¼Á´²¡£½øÁÏÒýÈëºóÔ¼30·ÖÖÓ£¬µ±²úÆ·µÄŨ¶È±äµÃÎȶ¨£¬¸ÃÆøÌå²úÎïÈ¡Ñù²¢ÓÃÅäÓвÐÓàÆøÌå·ÖÎöÒÇµÄÆøÏàÉ«Æ×ÒǽøÐзÖÎö¡£½«²úÎïÈ¡ÑùÖØ¸´Èý´Î£¬µÃµ½ºÏÀíµÄ׼ȷ¶È(²îÒìСÓÚ1%)¡£

¡¡¡¡Í¼1£ºÎ¢²¨ºÍ¼×Íé¸ÉÖØÕûµÄ³£¹æÉèÖõÄʾÒâͼ¡£
¡¡¡¡Î¶ȶÔת»¯ÂʺͲúÎïÑ¡ÔñÐÔµÄÓ°Ïì
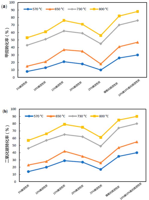
¡¡¡¡Ê¹ÓÃ΢²¨×÷Ϊ¼ÓÈȽéÖÊ£¬ÔÚ²»Í¬Î¶Èϼ×ÍéºÍ¶þÑõ»¯Ì¼ÔںϳɻîÐÔÌ¿ÉϵÄת»¯Èçͼ2Ëùʾa£¬b£¬·Ö±ð¡£¿ÉÒÔ¿´³ö£¬·´Ó¦Î¶ȵÄÉý¸ß¼ÓËÙÁËÖØÕû·´Ó¦£¬µ¼Ö·´Ó¦ÎïÔڽϸßζÈϵÄת»¯Âʽϸߡ£ÈçËùÖ¤Ã÷µÄ£¬ÔÚÔØÄø»îÐÔÌ¿´ß»¯¼ÁÖУ¬15%µÄÄø¸ºÔØÁ¿·Ö±ð±íÏÖ³ö×î¸ßµÄת»¯ÂÊ£¬ÆäÖм×ÍéºÍ¶þÑõ»¯Ì¼·Ö±ðΪ76%ºÍ79%¡£Ëæ×ÅÄøº¬Á¿µÄÔö¼Ó£¬×ª»¯ÂʳÊϽµÇ÷ÊÆ¡£¹Û²ìµ½µÄÇ÷ÊÆ¿ÉÄÜÓëÕâЩ»îÐÔÌ¿µÄÇâÎüÊÕºÍÄø·ÖÉ¢½á¹ûÓйأ¬Õâ±íÃ÷ÁËÏàͬµÄÇ÷ÊÆ¡£½á¹û±íÃ÷£¬Ëæ×ÅÄøº¬Á¿µÄÔö¼Ó¸ß´ï15%£¬¿ÉÓÃÓÚÎü¸½·´Ó¦ÆøÌåµÄλµãµÄÊýÁ¿Ôö¼Ó¡£´ËÍ⣬·¢ÏÖÏò»îÐÔÌ¿ÖмÓÈëÑõ»¯Ã¾¶Ô´ß»¯¼ÁµÄ»îÐÔÓлý¼«µÄÓ°Ïì£¬Ê¹ÔØÄøÑõ»¯Ã¾»îÐÔÌ¿´ß»¯¼ÁµÄ¼×Íéת»¯ÂÊÌá¸ßµ½84%ºÍ88%¡£ÕâЩ´ß»¯¼ÁµÄÇâÎüÊպͷÖÉ¢½á¹û±íÃ÷£¬Í¨¹ýÌí¼ÓÑõ»¯Ã¾£¬»îÐÔÌ¿ÔØÌåÉϵÄÄø·ÖÉ¢ÌåµÃµ½ÔöÇ¿£¬Òò´ËÖØÕû·´Ó¦µÄ»îÐÔλµãÊýÔö¼Ó¡£½«Õ⼸ÖÖ»îÐÔÌ¿½øÐбȽϣ¬·¢ÏÖºóÔØÄøÃ¾»îÐÔÌ¿µÄת»¯Âʸü¸ß¡£Õâ¿É¹éÒòÓÚÒÔÏÂÊÂʵ£ºÍ¨¹ý¹²½þ×ÕÑõ»¯ÄøºÍÑõ»¯Ã¾£¬²¿·ÖÑõ»¯ÄøÏཫλÓÚÑõ»¯Ã¾²ãÏ·½£¬Ê¹µÃËüÃDz»Äܱ»·´Ó¦ÆøÌå½Ó´¥¡£

¡¡¡¡Í¼2£º(a)¶þÑõ»¯Ì¼ºÍ(b)¼×Íéת»¯ÂÊ¡£
¡¡¡¡¼ÓÈÈ»úÀí¶Ô¼×ÍéÖØÕûµÄÓ°Ïì
¡¡¡¡ÎªÁËÑо¿Î¢²¨¼ÓÈȶԸÉÖØÕû·´Ó¦µÄÓ°Ï죬ʹÓ󣹿µÄ»îÐÔÌ¿´ß»¯¼Á¼ÓÈȽøÐÐʵÑé¡£½á¹ûÈçͼ3Ëùʾ¡£¶þÑõ»¯Ì¼ºÍ¼×ÍéµÄƽºâת»¯ÂʺÍÇâÆøºÍÒ»Ñõ»¯Ì¼µÄƽºâ±ÈÒ²»æÖÆÔÚͼ3ÖС£ÈÏΪÁ½¸ö·´Ó¦½øÐÐÆ½ºâ¼ÆË㣬¼´Í¨¹ý¶þÑõ»¯Ì¼ºÍ·´ÏòË®ÃºÆø±ä»»·´Ó¦½øÐм×ÍéÖØÕû¡£¾ÝÐż×ÍéµÄÖØÕû¿ªÊ¼ÓÚCH 4·Ö½â³Éº¬Ì¼³Á»ýÎï¡£ÕâЩ³Á»ýÎï(ÖÁÉÙÊǸ߷´Ó¦ÐÔ³Á»ýÎï)ÔÚÏÂÒ»²½Öб»¶þÑõ»¯Ì¼Æø»¯£¬´Ó¶øÒýÆð»îÐÔλµãµÄÔλÔÙÉú¡£·´ÏòË®ÃºÆø±ä»»·´Ó¦Ò²×÷Ϊ¸±·´Ó¦·¢Éú£¬ÆäÖÐÀ´×Ô¼×Íé·Ö½âµÄһЩÇâÓë¶þÑõ»¯Ì¼·´Ó¦Éú³ÉË®ºÍÒ»Ñõ»¯Ì¼¡£

¡¡¡¡Í¼3£ºÎ¢²¨Óë³£¹æ¼ÓÈÈºÍÆ½ºâÌõ¼þµÄ±È½Ï¡£
¡¡¡¡Ó봫ͳ¼ÓÈÈÏà±È£¬Ê¹ÓÃ΢²¨¼ÓÈÈ£¬¼×ÍéºÍ¶þÑõ»¯Ì¼µÄת»¯Âʶ¼¸ü¸ß¡£×ª»»µÄ²îÒì¿ÉÒÔͨ¹ý¼ÓÈÈ»úÖÆÖ®¼äµÄ²îÒìÀ´½âÊÍ¡£ÔÚ´«Í³µÄ¼ÓÈÈÖУ¬ÈÈͨÁ¿¸ºÔðÄÜÁ¿´«µÝ£¬¶øÎ¢²¨ÄÜÁ¿Ö±½Ó´«µÝ¸ø»îÐÔÌ¿´ß»¯¼Á£¬Ã»ÓÐÈκÎÈÈͨÁ¿¡£Õâµ¼Ö»îÐÔÌ¿ÄڽϸߵÄζÈÏà±È£¬±íÃæ¸½½üµÄÖÜΧ´óÆøµÄζȣ¬Æä¿ÉÒÔ±»×ª»»ÎªÈÈ·Ö²¼µÄ¾ùÔÈÐÔ¸ü¸ßÏà¶ÔÓÚ´«Í³µÄ¼ÓÈÈ¡£Î¢²¨¼ÓÈÈ»¹ÔÚ»îÐÔÌ¿´²ÄÚ²úÉú΢µÈÀë×ÓÌå(Ò²³ÆÎªÈȵã)£¬ÆäÖÐζȸßÓÚ±¾Ìå´ß»¯¼Á´²ÖвâÁ¿µÄƽ¾ùζȡ£ÀýÈçÈȵãÔÚ·´Ó¦ËÙÂÊÔöÇ¿£¬»á²úÉú¸ü¸ßµÄ²úÁ¿ºÍ¸ÄÉÆµÄ·Ç¾ùÏà´ß»¯·´Ó¦¡£ÖµµÃ×¢ÒâµÄÊÇ£¬ÔÚ΢²¨Ìõ¼þ϶þÑõ»¯Ì¼ºÍ¼×ÍéµÄת»¯ÂÊ×ÜÊǽϸߣ¬Óë³£¹æ¼ÓÈȼ¸ºõûÓвî±ð¡£Óë³£¹æ¼ÓÈÈÏà·´£¬Î¢²¨¼ÓÈÈ¿ÉÔÚ»îÐÔÌ¿±íÃæ²úÉú¶à¸öÈȵ㣬ÆäÖоֲ¿·´Ó¦Î¶ȸßÓÚ×Ü·´Ó¦Î¶ȡ£
¡¡¡¡±¾´ÎÑо¿ÓÃ΢²¨×÷Ϊ¼ÓÈÈÔ´£¬Ñо¿ÁËһϵÁлîÐÔÌ¿´ß»¯¼ÁµÄ¶þÑõ»¯Ì¼¼×ÍéÖØÕû·´Ó¦¡£ÔÚ¾ßÓв»Í¬Äø¸ºÔØÁ¿µÄ»îÐÔÌ¿´ß»¯¼ÁÖУ¬15%Äøº¬Á¿µÄ»îÐÔÌ¿ÏÔʾ³ö×î¸ß»îÐÔ¡£·¢ÏÖÌí¼Óþ×÷Ϊ´Ù½ø¼Áͨ¹ýÔö¼ÓÄø·ÖÉ¢À´ÔöÇ¿´ß»¯¼ÁµÄ»îÐÔ¡£ÇâºÍÒ»Ñõ»¯Ì¼²úÉú±ÈÂÊÔö¼Ó£¬±íÃ÷¼ÓÈëþºó£¬¶þ´Î·´Ó¦µÄЧ¹û²»Ì«Ã÷ÏÔ¡£·¢ÏÖÌá¸ß·´Ó¦Î¶ȿɸÄÉÆ·´Ó¦ÎïµÄת»¯ÂÊ£¬ÕâÊÇÔ¤ÆÚµÄ£¬ÒòÎªÖØÕû·´Ó¦ÊÇÎüÈȵġ£Óë³£¹æ¼ÓÈÈÏà±È£¬ÔÚÁ½¸ö¼ÓÈÈϵͳµÄÏàͬ»îÐÔÌ¿´²ÎÂÏÂÊ©¼Ó΢²¨¼ÓÈȵ¼Ö¼×Íéת»¯ÂʵÄÏÔ×ÅÔöÇ¿¡£»ùÓÚ³ö¿ÚÆøÌåζȵķ´Ó¦Æ÷ÄÜÁ¿Ð§ÂÊÔÚÁ½ÖÖ»îÐÔÌ¿´ß»¯¼ÁµÄ¼ÓÈÈ»úÖÆÖ®¼ä½øÐбȽϡ£·¢ÏÖ΢²¨¼ÓÈȾßÓÐ±ÈÆä³£¹æ¶ÔÓ¦Îï¸üµÍµÄ³ö¿ÚÆøÌåζȺ͸ü¸ßµÄЧÂÊ¡£
ÎÄÕ±êÇ©£ºÒ¬¿Ç»îÐÔÌ¿,¹û¿Ç»îÐÔÌ¿,úÖÊ»îÐÔÌ¿,ľÖÊ»îÐÔÌ¿,·äÎÑ»îÐÔÌ¿,¾»Ë®»îÐÔÌ¿.±¾ÎÄÁ´½Ó£ºhttp://m.fdcnvt.cn/hangye/hy783.html
ÍÆ¼ö×ÊѶ
- 2026-02-25»îÐÔÌ¿Îü¸½´¦ÀíÆ¡¾Æ³§·ÏË®
- 2026-02-13»îÐÔÌ¿Îü¸½´¦Àíº¬¹¯·ÏÆø
- 2026-02-04»îÐÔÌ¿ÓÃÓÚ´Ó·ÏË®ÖÐÎü¸½È¥³ý΢Á¿ïÓºÍǦ
- 2026-01-28»îÐÔÌ¿½àÑÀ·ÛרÓÃ
- 2026-01-20»îÐÔÌ¿ÔÚ·ÏÆø´¦ÀíÖеÄһЩ³£Ê¶
- 2026-01-13»îÐÔÌ¿ÔÚ¾«ÖÆÌÇÉú²úÖеÄÍÑɫЧ¹û
- 2026-01-07»îÐÔÌ¿¶Ôßäßò»ùÀë×ÓÒºÌåµÄÎü¸½ÐÔÄÜ
- 2025-12-24»îÐÔÌ¿¸ÄÐÔÔöÇ¿¶ÔÒÒõ£°±»ù·ÓµÄÎü¸½
- 2025-12-15»îÐÔÌ¿Îü¸½Âí¶µÁåËá
- 2025-11-27³¬Ï¸»îÐÔÌ¿5000Ä¿·ÛÄ©»îÐÔÌ¿
- 2025-11-26»îÐÔÌ¿ÔÚÁò»¯Ï𽺳ÄÌ×ÖеÄÓ¦ÓÃ
- 2025-11-19»îÐÔÌ¿Îü¸½Öؾ§Ê¯»ìºÏÎïÖеÄͺÍп
