µç»°£º13570151199
´«Õ棺020-39972520
ÓÊÏ䣺hanyan@hanyancarbon.com
µØÖ·£º¹ã¶«Ê¡¹ãÖÝÊз¬Ø®Çø¶«»·½Ö·¬Ø®´óµÀ±±555ºÅÌì°²×ܲ¿ÖÐÐÄ30ºÅÂ¥6²ã
¡¡¡¡Ã¿Ä꣬ÔÚ¹¤Òµ·ÏË®ÅÅ·ÅÖк¬ÓдóÁ¿Ç軯ÎïºÍÖØ½ðÊô£¬ÕâЩ·ÏË®À´×ÔºÏ½ð£¬Æû³µÖÆÔ죬²É¿ó´¦Àí£¬ºÍ½ðÊôµç¶Æ¹¤ÒµÖС£½ðÊô±íÃæ´¦ÀíºÍµç¶ÆÖÆÔì×°ÖÃÊÇÕâЩÎÛȾÎïµÄÖ÷ÒªÀ´Ô´£¬ÕâЩÎÛȾÎïÊÇˮϵͳ¼°ÆäÖÜΧ»·¾³ÎÛȾµÄÖ÷ÒªÔÒò¡£Òò´Ë£¬±ØÐë¿ØÖÆÕâЩ·ÏË®ÖÐÖØ½ðÊô(Cr£¬NiºÍZn)µÄ´æÔÚ£¬ÒòΪÕâЩÎÛȾÎTʹÔÚµÍŨ¶ÈÏÂÒ²»áÒòÆä¸ß¶¾ÐÔ¶øÒýÆð»·¾³ÎÊÌâ¡£ÎÒÃÇͨ¹ý·Ûĩ״»îÐÔÌ¿Îü¸½ºÍÓöþÒÒ»ù¶þÁò´ú°±»ù¼×ËáÄÆ¸ÄÐԵĻîÐÔÌ¿Îü¸½Í¬Ê±È¥³ýÖØ½ðÊôÈçCr£¬NiºÍZn£¬ÏÂÃæÊÇÎÒÃǵÄʵÑé½á¹û¡£
¡¡¡¡»îÐÔÌ¿¸ÄÐÔ˼·£º¾ßÓдóÊèË®»ùÍŵĶþÁò´ú°±»ù¼×Ëáõ¥·Ö×ÓÇ¿ÁÒµØÎü¸½ÖؽðÊôµ½±íÃæ²¢ÇÒ¿ÉÒԸıä½ðÊôÎü¸½¼ÁµÄÌØÐÔÒÔ»ñµÃ¸üÓÐÀûµÄÎü¸½Ìõ¼þ¡£ÔÚ¶þÁò´ú°±»ù¼×Ëáõ¥ÑÜÉúÎïÖУ¬ÔÚ»îÐÔÌ¿ÖÐʹÓöþÒÒ»ù¶þÁò´ú°±»ù¼×ËáÄÆ(ÍÊÔ¼Á)¡£»îÐÔÌ¿ÓÉÓÚÍÊÔ¼ÁµÄ¸½×Å£¬ÖؽðÊô(Cu£¬Zn)Óë»îÐÔÌ¿±íÃæÖ®¼äµÄÇ׺ÍÁ¦µÃµ½¸ÄÉÆ¡£SDDCÒ²±»ÓÃ×÷¶à±Ú̼ÄÉÃ×¹ÜÖеÄòüºÏ¼Á×÷Ϊ¹ÌÏàÝÍÈ¡µÄÎü¸½¼Á£¬È»ºóÔÚ¸ßЧҺÏàÉ«Æ×ÖвâÁ¿Ë®ÑùÖеÄNi£¬îÜ(Co)ºÍ¹¯(Hg)Àë×Ó¡£
¡¡¡¡Ê¹ÓÃÍÊÔ¼Á½øÐлîÐÔÌ¿ÐÞ¸Ä
¡¡¡¡Ê¹ÓøÉÔïµÄ»îÐÔÌ¿12¿ËÓÃ250mLµÄÔÚ5.30 mmol/LµÄÍÊÔ¼ÁÈÜÒºÖУ¬Ìõ¼þÔÚ50¡æÏÂÔÚ200rpmµÄ³ÖÐø½Á°è¡£Ôڸô¦ÀíÖ®ºó£¬½«»ìºÏÎïͨ¹ý0.45-μmĤÂËÆ÷¹ýÂËÒÔ·ÖÀëÎü¸½¼Á£¬È»ºóÓÃÕôÁóˮϴµÓ¡£È»ºó½«ÍÊÔ¼Á¸ÄÐԵĻîÐÔÌ¿ÔÚ100¡æÏºæÏä¸ÉÔï12Сʱ¡£Á½ÖÖÎü¸½¼ÁÔÚʹÓÃǰÔÚ100¡æÏ¸ÉÔï8Сʱ¡£
¡¡¡¡Îü¸½ÊµÑé
¡¡¡¡ÎªÁ˼ìÑéʱ¼äºÍ³õʼpH¶ÔÖØ½ðÊôÎü¸½µÄÓ°Ï죬½øÐÐʵÑéÊÒ¹æÄ£ºÍÅúÁ¿Îü¸½ÊµÑ顣ͨ¹ýÌí¼Ó´¢±¸ÈÜÒº£¬ÔÚÕôÁóË®ÑùÆ·Öн«Ã¿ÖÖ½ðÊô(Cr£¬NiºÍZn)µÄ³õʼŨ¶ÈÉ趨Ϊ50mg/L¡£½«pHΪ5ÖÁ11µÄº¬ÓÐ30g/LµÄ»îÐÔÌ¿ºÍ¸ÄÐÔ»îÐÔ̿עÈëÈËÔìÖØ½ðÊô·ÏË®ÑùÆ·ÖС£×¢Éäºó£¬ÔÚ·´Ó¦¹ý³ÌÖÐÒÔ50rpmµÄºã¶¨ËٶȽÁ°èÑùÆ·¡£ÔÚʵÑéµÄ×îºóÒ»²½£¬´ÓÉÕÆ¿ÖÐÊÕ¼¯ÑùÆ·²¢½øÐзÖÎö¡£
¡¡¡¡»îÐÔÌ¿ºÍ¸ÄÐÔ»îÐÔÌ¿µÄ±íÕ÷
¡¡¡¡Ê×ÏÈ£¬¼ì²éÿÖÖÎü¸½¼ÁµÄÎïÀí»¯Ñ§ÌØÐÔ¡£Í¼1ÏÔʾÁËÖÆ±¸µÄÎü¸½¼ÁµÄSEMͼÏñºÍEDSͼ°¸¡£ËäÈ»½ö»îÐÔÌ¿Îü¸½¼ÁµÄ±íÃæ½öÓÉ̼×é³É£¬¶ø¸ÄÐÔ»îÐÔÌ¿ÓÉ̼ºÍ¸÷ÖÖÎÞ»úÔªËØ×é³É(ͼ1)¡£ÔÚÓÃÍÊÔ¼ÁÐÞÊκó£¬ÍÊÔ¼Á»¯ºÏÎïÖеÄÁò´æÔÚÓÚ¸ÄÐÔ»îÐÔÌ¿±íÃæÉÏ¡£¸Ã½á¹ûÒâζ×ÅÍÊÔ¼Á³É¹¦µØÎü¸½µ½»îÐÔÌ¿±íÃæ¡£

¡¡¡¡Í¼1£º(a)»îÐÔÌ¿ºÍ(b)¸ÄÐÔ»îÐÔÌ¿µÄSEMͼÏñºÍEDSͼ°¸¡£
¡¡¡¡Îü¸½¶¯Á¦Ñ§
¡¡¡¡²âÁ¿ÁË»îÐÔÌ¿ºÍ¸ÄÐÔ»îÐÔÌ¿¾ºÕùÐÔ½ðÊôÈ¥³ý¶¯Á¦Ñ§ÖеÄʱ¼äЧӦ¡£Í¼2ÏÔʾÁËʹÓûîÐÔÌ¿ºÍ¸ÄÐÔ»îÐÔÌ¿¶Ôʱ¼ä¶ÔÖØ½ðÊôÎü¸½µÄÓ°Ïì¡£»îÐÔÌ¿ÉÏÖØ½ðÊôÎü¸½µÄ×î¼Ñʱ¼äΪ8Сʱ£¬¸ÄÐÔ»îÐÔÌ¿µÄ×î¼Ñʱ¼äÔö¼ÓÖÁÔ¼12Сʱ(ͼ2)¡£´ËÍ⣬»îÐÔÌ¿¶ÔZnµÄÎü¸½ÂÊ×î¸ß£¬Æä´ÎÊÇCr£¬È»ºóÊÇNi¡£Ïà·´£¬¸ÄÐÔ»îÐÔÌ¿¶ÔCrµÄÎü¸½ÂÊ×î¸ß£¬Æä´ÎÊÇZn£¬È»ºóÊÇNi(ͼ3)¡£ÖؽðÊôÎü¸½¾ºÕùÐòÁÐÊǿɱäµÄ£¬µ«Í³¼ÆÑ§ÉÏ×î³£¼ûµÄÐòÁÐÊÇCr£¬Æä´ÎÊÇZn£¬È»ºóÊÇNi¡£ÔÚÕâÏîÑо¿ÖУ¬»îÐÔ̿ûÓÐ×ñÑÕâÒ»¹æÔò¶ø¸ÄÐÔ»îÐÔ̿ȷʵÈç´Ë¡£ÕâÖÖÏÖÏóûÓÐÃ÷È·µÄÀíÓÉ£¬ÐèÒª½øÒ»²½Ñо¿¡£

¡¡¡¡Í¼2£ºÊ¹ÓÃ(a)»îÐÔÌ¿ºÍ(b)¸ÄÐÔ»îÐÔÌ¿¶ÔÖØ½ðÊôµÄÎü¸½È¥³ýµÄÓ°Ïì¡£
¡¡¡¡³õʼpHÖµ¶ÔÎü¸½µÄÓ°Ïì
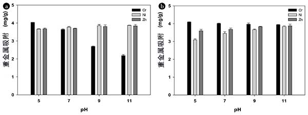
¡¡¡¡ÎªÁ˼ìÑé³õʼpH¶ÔÎü¸½µÄÓ°Ï죬ÔÚ²»Í¬µÄpHÌõ¼þϽøÐÐÎü¸½ÊµÑ顣ͼ3ÏÔʾÁ˳õʼpH¶ÔÖØ½ðÊôÎü¸½µÄÓ°Ïì¡£Ëæ×ÅpHµÄÔö¼Ó£¬µ±Ê¹ÓûîÐÔ̿ʱ£¬NiºÍZnµÄÎü¸½È¥³ýÂÊÂÔÓÐÔö¼Ó£¬¶øCrÈ¥³ýÂÊÏÔ×ÅϽµ(ͼ3(a))¡£ÔÚËáÐÔpHÌõ¼þÏÂH+Àë×ÓµÄŨ¶ÈºÍÇ¨ÒÆÂÊÔ½¸ß£¬ÓÉÓÚ½ðÊôºÍH+Àë×ÓÖ®¼äµÄ¾ºÕùÐÔÎü¸½£¬µ¼ÖÂNiºÍZnµÄÎü¸½¼õÉÙ¡£µ±pHµÍÓÚpH pzcʱ£¬»îÐÔÌ¿µÄ±íÃæ¿ÉÖ÷Òª±»H+Àë×Ó¸²¸Ç¡£ÓÉÓÚÕâ¸öÔÒò£¬»îÐÔÌ¿±íÃæÉÏÓÐÏ޵ĿÉÓýáºÏλµã£¬½ðÊôÑôÀë×Ó(NiºÍZn)µÄÎü¸½Ôڽϵ͵ÄpHֵϻήµÍ¡£È»¶ø£¬µ±pHÔö¼Óʱ£¬½ðÊôºÍH+Àë×ÓÖ®¼äµÄ¾ºÕù»á½µµÍ£¬Òò´ËNiºÍZnµÄÎü¸½»áÔö¼Ó¡£

¡¡¡¡Í¼3£º³õʼpH¶ÔCr£¬NiºÍZnµÄÎü¸½È¥³ýµÄÓ°ÏìʹÓá£
¡¡¡¡Í¨¹ý¼ì²âʱ¼ä£¬Îü¸½¼ÁÓÃÁ¿ºÍ³õʼpH¶ÔÿÖÖÎü¸½¼ÁµÄÎü¸½¶¯Á¦Ñ§µÄÓ°Ï죬Ñо¿ÁËʹÓûîÐÔÌ¿ºÍÍÊÔ¼Á¸Ä½øµÄ»îÐÔ̿ȥ³ýCr£¬NiºÍZn½ðÊô¡£Í¨¹ýSEM£¬EDSºÍÎïÀí»¯Ñ§²âÁ¿È·ÈÏ»îÐÔÌ¿µÄ¸ÄÐÔ¡£Ôö¼Óʱ¼ä¿ÉÔöÇ¿ÖØ½ðÊôµÄÎü¸½¡£Á½ÖÖÎü¸½·´Ó¦¾ù×ñѼٶþ¼¶·´Ó¦¡£Ëæ×ÅÎü¸½¼ÁÓÃÁ¿µÄÔö¼Ó£¬È¥³ýЧÂÊÌá¸ß¡£Ê¹ÓûîÐÔ̿ȥ³ýÖØ½ðÊô×ñÑCr>Ni>ZnµÄ½µÐò£¬¶ÔÓÚ¸ÄÐÔ»îÐÔÌ¿£¬È¥³ý½á¹û°´Cr>Zn>NiµÄ˳ÐòÅÅÁС£»îÐÔÌ¿ÏÔʾÔÚËáÐÔºÍÖÐÐÔpHÏÂÓÐЧȥ³ýCr£¬NiºÍZn£¬¸ÄÐÔ»îÐÔÌ¿ÔÚ¼îÐÔpHÌõ¼þÏÂÌØ±ðÓÐЧ¡£ÎÒÃǵĽá¹û±íÃ÷£¬¸ÄÐÔ»îÐÔÌ¿¿ÉÓÃÓÚÈ¥³ýÕâЩ¼îÐÔ½ðÊôµç¶Æ·ÏË®£¬ÌرðÊǺ¬Cr·ÏË®¡£
ÎÄÕ±êÇ©£ºÒ¬¿Ç»îÐÔÌ¿,¹û¿Ç»îÐÔÌ¿,úÖÊ»îÐÔÌ¿,ľÖÊ»îÐÔÌ¿,·äÎÑ»îÐÔÌ¿,¾»Ë®»îÐÔÌ¿.±¾ÎÄÁ´½Ó£ºhttp://m.fdcnvt.cn/hangye/hy705.html
ÍÆ¼ö×ÊѶ
- 2026-02-25»îÐÔÌ¿Îü¸½´¦ÀíÆ¡¾Æ³§·ÏË®
- 2026-02-13»îÐÔÌ¿Îü¸½´¦Àíº¬¹¯·ÏÆø
- 2026-02-04»îÐÔÌ¿ÓÃÓÚ´Ó·ÏË®ÖÐÎü¸½È¥³ý΢Á¿ïÓºÍǦ
- 2026-01-28»îÐÔÌ¿½àÑÀ·ÛרÓÃ
- 2026-01-20»îÐÔÌ¿ÔÚ·ÏÆø´¦ÀíÖеÄһЩ³£Ê¶
- 2026-01-13»îÐÔÌ¿ÔÚ¾«ÖÆÌÇÉú²úÖеÄÍÑɫЧ¹û
- 2026-01-07»îÐÔÌ¿¶Ôßäßò»ùÀë×ÓÒºÌåµÄÎü¸½ÐÔÄÜ
- 2025-12-24»îÐÔÌ¿¸ÄÐÔÔöÇ¿¶ÔÒÒõ£°±»ù·ÓµÄÎü¸½
- 2025-12-15»îÐÔÌ¿Îü¸½Âí¶µÁåËá
- 2025-11-27³¬Ï¸»îÐÔÌ¿5000Ä¿·ÛÄ©»îÐÔÌ¿
- 2025-11-26»îÐÔÌ¿ÔÚÁò»¯Ï𽺳ÄÌ×ÖеÄÓ¦ÓÃ
- 2025-11-19»îÐÔÌ¿Îü¸½Öؾ§Ê¯»ìºÏÎïÖеÄͺÍп
