µç»°£º13570151199
´«Õ棺020-39972520
ÓÊÏ䣺hanyan@hanyancarbon.com
µØÖ·£º¹ã¶«Ê¡¹ãÖÝÊз¬Ø®Çø¶«»·½Ö·¬Ø®´óµÀ±±555ºÅÌì°²×ܲ¿ÖÐÐÄ30ºÅÂ¥6²ã
¡¡¡¡ÓÍÆø»ØÊÕÊÇÏÂÓλ¯Ñ§¹¤Òµ£¬Ê¯ÓͺÍÌìÈ»Æø¹¤ÒµÒÔ¼°»·¾³±£»¤µÄ¹Ø¼ü¹ý³Ì¡£Îª´ËÄ¿µÄ£¬¸ß¶ÈÐèÒªÓÃÓÚÕôÆø»ØÊյĸßЧÎüÊÕ²ÄÁÏ£¬²¢ÇÒËüÃǵÄÏà¹ØÎü¸½¶¯Á¦Ñ§¶ÔÆäÐÔÄܷdz£ÖØÒªÀýÈç»îÐÔÌ¿¡£ÓÉÓÚÓÍÕôÆøÓɾßÓв»Í¬ÎïÀíºÍ»¯Ñ§ÐÔÖʵĶàÖÖ×é·Ö×é³É£¬Òò´Ë¶Ô¶à×é·ÖÓÍÕôÆøµÄ»îÐÔÌ¿µÄ×ÜÎü¸½¶¯Á¦Ñ§½øÐн¨Ä£ÊǶÔÓÚ¹¤ÒµÓ¦Ó÷dz£ÓмÛÖµµÄ¡£
¡¡¡¡Ê¯ÓͺÍÌìÈ»Æø¹¤Òµ£¬»¯Ñ§¹¤ÒµºÍÐí¶àÆäËûÏà¹ØÐÐÒµÖУ¬´ÓÓÍÕôÆûÖÐÓÐЧ»ØÊÕÓÐÓóɷÖÊÇÆäÔËÐеÄÖØÒª×é³É²¿·Ö¡£ÖØÐ¼ì²âÓÍÕôÆûÓÐÁ½¸öÖ÷ÒªºÃ´¦£º1)ͨ¹ý´ÓÓÍÕôÆøÖлØÊÕÓмÛÖµµÄ³É·Ö£¬¸Ã¹«Ë¾¿ÉÒÔÔö¼Ó¶îÍâµÄÀûÈó£¬Í¬Ê±½µµÍ³É±¾£¬ÀýÈçʯÓͺÍÌìÈ»Æø¹«Ë¾ÕýÊÔͼ»ØÊÕÌìÈ»ÆøÕôÆû²¢½«Æäת»¯ÎªÓÐÓõIJúÆ·; 2)ÓÍÕôÆøº¬ÓÐһЩ»·¾³Î£Ïճɷ֣¬±ØÐëÔÚËüÃÇÌÓÒݵ½´óÆøÖ®Ç°½øÐлØÊÕ¡£ÓжàÖÖ·½·¨¿ÉÒÔ»ØÊÕÓÍÕôÆû£¬°üÀ¨Í¨¹ý³·»ØÔÚµØÏ´¢¹ÞÖвúÉú¸ºÑ¹µÄ·½·¨£¬ÒÔ¼°Í¨¹ýÎïÀíÎü¸½»úÖÆµÈ·½·¨¡£ÔÚËùÓв»Í¬µÄÓÍÆø»ØÊÕ·½·¨ÖУ¬Ê¹ÓøßЧÎüÊÕ¼ÁÔÚ½ü´óÆøÑ¹ÏÂÎïÀí²¶»ñÓÍÕôÆø×é·Ö£¬ÔÚ¹¤ÒµÉϹ㷺ӦÓá£
¡¡¡¡»îÐÔÌ¿±»¹ã·ºÈÏΪÊÇ×îÓÐЧµÄ¹¤ÒµÎüÊÕ¼ÁÖ®Ò»£¬¾ßÓм«¸ßµÄ±íÃæ»ýÓëÌå»ý±È£¬ËùÐèµÄ¶à¿×½á¹¹ÒÔ¼°ÔÚ²»Í¬Î¶ȺÍѹÁ¦ÏµÄÓÅÒìÎïÀíºÍ»¯Ñ§ÐÔÖÊ¡£»ùÓÚ»îÐÔÌ¿ÎüÊÕ¼ÁµÄÓÍÕôÆø»ØÊÕϵͳÒѱ»Ðí¶à¹«Ë¾¹ã·º¿ª·¢¡£¹Ø¼üÎÊÌâÊÇÔÚÒ»¶¨Î¶ȺÍѹÁ¦·¶Î§ÄÚÁ˽âÆä¶ÔÓÍÕôÆøµÄÎü¸½¶¯Á¦Ñ§£¬ÒÔ±ãÁË½â»ØÊÕϵͳµÄЧÂÊ¡£
¡¡¡¡ÒѾÓÐһЩÑо¿¹¤×÷ÔÚÀíÂÛÉÏÑо¿Á˸÷ÖÖÎüÊÕ²ÄÁÏÉÏµÄÆøÌåÎü¸½¶¯Á¦Ñ§¡£¿ª·¢ÁËÌî³ä´²·´Ó¦Æ÷ÖÐÑõ»¯ÄÆ´Ù½øµÄÑõ»¯ÂÁµÄCO2Îü¸½¶¯Á¦Ñ§µÄ×ÛºÏÊýѧģÐÍ¡£ËûÃǵÄÄ£Ðͳä·Ö½âÊÍÁËʵÑé½á¹û£¬½ÒʾÁËÎïÀíÌõ¼þºÍÎü¸½¶¯Á¦Ñ§Ö®¼äµÄһЩ¶¨Á¿¹ØÏµ¡£¹ØÓÚ̽Ë÷»îÐÔÌ¿ÔÚÓлúÕôÆûÉϵÄÎü¸½¶¯Á¦Ñ§£¬Ò²Óв»ÉÙʵÑ鹤×÷¡£È»¶ø£¬ºÜÉÙÓÐÑо¿¹¤×÷Ϊ¶à×é·Öϵͳ¿ª·¢»îÐÔÌ¿µÄÎü¸½¶¯Á¦Ñ§Ä£ÐÍ¡£ÓÉÓÚ´¦Àí¶à×é·Öϵͳ¶Ô¹¤ÒµµÄÐèÇóºÜ´ó£¬Òò´Ë¿ª·¢ÊýѧģÐÍÀ´Ô¤²â¶à×é·Öϵͳ»îÐÔÌ¿µÄÎü¸½¶¯Á¦Ñ§¶ÔÓÚÀí½âºÍÓÅ»¯ÏÖÓеÄÓÍÕôÆø»ØÊÕϵͳÖÁ¹ØÖØÒª¡£
¡¡¡¡ÔÚ±¾ÎÄÖУ¬ÎÒÃÇ¿ª·¢ÁËÒ»¸ö×ۺϵÄÊýѧģÐÍ£¬ÃèÊöÁËÌî³ä´²·´Ó¦Æ÷Öжà×é·ÖÓÍÕôÆûÎü¸½ÔÚ»îÐÔÌ¿ÉϵĹý³Ì¡£ÎÒÃǵÄÄ£ÐÍÔ¤²âÁ˹㷺µÄÎÞÁ¿¸Ù²ÎÊýϵÄÎü¸½¶¯Á¦Ñ§£¬½ÒʾÁ˶¯Á¦Ñ§ºÍһЩÎÞÁ¿¸Ù²ÎÊýÖ®¼äµÄ¶¨Á¿¹ØÏµ¡£ËäÈ»¿ÉÒÔͨ¹ý¿¼ÂÇÆäËû¹ý³Ì½øÒ»²½¿ª·¢¸üÈ«ÃæµÄÄ£ÐÍ£¬µ«¸ÃÄ£Ð͵Ľá¹û¿É×÷ΪÉè¼Æ»ùÓÚ»îÐÔÌ¿ÎüÊÕ¼ÁµÄ¸üÓÐЧµÄÓÍÕôÆø»ØÊÕϵͳµÄÁ¼ºÃ²Î¿¼¡£ÎÒÃÇÆÚÍû½øÐиü¶àµÄʵÑéÑо¿ÒÔÑéÖ¤ÎÒÃǵÄÄ£ÐÍ¡£
¡¡¡¡ÊýѧģÐÍ»îÐÔÌ¿ÊÇÒ»ÖÖ¸ßЧÎü¸½¼Á£¬¹ã·ºÓÃÓÚ¸÷ÖÖ¹¤Òµ¡£Ä¿Ç°ÒÑÓÐÐí¶à¹ØÓÚÑо¿»îÐÔÌ¿ÎïÀíÐÔÖʵÄÑо¿£¬Õ⽫ӰÏìÆäÎü¸½¶¯Á¦Ñ§¡£ÓÉÓÚÓÍÕôÆøÊÇÒ»ÖÖ¶à×é·ÖÌåϵ£¬ÆäÿÖÖ×é·Ö¶¼¾ßÓв»Í¬µÄÎü¸½¶¯Á¦Ñ§ÐÔÖÊ¡£¶Ô¶à×é·ÖÆøÏàÎü¸½¶¯Á¦Ñ§½øÐн¨Ä£·Ç³£ÖØÒª£¬ÒòΪÎÒÃÇ¿ÉÒÔ½«ÎÒÃǵÄÄ£ÐÍÍÆ¹ãµ½Êµ¼ÊµÄ¹¤ÒµÎÊÌâ¡£ÎÒÃÇ´ÓBET·½³ÌµÄÒ»°ãÄ£ÐÍ¿ªÊ¼£¬¸Ã·½³ÌÑо¿Æ½ºâÎü¸½Á¿ºÍÆøÌåѹÁ¦Ö®¼äµÄ¹ØÏµ¡£ÎÒÃÇʹÓõĻîÐÔÌ¿¿×϶ÂÊΪ0.6¡£
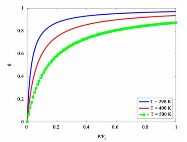
¡¡¡¡ÏÂͼ(ͼ1)ÏÔʾÁ˼ÓÔØ·ÖÊýθÓëÆøÌåѹÁ¦P/P0ÔÚ²»Í¬Î¶ÈÖ®¼äµÄ¶¨Á¿¹ØÏµ¡£BET·½³ÌÊÇÄ£Äâ»îÐÔÌ¿ÉÏÆøÌåÎü¸½¶¯Á¦Ñ§µÄºÃ·½·¨£¬µ«Ëü½öÊÊÓÃÓÃÓÚµ¥×é·ÖÆøÌåÎü¸½¡£ÔÚÏÂÃæµÄ²¿·ÖÖУ¬½éÉÜÁ˶à×é·ÖÓÍÕôÆø»ØÊÕµÄ×ÛºÏÄ£ÐÍ¡£

¡¡¡¡Í¼1£ºÔÚ²»Í¬Î¶ȵĻîÐÔÌ¿ÏÂÄ£ÄâBETÇúÏß¡£
¡¡¡¡½á¹ûÓëÌÖÂÛÎÒÃÇÒѾÌá³öÁËÒ»¸ö×ÛºÏÄ£ÐÍ£¬¸ÃÄ£ÐͶ¨Á¿µØÔ¤²âÁËÌî³ä´²·´Ó¦Æ÷ÖÐÓÍÕôÆø»ØÊÕµÄÎü¸½¶¯Á¦Ñ§¡£ÔÚ¸ÃÄ£ÐÍÖУ¬ÎÒÃǽö¿¼ÂÇÖáÏòÀ©É¢£¬²¢Ê¹ÓÃÖÊÁ¿Êغ㷽³ÌÀ´Ä£ÄâÓÍÆøÎü¸½µÄʱ¿Õ·Ö²¼¡£ÎÒÃǼÙÉè»îÐÔÌ¿Îü¸½ÔÚºãÎÂϲÙ×÷£¬²¢ÇÒÓë»îÐÔÌ¿µÄÎü¸½ÈÝÁ¿Ïà±È£¬ÓÍÕôÆøÅ¨¶È·Ç³£µÍ¡£´ËÍ⣬¼ÙÉèÓÍÕôÆøÖеÄ×é·ÖÖ®¼ä²»·¢Éú»¯Ñ§·´Ó¦£¬Òò´ËÿÖÖ×é·Ö¿ÉÒÔ×÷Ϊ¶ÀÁ¢µÄÎü¸½Îï´¦Àí¡£Òò´Ë£¬¶à×é·ÖÎü¸½ÎÊÌâ¿ÉÒÔת»¯Îªµ¥×é·ÖÎü¸½ÎÊÌâ¡£ÏÂͼ(ͼ2)˵Ã÷ÁËÎü¸½¶¯Á¦Ñ§µÄζÈÒÀÀµÐÔ¡£

¡¡¡¡Í¼2£ºÎ¶ȶԻîÐÔÌ¿Ìî³ä´²·´Ó¦Æ÷ÖÐÓÍÕôÆû´©Í¸ÇúÏßµÄÓ°Ïì¡£
¡¡¡¡´Óͼ2ÎÒÃÇ¿ÉÒÔ¿´³ö£¬½Ï¸ßµÄζȻήµÍ»îÐÔÌ¿µÄÎü¸½ÄÜÁ¦£¬ÒòΪÎü¸½¹ý³ÌÊÇ·ÅÈȵģ¬Í¬Ê±Ôö¼ÓÁËÎü¸½¶¯Á¦Ñ§£¬´Ó¶øµ¼Ö¸ü¿ìµÄ´©Í¸£¬ÕâÒâζ×ÅÎü¸½Îï(ÓÍÕôÆû)½«ÔÚ¸ü¶ÌµÄʱ¼äÄÚ´æÔÚ¡£»îÐÔÌ¿·´Ó¦Æ÷ÔڽϸßζÈÏÂÓë½ÏµÍζÈÏà±È½Ï¡£
¡¡¡¡Ä£ÄâÈýÖÖ²»Í¬¿×϶ÂʵĻîÐÔÌ¿µÄÎü¸½¶¯Á¦Ñ§(ͼ2)¡£Í¨¹ý¶à×é·Ö¼ÓȨƽ¾ù¼ÆËãC/C0(ÎÒÃÇÄ£ÄâÿÖÖ×é·ÖµÄÎü¸½¶¯Á¦Ñ§£¬¼ÆËãËüÃÇÏàÓ¦µÄ´©Í¸ÇúÏߣ¬²¢¸ù¾ÝËüÃÇÔÚÔʼÓÍÕôÆøÖеÄÌå»ý·ÖÊýµÃ³ö¼ÓȨƽ¾ùÖµ)¡£´Óͼ3ÖпÉÒÔ¿´³ö£¬½Ï¸ßµÄ¿×϶ÂÊ¿ÉÒÔÔڽϳ¤µÄ´©Í¸Ê±¼äÄÚÖØÐ²úÉú£¬ÕâÓë½Ï¸ßµÄ¿×϶Âʽ«µ¼Ö½ϸߵıíÃæ»ý²¢ÇÒ½«Ê¹·´Ó¦Æ÷ÖеÄÎü¸½ÎïµÄÍ£Áôʱ¼ä¸ü³¤µÄÊÂʵһÖ¡£

¡¡¡¡Í¼3£º²»Í¬¿×϶ÂÊ»îÐÔÌ¿µÄÓÍÕôÆûÍ»ÆÆÇúÏß¡£
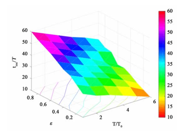
¡¡¡¡ËùÓвÎÊý¿Õ¼äÔÚ¿×϶¶ÈºÍζȷ½ÃæµÄ×ÛºÏÑо¿Èçͼ4Ëùʾ¡£ÎÒÃÇ¿ÉÒÔ¿´µ½£¬½Ï¸ßµÄ¿×϶Âʺͽϵ͵ÄζȽ«µ¼Ö·´Ó¦Æ÷ÖÐÎü¸½ÎïµÄÍ£Áôʱ¼ä¸ü³¤¡£½Ï¸ßµÄζȻᵼÖ¸ü¿ìµÄÎü¸½ËÙÂÊ£¬µ«»á½µµÍ»îÐÔÌ¿Îü¸½¼ÁµÄÎü¸½ÄÜÁ¦¡£

¡¡¡¡Í¼4£º¿×϶ÂʺÍζȶԻîÐÔÌ¿ÖÐÓÍÕôÆøÎü¸½´©Í¸Ê±¼äµÄÓ°Ïì¡£
¡¡¡¡ÔÚͼ5ÖУ¬ÎÒÃÇÏÔʾÁËÎìÍéÔÚ»îÐÔÌ¿ÉϵÄÎü¸½¸ºÔصÄʱ¿Õ·Ö²¼¡£ÎìÍéÊÇÓÍÕôÆøÖеÄÖ÷Òª³É·ÖÖ®Ò»¡£ÓÉÓÚÎÒÃǼÙÉè»îÐÔÌ¿ÔÚÎü¸½¹ý³ÌÖд¦ÓÚºãÎÂ״̬£¬ÇÒÓÍÕôÆøÅ¨¶ÈºÜµÍ£¬Òò´ËÏßÐÔÇý¶¯Á¦Ä£ÐÍ¿ÉÒԺܺõØÄ£ÄâÎü¸½ÖʵÄÎü¸½¶¯Á¦Ñ§¡£¿ÉÒÔÒÔÏàͬµÄ·½Ê½Ä£ÄâÓÍÕôÆøÖÐµÄÆäËû×é·Ö¡£

¡¡¡¡Í¼5£ºÌî³ä´²·´Ó¦Æ÷ÖÐÎìÍéÔÚ»îÐÔÌ¿Îü¸½¼ÁÉϵÄÔØºÉµÄʱ¿Õ·Ö²¼¡£
¡¡¡¡ÔÚÕâÏîÑо¿ÖУ¬Í¨¹ý¶ÔÁ÷-À©É¢Ä£ÐÍÄ£ÄâÁËÓÍÕôÆûÔÚ»îÐÔÌ¿ÉϵÄÎü¸½¶¯Á¦Ñ§¡£´ÓÄ£Äâ½á¹û¿ÉÒԵóö½áÂÛ£¬¿×϶¶ÈºÍζȶ¼¶ÔÓÍÕôÆøµÄÎü¸½¶¯Á¦Ñ§ÓÐÏÔ×ÅÓ°Ïì¡£½Ï¸ßµÄ¿×϶ÂÊ»áÔö¼Ó»îÐÔÌ¿µÄÎü¸½¶¯Á¦Ñ§£¬¶ø½Ï¸ßµÄζȻήµÍ»îÐÔÌ¿µÄÎü¸½ÄÜÁ¦£¬¾¡¹ÜËü¿ÉÒÔÔö¼ÓÎü¸½¶¯Á¦Ñ§²¢¿ÉÒÔ¼ÓËÙÎü¸½¹ý³Ì´ïµ½Æ½ºâ¡£ÓÍÕôÆøÖеIJ»Í¬×é·ÖÒ²ÏÔʾ³ö½ØÈ»²»Í¬µÄÎü¸½¶¯Á¦Ñ§ÐÔÖÊ¡£ÕâÊÇÒòΪ²»Í¬µÄ×é·Ö¾ßÓв»Í¬µÄÓÐЧ´«ÖÊËÙÂÊ£¬ÒòΪËüÃǵķÖ×ÓÁ¿ÒÔ¼°»¯Ñ§ºÍÎïÀíÐÔÖʲ»Í¬¡£±¾Ñо¿Îª½ñºóÓûîÐÔÌ¿´ó¹æÄ£»ØÊÕÓÍÆøµÄʵÑéÑо¿ÌṩÁËÖØÒªµÄÀíÂÛÒÀ¾Ý¡£
ÎÄÕ±êÇ©£ºÒ¬¿Ç»îÐÔÌ¿,¹û¿Ç»îÐÔÌ¿,úÖÊ»îÐÔÌ¿,ľÖÊ»îÐÔÌ¿,·äÎÑ»îÐÔÌ¿,¾»Ë®»îÐÔÌ¿.±¾ÎÄÁ´½Ó£ºhttp://m.fdcnvt.cn/hangye/hy697.html
ÍÆ¼ö×ÊѶ
- 2026-02-25»îÐÔÌ¿Îü¸½´¦ÀíÆ¡¾Æ³§·ÏË®
- 2026-02-13»îÐÔÌ¿Îü¸½´¦Àíº¬¹¯·ÏÆø
- 2026-02-04»îÐÔÌ¿ÓÃÓÚ´Ó·ÏË®ÖÐÎü¸½È¥³ý΢Á¿ïÓºÍǦ
- 2026-01-28»îÐÔÌ¿½àÑÀ·ÛרÓÃ
- 2026-01-20»îÐÔÌ¿ÔÚ·ÏÆø´¦ÀíÖеÄһЩ³£Ê¶
- 2026-01-13»îÐÔÌ¿ÔÚ¾«ÖÆÌÇÉú²úÖеÄÍÑɫЧ¹û
- 2026-01-07»îÐÔÌ¿¶Ôßäßò»ùÀë×ÓÒºÌåµÄÎü¸½ÐÔÄÜ
- 2025-12-24»îÐÔÌ¿¸ÄÐÔÔöÇ¿¶ÔÒÒõ£°±»ù·ÓµÄÎü¸½
- 2025-12-15»îÐÔÌ¿Îü¸½Âí¶µÁåËá
- 2025-11-27³¬Ï¸»îÐÔÌ¿5000Ä¿·ÛÄ©»îÐÔÌ¿
- 2025-11-26»îÐÔÌ¿ÔÚÁò»¯Ï𽺳ÄÌ×ÖеÄÓ¦ÓÃ
- 2025-11-19»îÐÔÌ¿Îü¸½Öؾ§Ê¯»ìºÏÎïÖеÄͺÍп
