µç»°£º13570151199
´«Õ棺020-39972520
ÓÊÏ䣺hanyan@hanyancarbon.com
µØÖ·£º¹ã¶«Ê¡¹ãÖÝÊз¬Ø®Çø¶«»·½Ö·¬Ø®´óµÀ±±555ºÅÌì°²×ܲ¿ÖÐÐÄ30ºÅÂ¥6²ã
¡¡¡¡´Ó·ÄÖ¯£¬Æ¤¸ï£¬ÔìÖ½ºÍËÜÁϹ¤ÒµÅŷŵ½»·¾³ÖеÄȾÁÏÁ÷³öÎï¸øÐí¶à»·¾³ºÍÉú»î´øÀ´ÁËÑÏÖØµÄÎÊÌâ¡£´Ó»·¾³ÖÐÈ¥³ýÓж¾È¾ÁÏÊÇÒ»ÏîÖØÒªÌôÕ½¡£ÀíÏëÇé¿öÏ£¬Çå³ý¹ý³Ì±ØÐë¼òµ¥£¬ÓÐЧÇÒ±ãÒË¡£ÒѾÌá³öÁ˼¸ÖÖ´Ó·ÏË®ÖгýȥȾÁϵķ½·¨¡£ÕâЩ·½·¨°üÀ¨ÉúÎïºÍÎïÀí»¯Ñ§¹ý³ÌÈ»¶ø£¬Îü¸½¹ý³ÌÒѱ»Ö¤Ã÷ÊÇÒ»ÖÖÓÐЧºÍ¿É¿¿µÄȾÁÏÈ¥³ý·½·¨¡£ÓÃÓÚ¿ØÖÆË®ÎÛȾµÄÎü¸½´¦ÀíµÄÖ÷ÒªÓŵãÊÇÔÚ³õʼ¿ª·¢³É±¾£¬¼òµ¥Éè¼Æ£¬ÒײÙ×÷£¬²»²úÉúÓж¾ÎïÖÊÒÔ¼°Îü¸½¼ÁºÍÎü¸½²ÄÁϵļòµ¥ºÍ°²È«»ØÊÕ·½ÃæÍ¶Èë½ÏÉÙ¡£»îÐÔÌ¿¹ã·ºÓÃ×÷·ÏË®´¦ÀíÖеÄÎü¸½¼Á£¬Äܹ»Îü¸½Á÷³öÎïÖеÄÑôÀë×ÓºÍÒõÀë×ÓÎÛȾÎï¡£±¾Æª½éÉÜÁË»îÐÔÌ¿×÷ΪÎü¸½¼Á´ÓË®ÈÜÒºÖÐÈ¥³ý¸Õ¹ûºìȾÁϵÄDZÔÚÓÃ;¡£
¡¡¡¡ÓÉũҵ·ÏÆúÎïÖеÄľÖÊËØÖÆ±¸µÄº¬Ñõ»ùÍŵĻîÐÔÌ¿ÔÚȾÁÏÀë×ÓÎü¸½ÖÐÆðµ½ÖØÒª×÷Óã¬ËùÒÔÎÒÃÇÑо¿Á˲»Í¬²ÎÊýÖлîÐÔÌ¿¶Ô¸Õ¹ûºìµÄÎü¸½Ð§¹û¡£
¡¡¡¡Á½ÖÖʵÑé²ÄÁϵÄ×¼±¸
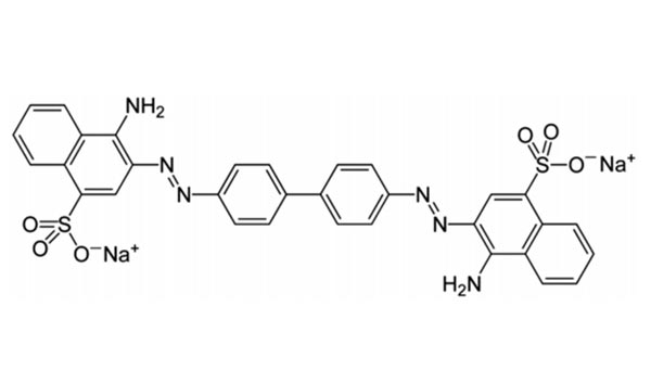
¡¡¡¡¸Õ¹ûºì(Ò»ÖÖÖØµªÈ¾ÁÏ)±»ÓÃ×÷Ä£Ä⹤ҵ·ÏË®µÄÌæ´úÖ¸±ê£¬ÒÔÆÀ¹À»îÐÔÌ¿ÔÚĿǰ¹¤×÷ÖеÄÎü¸½ÄÜÁ¦¡£CRµÄ·Ö×ӽṹÈçͼ1Ëùʾ£¬¸Õ¹ûºìº¬ÓÐ-NH2ºÍ-SO3¹ÙÄÜÍÅ¡£ÔÚÎÞ»úËá´æÔÚÏ£¬CRµÄÑÕÉ«´ÓºìÉ«±äΪÀ¶É«¡£ÑÕÉ«µÄ±ä»¯ÊÇÓÉÓÚ´øµç¹æ·¶½á¹¹Ö®¼äµÄ¹²Õñ¡£ºìÉ«ÔÚ5-10µÄpH·¶Î§ÄÚÎȶ¨¡£Í¨¹ýÓÃÕôÁóË®ÈܽâCRÖÆ±¸´¢±¸ÈÜÒº(500mg/L)¡£Í¨¹ýÓÃÕôÁóˮϡÊÍ´¢±¸ÈÜÒºÖÁËùÐèŨ¶È»ñµÃ¹¤×÷ÈÜÒº¡£

¡¡¡¡»îÐÔÌ¿µÄÖÆ±¸½«50¿ËľÖÊËØºÍ50¿ËCH3 CO2 K»ìºÏ£¬µÃµ½1£º1(ÖØÁ¿)µÄ±ÈÀý¡£¼ÓÈë×ãÒÔÈóʪ¸Ã»ìºÏÎï(200mL)µÄÕôÁóË®£¬³ä·Ö»ìºÏ£¬²¢ÔÚÊÒÎÂϾ²ÖÃ24Сʱ¡£È»ºó£¬½«ÆäÔÚ105¡æÏ¸ÉÔï24Сʱ£¬²¢ÔÚÂí¸¥Â¯ÖÐÔÚ450¡æÌ¼»¯1Сʱ¡£ÓÃÕôÁóˮϴµÓ̼»¯ÑùÆ·£¬µÃµ½6.8-7µÄpHÖµ¡£½«ÆäÔÚ100¡æÏºæÏä¸ÉÔ×îºó½«ÖƳɵĻîÐÔÌ¿°ü×°ÔÚÃܱÕÈÝÆ÷ÖÐÒÔ±¸½øÒ»²½Ê¹Óã¬Í¼2¸ù¾ÝSEMÏÔ΢ÕÕÆ¬ÏÔʾľÖÊËØºÍ»îÐÔÌ¿µÄÐÎ̬¡£

¡¡¡¡ÊµÑé·½·¨
¡¡¡¡Ê¹ÓûîÐÔÌ¿Îü¸½¼Á½øÐÐCRµÄÎü¸½Ñо¿¡£Ê¹ÓÃÒ»×éÉÕÆ¿½øÐÐÅúÁ¿ÊµÑ飬ËùÊöÉÕÆ¿º¬ÓÐÒÑÖªÁ¿µÄÎü¸½¼Á(50mg)ºÍÔ¤¶¨Ìå»ý(ÿ¸öÉÕÆ¿ÖÐ25mL)µÄȾÁÏÈÜÒº£¬¹Ì¶¨µÄ³õʼŨ¶È(50mg/L)Óú㶨µÄÈÜÒºpH¡£È»ºó½«ÉÕÆ¿ÖÃÓÚÕñµ´Æ÷ÖУ¬×ªËÙΪ220ת/·ÖÖÓ£¬Î¶ÈΪ25¡æ¡£ÒÔÌØ¶¨µÄʱ¼ä¼ä¸ô¼ì²éÑùÆ·£¬²¢ÔÚÆ½ºâϹýÂËÈÜÒºÒÔÈ·¶¨Æ½ºâŨ¶È¡£Í¨¹ý¸Ä±ä³õʼCRŨ¶È(´Ó20ÖÁ120mg/L)£¬ÔÚ25¡æÏÂpH=3²¢ÇÒÎü¸½¼ÁµÄÁ¿µÈÓÚ50mgÀ´½øÐж¯Á¦Ñ§Ñо¿¡£½Ó´¥Ê±¼äÔÚ0µ½420·ÖÖÓÖ®¼ä±ä»¯¡£ÔÚÔ¤¶¨µÄ½Ó´¥Ê±¼äºó£¬´ÓÕñµ´Æ÷ÖÐÈ¡³öÑùÆ·²¢¹ýÂË£¬²¢Ê¹Ó÷ֹâ¹â¶È¼ÆÔÚ497nmϲⶨ²ÐÁôµÄCRŨ¶È¡£
¡¡¡¡»îÐÔÌ¿µÄÎü¸½»úÖÆ
¡¡¡¡Îü¸½¼Á±íÃæÌØÕ÷ÔÚÎü¸½¹ý³ÌÖÐÆð×ÅÖØÒª×÷Ó᣻îÐÔÌ¿ÔÚÆä±íÃæÉϺ¬ÓоßÓÐËáÐÔºÍ/»ò¼îÐÔÌØÕ÷µÄ¹ÙÄÜÍÅ¡£ËäȻȾÁÏÈÜÒºµÄpHÖµ£¬Î¶ȺÍŨ¶È»áÓ°ÏìÕûÌåÎü¸½ÐÐΪºÍ»úÀí£¬µ«ÕâЩ»ùÍÅ»á¶ÔȾÁϵÄÎü¸½¹ý³Ì²úÉúÓ°Ï졣Ȼ¶ø£¬Ëæ×ÅpHµÄÔö¼Ó£¬»îÐÔÌ¿µÄ±íÃæµçºÉÃܶȻήµÍ¡£»îÐÔÌ¿±íÃæÉÏ´æÔÚµÄôÇ»ù¿ÉÒÔ»ñµÃ»òʧȥÖÊ×Ó£¬µ¼Ö±íÃæµçºÉµÄ±ä»¯Ëæ×ÅpHÖµµÄ±ä»¯¶ø²¨¶¯¡£Ë®ÈÜÒºÖÐCRµÄÑÕÉ«ÔÚpHԼΪ7ʱΪ¹ÌÌåºìÉ«£¬CRµÄÑÕÉ«ÔÚËáÐÔpHϱäΪÉîÀ¶É«£¬ÔÚ¼îÐÔpH(10-12)ʱ±äΪºìÉ«£¬µ«¸ÃºìÉ«ÓëÔʼºìÉ«ÂÔÓв»Í¬¡£ÖÐÐÔpHÖµ¡£CRÔÚ¼îÐÔpH(»ÇËáÑλùÍÅ)ÏÂÒÔÒõÀë×ÓÐÎʽ´æÔÚ£¬ÔÚËáÐÔpHÏÂÒÔÑôÀë×ÓÐÎʽ´æÔÚ¡£ÔÚËáÐÔÈÜÒºÖУ¬CRÀë½â³É¼«ÐÔ»ùÍÅ(R-SO 3-)¡£ËáÐÔ½éÖÊÓÐÀûÓÚCRÎü¸½ÔÚ»îÐÔÌ¿ÉÏ£¬ÒòΪ»îÐÔÌ¿±íÃæËÆºõÔÚÆä±íÃæ³ÊÑôÐÔ£¬ÕâÒýÆðÆä±íÃæÓëR-SO 3-Ö®¼äµÄ¾²µçÏ໥×÷Óá£Í¼3±íÃ÷ËùÌá³öµÄCRÎü¸½ÔÚ»îÐÔÌ¿ÉϵĻúÀí¡£

¡¡¡¡½âÎüºÍÔÙÀûÓÃ
¡¡¡¡½âÎüÑо¿Í¨³£ÓÃÓÚ²ûÃ÷Îü¸½»úÀíºÍ»ØÊպľ¡µÄÎü¸½¼Á¡£½øÐнâÎüʵÑéÒÔÕÒµ½ºÏÊʵÄpH½âÎüÌõ¼þ¡£Îü¸½ÂúÔØµÄ»îÐÔÌ¿Ëæ×ŽâÎü¼ÁpHµÄÔö¼Ó£¬Îü¸½×ŸչûºìµÄ»îÐÔÌ¿ÔÚµÚÒ»´Î½âÎüÑ»·ÖеÄCR½âÎüЧÂÊ¡£ÓÃÖÐÐÔÕôÁóË®½âÎüµÄ»îÐÔֻ̿»ñµÃÁ˵ͽâÎüЧÂÊ9.06%¡£µ«ÔÚ¼îÐÔpHÏ»ñµÃ½âÎüЧÂÊÌáÉý¡£µ±pH´Ó3.2±äΪ12ʱ£¬½âÎü´Ó0.66»ºÂýÔö¼Óµ½42.4%¡£ÎªÁ˱ȽϽâÎüÑо¿Öв»Í¬ÈÜÒºµÄЧÂÊ£¬½«ÈÜÖÊŨ¶ÈÉ趨Ϊ0.01M(È¥Àë×ÓË®³ýÍâ)¡£Èç¹û¸½×ŵÄȾÁÏ·Ö×Ó±»È¥Àë×ÓË®½âÎü£¬Ôò½âÎüºÜÈõ¡£·ñÔò£¬Èç¹ûËü±»¼îÐÔÈÜÒº½âÎü£¬Îü¸½Ö÷ÒªÊǾ²µçÏ໥×÷ÓúÍÎü¸½¹ý³ÌÖеÄÇâ¼ü¡£¸ù¾Ýͼ4ÇâÑõ»¯ÎïÈÜÒºÊDZȽϺõÄ(½âÎüÂÊΪ95.22%)£¬ÑÎËáÈÜÒº£¬ÂÈ»¯ÄÆÈÜÒººÍÈ¥Àë×ÓË®ÔÚ±¾Ñо¿ÖнâÎüCR·Ö×ÓЧÂʵ͡£

¡¡¡¡¸ÃÑо¿¸ø³öÁË»îÐÔÌ¿¶Ô¸Õ¹ûºìÎü¸½ºÍ½âÎüµÄ·½·¨¹ý³Ì¡£Í¨¹ýÒÒËá¼ØµÄ»¯Ñ§»î»¯ÔÚ̼±íÃæÉÏÒýÈ뺬Ñõ¹ÙÄÜÍÅ£¬²¢ÇÒ¹ÙÄÜÍÅÔÚȾÁÏÎü¸½ÖÐÆðÖØÒª×÷Óá£ÅúÁ¿ÊµÑéÑо¿±íÃ÷£¬Îü¸½¹ý³Ì×ã¹»¿ì£¬ÒòΪÔÚ½Ó´¥Ê±¼äµÄ180·ÖÖÓÄÚÎü¸½±¥ºÍ£¬²¢ÇÒÔÚËáÐÔÈÜÒºÖÐȾÁϵÄÈ¥³ýЧÂʵõ½¸ÄÉÆ£¬È¾ÁϵÄÎü¸½Ëæ×ųõʼȾÁÏŨ¶ÈµÄÔö¼Ó¶øÔö¼Ó¡£¾¹ýÕâһϵÁеÄÑо¿·¢ÏÖ»îÐÔÌ¿µÄÎü¸½Ö÷Òª¹éÒòÓÚ̼¼üºÏºÍȾÁÏÖÖÀàÓë̼±íÃæÉϵĺ¬Ñõ¹ÙÄÜÍÅÖ®¼äµÄ¾²µçÏ໥×÷Óá£
ÎÄÕ±êÇ©£ºÒ¬¿Ç»îÐÔÌ¿,¹û¿Ç»îÐÔÌ¿,úÖÊ»îÐÔÌ¿,ľÖÊ»îÐÔÌ¿,·äÎÑ»îÐÔÌ¿,¾»Ë®»îÐÔÌ¿.±¾ÎÄÁ´½Ó£ºhttp://m.fdcnvt.cn/hangye/hy686.html
ÍÆ¼ö×ÊѶ
- 2026-02-25»îÐÔÌ¿Îü¸½´¦ÀíÆ¡¾Æ³§·ÏË®
- 2026-02-13»îÐÔÌ¿Îü¸½´¦Àíº¬¹¯·ÏÆø
- 2026-02-04»îÐÔÌ¿ÓÃÓÚ´Ó·ÏË®ÖÐÎü¸½È¥³ý΢Á¿ïÓºÍǦ
- 2026-01-28»îÐÔÌ¿½àÑÀ·ÛרÓÃ
- 2026-01-20»îÐÔÌ¿ÔÚ·ÏÆø´¦ÀíÖеÄһЩ³£Ê¶
- 2026-01-13»îÐÔÌ¿ÔÚ¾«ÖÆÌÇÉú²úÖеÄÍÑɫЧ¹û
- 2026-01-07»îÐÔÌ¿¶Ôßäßò»ùÀë×ÓÒºÌåµÄÎü¸½ÐÔÄÜ
- 2025-12-24»îÐÔÌ¿¸ÄÐÔÔöÇ¿¶ÔÒÒõ£°±»ù·ÓµÄÎü¸½
- 2025-12-15»îÐÔÌ¿Îü¸½Âí¶µÁåËá
- 2025-11-27³¬Ï¸»îÐÔÌ¿5000Ä¿·ÛÄ©»îÐÔÌ¿
- 2025-11-26»îÐÔÌ¿ÔÚÁò»¯Ï𽺳ÄÌ×ÖеÄÓ¦ÓÃ
- 2025-11-19»îÐÔÌ¿Îü¸½Öؾ§Ê¯»ìºÏÎïÖеÄͺÍп
