电话:13570151199
传真:020-39972520
邮箱:hanyan@hanyancarbon.com
地址:广东省广州市番禺区东环街番禺大道北555号天安总部中心30号楼6层
活性炭载磺化钴酞菁的制备,我们为什么要制备一个这样的催化剂呢,因为活性炭载磺化钴酞菁催化剂主要用于二甲基二硫醚(DMDS)的合成。DMDS是一种重要的精细化学品,广泛用作土壤熏蒸剂,除草剂,食品添加剂等,具有广阔的市场前景。
为什么选择活性炭材料
DMDS的制备方法对于所有化学公司都是至关重要的,这通常被归类为四种制造工艺:(1)硫酸二甲酯工艺。(2)将甲醇硫化处理9。(3)甲硫醇的硫化过程。(4)甲硫醇氧化过程。与其他工艺相比,工艺四具有许多优点,如DMDS产品的高产率和纯度,不使用剧毒原料等。但传统的甲硫醇氧化工艺是气-气反应,因此具有较高的优势。由于过程中产生的废气,爆炸的风险和污染环境。此外,该方法对反应器质量,气密性和耐压性有很高的要求。在合成反应中常用的催化剂是金属酞菁及其衍生物,如磺化钴酞菁(CoPcS),四氨基酞菁钴(CoTAPc)等,然而,游离的CoPcS催化剂是水溶性的,因此,它很容易进入DMDS产物,在催化剂和产物之间产生分离问题。这导致DMDS产品的后处理成本高,并且催化剂将不能再使用。为了解决这些问题,研发人员用到了活性炭。
活性炭本身的孔隙结构发达,拥有大的比表面积和高吸收率与稳定性。然而,活性炭按平常的方法浸渍磺化酞菁钴催化剂会存在负载型催化剂的活性成分损失的问题,导致再利用性能不令人满意。因此,应通过化学接枝方法在活性炭上载入CoPcS。
活性炭载磺化钴酞菁的制备
首先准备材料SMM溶液,磺化钴酞菁,通过浸渍法制备的活性炭载磺化钴酞菁。压缩氧和活性炭。氯化亚砜,乙二胺,N,N-二甲基甲酰胺,无水乙醇和硝酸无需进一步纯化即具有分析纯度,三氯甲烷3,氦等化学原料。
合成程序由以下三个步骤讲述该方法已经申请了专利
步骤一:乙二胺合成改性活性炭,用去离子水洗涤活性炭并干燥,得到10.0g活性炭,将其加入250mL含有150mL硝酸溶液的烧杯中。将反应混合物在60℃下搅拌24小时。然后用去离子水洗涤产物以中和并在105℃的真空烘箱中干燥以获得经硝酸处理的活性炭。然后将2.0g处理后的活性炭和5mL SOCl 2加入烧瓶中。将反应混合物在80℃下加热12小时。反应后,将混合物加热至130℃以蒸发残留的SOCl 2并冷却至室温(25℃)。将产物加入100mL DMF中,溶解5mL EDA并在50℃反应8小时。冷却至室温后,分别用去离子水,DMF和无水乙醇洗涤产物数次,然后在105℃的真空烘箱中干燥,得到改性活性炭。合成过程在图1中说明。

图1.乙二胺制备改性活性炭的示意图。
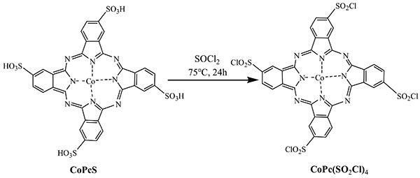
步骤二:氯化亚砜合成改性CoPcS,由于CoPcS是一种非常常见的化学产品,可以轻松购买,因此我们不会合成它,而是直接购买。将CoPcS(0.10g)与100mL DMF在烧瓶中溶解,并向烧瓶中加入5ml SOCl 2。然后将混合物在75℃下加热24小时。反应后,将产物冷却至50℃,通过真空蒸馏除去残留的未反应的SOCl 2,得到CoPc(SO 2 Cl)4溶液。合成路线在图2中说明。

图2.通过亚砜氯化物制备改性磺化钴酞菁的示意图。
步骤三:活性炭载磺化钴酞菁的合成,将2.00g预先方案一制备的活性炭加入到方案二制备的磺化钴酞菁溶液中,在45℃下反应12小时,然后在反应后冷却至室温。将产物用去离子水洗涤数次以除去未反应的组分,并在60℃的真空烘箱中干燥,得到活性炭载磺化钴酞菁的最终产物。合成路线显示在图3中。

图3.显示活性炭负载的磺化钴酞菁的制备的示意图。
采用化学接枝法成功合成了一种新型活性炭载型磺化钴酞菁催化剂,用于制备精制的DMDS。新的活性炭催化剂不会进入DMDS产品,还可以轻松分离至少重复使用四次。
文章标签:椰壳活性炭,果壳活性炭,煤质活性炭,木质活性炭,蜂窝活性炭,净水活性炭.推荐资讯
- 2026-02-25活性炭吸附处理啤酒厂废水
- 2026-02-13活性炭吸附处理含汞废气
- 2026-02-04活性炭用于从废水中吸附去除微量镉和铅
- 2026-01-28活性炭洁牙粉专用
- 2026-01-20活性炭在废气处理中的一些常识
- 2026-01-13活性炭在精制糖生产中的脱色效果
- 2026-01-07活性炭对咪唑基离子液体的吸附性能
- 2025-12-24活性炭改性增强对乙酰氨基酚的吸附
- 2025-12-15活性炭吸附马兜铃酸
- 2025-11-27超细活性炭5000目粉末活性炭
- 2025-11-26活性炭在硫化橡胶衬套中的应用
- 2025-11-19活性炭吸附重晶石混合物中的铜和锌
