µç»°£º13570151199
´«Õ棺020-39972520
ÓÊÏ䣺hanyan@hanyancarbon.com
µØÖ·£º¹ã¶«Ê¡¹ãÖÝÊз¬Ø®Çø¶«»·½Ö·¬Ø®´óµÀ±±555ºÅÌì°²×ܲ¿ÖÐÐÄ30ºÅÂ¥6²ã
¡¡¡¡¸ÆÀë×ÓºÍpH¶Ô»îÐÔÌ¿Îü¸½µÄÓ°Ï죬»îÐÔÌ¿¹ã·ºÓÃÓÚµØÏÂË®¹ýÂ˺ͷÏË®´¦Àí£¬ÒòΪËü¾ßÓи߱íÃæ»ýºÍ¶à¿×½á¹¹£¬¿ÉÒÔÎïÀíÎü¸½¸÷ÖÖÎÛȾÎï£¬ÌØ±ðÊÇÔÚÓë»Ó·¢ÐÔÓлú»¯ºÏÎï(VOC)µÄÏ໥×÷Ó÷½Ã档Ŀǰ»îÐÔÌ¿ÒÑÓÃ×÷һϵÁÐÉøÍ¸ÐÔ·´Ó¦ÐÔǽ(PRB)ÖÐÓлúÎÛȾÎïµÄÎü¸½¼Á£¬ÓÈÆäÓÃÓÚ´¦ÀíÊÜÂÈ»¯Óлú»¯ºÏÎïÎÛȾµÄµØÏÂË®¡£ÎªÁ˸üºÃµØÀûÓûîÐÔÌ¿£¬Ñо¿Á˲»Í¬Éè¼ÆµÄº¬»îÐÔÌ¿PRB½á¹¹²¢Ó¦ÓÃÓÚµØÏÂË®´¦Àí¡£PRBÀûÓõØÏÂË®Á÷±»¶¯½«ÎÛȾÎïÓëÆÁÕÏÖеĻîÐÔÌ¿½Ó´¥£¬´Ó¶ø´ïµ½Îü¸½¹ýÂËÎÛȾÎïµÄЧ¹û¡£
¡¡¡¡µØÏÂË®ÖеÄÖ÷ÒªÎÛȾÎïΪTCE£¬±¾´ÎÎÒÃÇÑо¿µÄÊÇʹÓûîÐÔÌ¿ÉøÍ¸·´Ó¦Ç½À´´¦ÀíµØÏÂË®¡£¾¹ýÎÒÃǵÄһЩÁÐÑо¿·½·¨£¬Á˽⵽µØÏÂË®ÖеÄHpÖµÓë¸ÆÀë×Ó¶Ô»îÐÔÌ¿µÄÎü¸½ÓëÔÙÉú¹ý³ÌµÄÓ°Ïì¡£¶ÔÒÔºóµÄ·ÏË®´¦ÀíÉÏÓÐÒ»¸öÊý¾ÝÉϵÄÖ§³Ö¡£
¡¡¡¡ÊµÑé·½·¨
¡¡¡¡ËùÓÐʵÑé¾ùÒÔ·ÖÅúģʽºÍÔÚ»·¾³ÊÒÎÂϵķǻº³åÈÜÒºÖнøÐС£ÑùÆ·µÄ³õʼpHÓÃH2 SO4ºÍNaOHµ÷½Ú¡£ËùÓÐʵÑé¾ùÔÚ´øÓоÛËÄ·úÒÒϩͿ¸²µÄÈû×ӺʹÅÁ¦½Á°è×°ÖõÄ2L×¶ÐÎÉÕÆ¿ÖнøÐС£ÓþßÓпɵ÷½Ú½Á°èËÙÂÊ(150rpm)µÄ´ÅÁ¦½Á°èÆ÷½Á°è·´Ó¦Òº¡£°üÀ¨¶ÔÕÕÔÚÄÚµÄʵÑéһʽÈý·Ý¡£¿¹»µÑªËáÓÃÓÚÖÕÖ¹×ÔÓÉ»ù·´Ó¦¡£.ÔÚʵÑéÖÐÑ¡ÔñÎü¸½Èý´Î£¬ÒòΪ3´ÎÎü¸½²»½öʵÏÖÁ˸ßTCEÈ¥³ýЧÂÊ£¬¶øÇÒ×ã¹»µÄTCE¿ÉÒÔÎü¸½ÔÚ»îÐÔÌ¿ÖС£
¡¡¡¡Ò»¡¢pH¶Ô»îÐÔÌ¿Îü¸½/ÔÙÉú¹ý³ÌµÄÓ°Ïì¡£
¡¡¡¡ÎªÁËÑо¿pH¶Ô»îÐÔÌ¿Îü¸½¹ý³ÌµÄÓ°Ï죬½øÐÐÁ˶¯Á¦Ñ§ÊÔÑé¡£Îü¸½ÊµÑéÔÚ2L TCEÈÜÒº(30mg L-1)ºÍ1g»îÐÔÌ¿ÖнøÐУ¬Í¬Ê±½«³õʼpHµ÷½ÚÖÁ3,7ºÍ9´Ó5mL·´Ó¦ÈÜÒºÑùÆ·ÖзÖÎöTCEŨ¶È¡£ÔÚº¬ÓÐ1mL¿¹»µÑªËá(0.1mol L-1)µÄ10mLÅð¹èËáÑÎСƿÖлìºÏ10,30,60,120,180,240,360,480,720ºÍ1440·ÖÖÓ¡£
¡¡¡¡ÔÚ»îÐÔÌ¿µÄÔÙÉú¹ý³ÌÖУ¬Ê×ÏȽøÐÐÎü¸½¹ý³Ì£¬Í¬Ê±½«ÈÜÒºpH¹Ì¶¨ÔÚ7£¬Ñ¡Ôñ·´Ó¦Ê±¼ä12Сʱ(¸ù¾Ý´ïµ½Îü¸½Æ½ºâʱµÄ¶¯Á¦Ñ§ÊÔÑé½á¹û)¡£Îü¸½¹ý³Ì½øÐÐ3´ÎÒÔ°ïÖú»îÐÔÌ¿±¥ºÍ(δÍêÈ«±¥ºÍ)£¬È»ºó½«±¥ºÍµÄ»îÐÔÌ¿Àä¶³¸ÉÔïÒÔ°ïÖúÔÙÉú¡£»ùÓÚÎü¸½µÄTCEÁ¿£¬½«ÈÜÒºµÄpH·Ö±ðµ÷½ÚÖÁ3,7ºÍ9¡£Îü¸½/ÔÙÉúÑ»·Öظ´3´Î¡£ÔÚ·´Ó¦¹ý³ÌÖзÖÎöTCE£¬HOºÍÂÈ»¯ÎïŨ¶È¡£
¡¡¡¡¶þ¡¢¸ÆÀë×Ó¶Ô»îÐÔÌ¿Îü¸½/ÔÙÉú¹ý³ÌµÄÓ°Ïì¡£
¡¡¡¡ÎªÁËÑо¿¸ÆÀë×Ó¶Ô»îÐÔÌ¿Îü¸½¹ý³ÌµÄÓ°Ï죬ÔÚpHΪ7ϽøÐж¯Á¦Ñ§²âÊÔ¡£Îü¸½ÊµÑéÔÚ2L TCEÈÜÒº(30mg L-1)ºÍ1g»îÐÔÌ¿ÖнøÐС£½«¸ÆÀë×ÓŨ¶Èµ÷½ÚÖÁ0.01,0.05ºÍ0.1mol L-1¡£È¡5mL·´Ó¦ÈÜÒºµÄµÈ·ÖÊÔÑù²¢ÔÚº¬ÓÐ1mL¿¹»µÑªËá(0.1mol L-1)µÄ10mLÅð¹èËáÑÎСƿÖкϲ¢10,30,60,120,180,240,360,480,720¡£ºÍ1440·ÖÖÓ¡£·ÖÎöTCEŨ¶È¡£
¡¡¡¡¶ÔÓÚ»îÐÔÌ¿µÄÔÙÉú¹ý³Ì£¬Ê×ÏȽøÐÐÎü¸½¹ý³Ì£¬Í¬Ê±½«ÈÜÒºpH¹Ì¶¨ÔÚ7£¬²¢Ñ¡Ôñ·´Ó¦Ê±¼ä12Сʱ¡£Îü¸½¹ý³Ì½øÐÐ3´ÎÒÔ°ïÖú»îÐÔÌ¿±¥ºÍ(δÍêÈ«±¥ºÍ)£¬È»ºó½«±¥ºÍµÄ»îÐÔÌ¿Àä¶³¸ÉÔïÒÔ°ïÖúÔÙÉú¡£¸ù¾ÝÎü¸½µÄTCEÁ¿£¬½«ÈÜÒºÖеĸÆÀë×ÓŨ¶Èµ÷½ÚÖÁ0.01,0.05ºÍ0.1 mol L-1£¬Îü¸½/ÔÙÉúÑ»·Öظ´3´Î¡£ÔÚ·´Ó¦¹ý³ÌÖзÖÎöTCE£¬HOºÍÂÈ»¯ÎïŨ¶È¡£
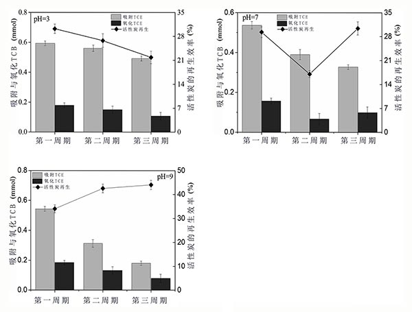
¡¡¡¡pH¶Ô»îÐÔÌ¿Îü¸½/ÔÙÉú¹ý³ÌµÄÓ°Ïì
¡¡¡¡pHµÄ±ä»¯µ¼Ö»îÐÔÌ¿±íÃæµçºÉµÄ±ä»¯²¢Ó°ÏìÎü¸½ÐÔÄÜ¡£ÈçÔÚ³ÊÏÖͼ1£¬Îü¸½/ÔÙÉúÑ»·£¬²»Í¬µÄpHÌõ¼þϽøÐÐÈý´Î¡£Í¼1µÄ×óYÖá±íʾÔÚÎü¸½/ÔÙÉúÑ»·ÆÚ¼äÎü¸½»òÑõ»¯µÄTCEÁ¿£¬Í¼1µÄÓÒYÖá±íʾÎü¸½/ÔÙÉúÑ»·ÆÚ¼äTCEµÄÔÙÉúЧÂÊ¡£ÔÚÔÙÉúÆÚ¼äTCE×îÖÕ±»Ñõ»¯³ÉÂÈ»¯Îï(1mol TCE×îÖÕ¿ÉÒÔ²úÉú3molÂÈ»¯Îï)£¬ÕâÒâζ×ÅÂÈ»¯Îï¿ÉÒÔ´ú±íTCEµÄÑõ»¯Á¿¡£²úÉúµÄÂÈ»¯Îï³ýÒÔ3ÊÇÑõ»¯µÄTCEÁ¿¡£ÔÚµÚÒ»´ÎÔÙÉúÑ»·ÆÚ¼ä£¬ÔÚ3,7ºÍ9µÄ²»Í¬pHÌõ¼þÏ£¬30.22%£¬29.29%ºÍ33.98%µÄTCE±»¿ó»¯³ÉÂÈ»¯Îï(ͼ1)¡£È»¶ø£¬ÔÚµÚ¶þ´ÎºÍµÚÈý´ÎÔÙÉúÑ»·ÆÚ¼ä£¬µ±pHΪ3ʱ£¬»îÐÔÌ¿µÄÔÙÉúЧÂʽµµÍÖÁ26.75%ºÍ21.87%¡£ÓÉÓÚpHֵΪ7ºÍ9ʱTCEÎü¸½¼õÉÙ(ͼ1)£¬µ±pHΪ9ʱ£¬»îÐÔÌ¿µÄÔÙÉúЧÂÊÌá¸ßµ½42.52%ºÍ44.01%£¬½µÖÁ17.04%£¬È»ºóÔÚpHֵΪ7ʱÌá¸ßµ½30.41%¡£

¡¡¡¡Í¼1¡¢pH¶Ô»îÐÔÌ¿Îü¸½/ÔÙÉú¹ý³ÌµÄÓ°Ïì¡£
¡¡¡¡¸ÆÀë×Ó¶Ô»îÐÔÌ¿Îü¸½/ÔÙÉú¹ý³ÌµÄÓ°Ïì
¡¡¡¡ÓÉÓÚÆäÔÚ»¯ºÏÎïÐÎʽÖеÄÈܽâ¶ÈÏà¶Ô½ÏµÍ£¬µØÏÂË®ÖеĸÆÀë×ÓÈÝÒ׳Áµí²¢ÂçºÏ¡£ÈËÃÇÆÕ±éÈÏΪpHºÍÀë×ÓÇ¿¶È²»»áÓ°Ïì²»´øµçÓлú»¯ºÏÎïÔÚ»îÐÔÌ¿ÉϵÄÎü¸½¡£È»¶ø£¬¸ÆÀë×ӵĴæÔÚÓ°ÏìÈÜÒºÉÏ»îÐÔÌ¿µÄÎü¸½ÄÜÁ¦ºÍÌúµÄÑõ»¯ÄÜÁ¦¡£CaSO 4ºÍCaCO 3ÈÝÒ×ÔÚµØÏÂË®ÖгÁµí£¬ÏÔÈ»£¬¿ÉÄÜ»áÓ°Ïì»îÐÔÌ¿µÄÎü¸½ÈÝÁ¿¡£
¡¡¡¡Èçͼ2Ëùʾ£¬½øÐÐÁËÁ½´ÎÎü¸½/ÔÙÉúÑ»·¡£ÔÚµÚÒ»´ÎÎü¸½/ÔÙÉúÑ»·ÆÚ¼ä£¬µ±¸ÆÀë×Ó´æÔÚʱ£¬TCEÈ¥³ýÃ÷ÏÔ¼õÉÙ¡£ÏÔÈ»£¬ÔÚµÚ¶þ´ÎÎü¸½/ÔÙÉúÑ»·ÆÚ¼ä£¬¼´Ê¹½øÐлîÐÔÌ¿µÄÔÙÉú£¬Ò²ÄÑÒÔÔÚ¸ÆÀë×ÓÌõ¼þϳýÈ¥TCE¡£Õâ±íÃ÷¸ÆÀë×Ó²»½öÔÚ»îÐÔÌ¿µÄÎü¸½ÄÜÁ¦£¬¶øÇÒÔÚÆäÔÙÉú¹ý³ÌÖж¼Æð×ÅÖØÒª×÷Óá£ÔÒò¿ÉÄÜÊÇÓÉÓÚ¸ÆÀë×ÓÓëÆäËûÀë×ӵĽáºÏ£¬µ¼ÖÂÆäÈÝÒ×ÔÚ»îÐÔÌ¿±íÃæÉϳÁµí²¢Ó°ÏìÆäÎü¸½ÄÜÁ¦£¬µ¼ÖµڶþÑ»·ÖÐTCEÈ¥³ýµÄ¼õÉÙ¡£

¡¡¡¡Í¼2¡¢²»Í¬¸ÆÀë×ÓŨ¶ÈϵÄTCEÈ¥³ý¡£
¡¡¡¡×ܵÄÀ´Ëµ£¬¼´Ê¹ÔÚµÍŨ¶ÈÏ£¬¸ÆÀë×ÓµÄÓ°Ïì¶Ô»îÐÔÌ¿Îü¸½ÄÜÁ¦ºÍÔÙÉú·½ÃæºÜÃ÷ÏÔ¡£¸ù¾ÝʵÑé½á¹û£¬¿ÉÒԵóö½áÂÛ£¬»îÐÔÌ¿ÉøÍ¸·´Ó¦Ç½ÊÇÒ»ÖÖÓмÛÖµµÄµØÏÂË®´¦Àí·½·¨¡£ËüÐèÒª¸Ä½ø£¬ÒòΪһЩ»·¾³ÒòËØ¶Ô»îÐÔÌ¿Îü¸½Ð§¹û²úÉúÓ°Ï죬µ«Ëü¾ßÓÐÁ¢¼´È¥³ýÓлúÎÛȾÎïµÄÓÅµã£¬ËæºóÊÇÎü¸½/ÔÙÉú¹ý³ÌµÄ¿É³ÖÐøÊ¹Óá£
ÎÄÕ±êÇ©£ºÒ¬¿Ç»îÐÔÌ¿,¹û¿Ç»îÐÔÌ¿,úÖÊ»îÐÔÌ¿,ľÖÊ»îÐÔÌ¿,·äÎÑ»îÐÔÌ¿,¾»Ë®»îÐÔÌ¿.±¾ÎÄÁ´½Ó£ºhttp://m.fdcnvt.cn/hangye/hy653.html
ÍÆ¼ö×ÊѶ
- 2026-02-25»îÐÔÌ¿Îü¸½´¦ÀíÆ¡¾Æ³§·ÏË®
- 2026-02-13»îÐÔÌ¿Îü¸½´¦Àíº¬¹¯·ÏÆø
- 2026-02-04»îÐÔÌ¿ÓÃÓÚ´Ó·ÏË®ÖÐÎü¸½È¥³ý΢Á¿ïÓºÍǦ
- 2026-01-28»îÐÔÌ¿½àÑÀ·ÛרÓÃ
- 2026-01-20»îÐÔÌ¿ÔÚ·ÏÆø´¦ÀíÖеÄһЩ³£Ê¶
- 2026-01-13»îÐÔÌ¿ÔÚ¾«ÖÆÌÇÉú²úÖеÄÍÑɫЧ¹û
- 2026-01-07»îÐÔÌ¿¶Ôßäßò»ùÀë×ÓÒºÌåµÄÎü¸½ÐÔÄÜ
- 2025-12-24»îÐÔÌ¿¸ÄÐÔÔöÇ¿¶ÔÒÒõ£°±»ù·ÓµÄÎü¸½
- 2025-12-15»îÐÔÌ¿Îü¸½Âí¶µÁåËá
- 2025-11-27³¬Ï¸»îÐÔÌ¿5000Ä¿·ÛÄ©»îÐÔÌ¿
- 2025-11-26»îÐÔÌ¿ÔÚÁò»¯Ï𽺳ÄÌ×ÖеÄÓ¦ÓÃ
- 2025-11-19»îÐÔÌ¿Îü¸½Öؾ§Ê¯»ìºÏÎïÖеÄͺÍп
