µç»°£º13570151199
´«Õ棺020-39972520
ÓÊÏ䣺hanyan@hanyancarbon.com
µØÖ·£º¹ã¶«Ê¡¹ãÖÝÊз¬Ø®Çø¶«»·½Ö·¬Ø®´óµÀ±±555ºÅÌì°²×ܲ¿ÖÐÐÄ30ºÅÂ¥6²ã
¡¡¡¡¶àäåÁª±½Ãѹ㷺´æÔÚÓÚ³Á»ýÎïÖУ¬ÓÈÆäÊÇÎåäå¶þ±½ÃÑÅä·½ÖеÄͬԴÎï¡£ÓÉÓÚËüÃǶԻîÐÔÌ¿µÄÇ¿ÁÒÇ׺ÍÁ¦£¬ÔÚ»îÐÔÌ¿ÐÞÕýµÄ³Á»ýÎïÖжàäåÁª±½ÃѵÄÉúÎïÀûÓöȿÉÄܻήµÍ¡£ÔÚÕâÏîÑо¿ÖУ¬ÎÒÃÇÊ×ÏȲâÁ¿×ÔÓÉÈܽâŨ¶È£¬²¢ÆÀ¼Û»îÐÔÌ¿£¬ÉúÎïÌ¿ºÍľ֮̿¼äµÄ²îÒì¡£»îÐÔÌ¿ÏÔʾ³ö±ÈÉúÎïÌ¿»òľ̿¸ü´óµÄ¸ôÀëÄÜÁ¦¡£ÔÚÓëµÍµÄÓлú̼(OC)µÄº¬Á¿(0.12%)£¬³ÁµíÎï1%ÐÞÕýÂÊ¡£»îÐÔÌ¿¡¢ÉúÎïÌ¿ºÍľ̿·Ö±ðʹ6ÖÖ¶àäå¶þ±½ÃѽµµÍÁË94.1-98.3%£¬47.5-78.0%ºÍ47.3-77.5%£¬¶øº¬OCÁ¿¸ßµÄ³Á»ýÎïÖÐ·â´æ¸üΪÓÐÏÞ(0.87%)¡£Òò´Ë£¬ÖØÒªµÄÊÇÒª¿¼ÂÇ»ùÓÚ»îÐÔÌ¿µÄÐÞ¸´»ò»º½âÖлîÐÔÌ¿ºÍ³Á»ýÎïµÄÀàÐͺÍÐÔÖÊ¡£
¡¡¡¡¶àäåÁª±½ÃÑ(PBDEs)ÊÇÒ»×éÊèË®ÐÔä廯×èȼ¼Á£¬¹ã·ºÓÃÓÚ¸÷ÖÖÏû·ÑÆ·£¬´ÓÆû³µÅä¼þ£¬ËÜÁÏ£¬·Ä֯Ʒ£¬¼Ò¾ßÅÝĵ½µç×ÓÉ豸£¬ÒÔ·ÀÖ¹»ðÔÖµÄÂûÑÓ¡£Ö÷ҪʹÓÃÈýÖÖÉÌÒµ»¯µÄPBDEsÅä·½£¬¼´Îåäå¶þ±½ÃÑ£¬Ê®°Ëäå¶þ±½ÃѺÍÊ®äå¶þ±½ÃÑ£¬ÆäÖÐÎåäå¶þ±½ÃÑÓÉÓÚÆäÕ¼Ö÷µ¼µØÎ»µÄÈ«ÇòÏû·ÑÁ¿ºÍÏà¶Ô½Ï¸ßµÄÉú̬¶¾ÐÔ¶øÊܵ½¸ü¶à¹Ø×¢¡£»îÐÔÌ¿¿ÉÒÔÔöÇ¿³Á»ýÎïÖÐHOCsµÄÎü¸½»ò¹Ì¶¨¡£»îÐÔÌ¿Îü¸½¼ÁÒѱ»¹ã·ºÓÃÓÚÎÛȾÖÎÀí£¬ÒÔ¸ôÀë´²³Á»ýÎïÖеÄHOC²¢¼õÉÙÆä¶ÔË®ÖùµÄͨÁ¿¡£È»¶ø£¬»îÐÔÌ¿²ÄÁÏµÄÆðÔ´ºÍÎïÀí»¯Ñ§ÐÔÖÊ(ÀýÈ磬±íÃæ»ý£¬Î¢¿×϶)²îÒìºÜ´ó£¬¶ÔËüÃǵIJîÒì¶Ô¸ôÀë³Á»ýÎïPBDEsµÄЧ¹ûÁ˽âµÃ±È½ÏÉÙ¡£
¡¡¡¡¸ù¾Ý²»Í¬µÄÔÁÏ£¬È¼ÉÕ·½·¨ÒÔ¼°¹ã·ºµÄ¿ÉÓÃÐÔºÍÓ¦Óã¬Ñ¡ÔñÁËÈýÖÖ²»Í¬µÄ²ÄÁÏ£¬°üÀ¨»îÐÔÌ¿£¬Ä¾Ì¿ºÍÉúÎïÌ¿¡£»îÐÔÌ¿¡£Ä¾Ì¿À´Ô´ÓÚľÖÊËØ²ÄÁÏÔÚ400°CϵÄȼÉÕ¡£ÉúÎïÌ¿ÑùÆ·ÊÇͨ¹ýÔÁÏÔÚ400¡æÏ²»ÍêȫȼÉÕ¶ø²úÉúµÄ¡£½«ËùÓлîÐÔÌ¿²ÄÁÏÔÚÑв§ÖÐÑÐÄ¥£¬Í¨¹ý100Ä¿(0.149mm¿×¾¶)£¬²¢ÔÚʹÓÃǰÔÚÊÒÎÂÏ´¢´æ¡£ÈçÉÏËùÊö·ÖÎö»îÐÔÌ¿²ÄÁϵÄOCº¬Á¿¡£Ê¹ÓñíÃæ»ý·ÖÎöÒÇ£¬Í¨¹ýBETµªµÈÎÂÏ߲ⶨ±È±íÃæ»ý(SSA)ºÍ΢¿×ÂÊ¡£»îÐÔÌ¿£¬ÉúÎïÌ¿£¬Ä¾Ì¿¡£
¡¡¡¡ÎªÁ˱ȽϻîÐÔÌ¿²ÄÁϽµµÍ³Á»ýÎïÖв»º¬¶àäå¶þ±½ÃѵÄCµÄÓÐЧÐÔ£¬ÔÚÓÃÓÚÏËά±©Â¶Ö®Ç°£¬ÓûîÐÔÌ¿£¬Ä¾Ì¿»òÉúÎïÌ¿¶ÔJLºÍSD³Á»ýÎï½øÐÐÁËÐÞÕý¡£ÔÚ³ÁµíÎïÖмÓÈë100μg/ kgµÄÿÖÖ¶àäå¶þ±½ÃÑͬԴÎ²¢ÈçÉÏËùÊöƽºâ7Ì죬ȻºóÔÚ0(δÐÞÕý¶ÔÕÕ)£¬0.5£¬1.0£¬1.5£¬3.0ºÍ6.0ÏÂÓë»îÐÔÌ¿£¬Ä¾Ì¿»òÉúÎïÌ¿»ìºÏ¡£»ùÓÚ³Á»ýÎï¸ÉÖØµÄ%¡£»îÐÔÌ¿ÐÞÕýµÄ³Á»ýÎïÔÚ120rpmÏ»ìºÏ7ÌìÒÔ²úÉúPBDEÎÛȾµÄ³Á»ýÎïÑùÆ·¡£½«µÈ·ÝµÄ¾ÐÞÕýµÄ³ÁµíÎï(1.0g£¬¸ÉÖØ)£¬Ò»Æ¬1cm PDMSÏËάºÍ1.5mLË®ÖÃÓÚ20mL²£Á§Ð¡Æ¿ÖÐÒÔ²âÁ¿C ×ÔÓɶÈÈçÉÏËùÊöµÄPBDEs¡£»ìºÏ7Ììºó£¬»ØÊÕPDMSÏËά£¬ÌáÈ¡²¢·ÖÎö¡£

¡¡¡¡Í¼1£º»îÐÔÌ¿ÔÚ»ìºÏÌõ¼þϳÁ»ýÎïÖÐPDMSÏËάµÄÎüÊÕ¶¯Á¦Ñ§¡£
¡¡¡¡¸ôÀë¶àäåÁª±½ÃÑÖлîÐÔÌ¿ÀàÐ͵IJîÒì
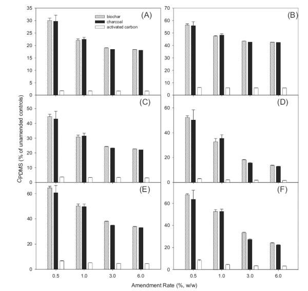
¡¡¡¡ÔÚÆ½ºâʱ£¬Í¨¹ý»îÐÔÌ¿Îü¸½»ò¸ôÀëPBDEs·´Ó³ÁËËüÃÇÔÚPDMSÏËά(C PDMS)Éϼì²âµ½µÄˮƽµÄ±ä»¯¡£ÔÚJL³Á»ýÎïÖУ¬Ëæ×Å»îÐÔÌ¿ÐÞÕý£¬C PDMSÏÔ×ÅϽµ£¬²¢ÇÒ»îÐÔÌ¿µÄÀàÐÍÖ®¼äµÄ¼õÉÙ²»Í¬(ͼ2)¡£ÀýÈ磬µ±ÓÃÉúÎïÌ¿ÒÔ0.5%ÐÞÕýJL³Á»ýÎïʱ£¬C PDMS½µµÍÖÁδ³Á½µ³Á»ýÎïÖеÄˮƽµÄ30.0-67.8%¡£Ä¾Ì¿(29.7-63.5%)µÄЧ¹ûÓëÉúÎïÌ¿ÏàËÆ(ͼ2)¡£Ïà±È֮ϣ¬»îÐÔÌ¿ÐÞÕý³Á»ýÎïÖÐC PDMSµÄϽµ·ù¶È¸ü´ó(ͼ2))¡£ÀýÈ磬ÔÚº¬ÓÐ0.5%»îÐÔÌ¿µÄJL³ÁµíÎïÖУ¬¶ÔÓÚ²»Í¬µÄͬԴÎC PDMS½µµÍÖÁδ¸ÄÁ¼´¦ÀíµÄˮƽµÄ1.8-8.1%¡£Æ½¾ù¶øÑÔ£¬Ìí¼Ó1.0%µÄ»îÐÔÌ¿µ¼ÖÂËùÑ¡BDEͬϵÎïµÄC PDMS½µµÍÖÁ¶ÔÕÕˮƽµÄ1.7-5.9%£¬Õâ±íÃ÷»îÐÔÌ¿ÔÚ³Á»ýÎïÖÐòüºÏPBDEsµÄÄÜÁ¦Ô¶Ô¶¸ßÓÚÆäËûºÚ̼²ÄÁÏ¡£

¡¡¡¡Í¼2£ºË®ÖгÁ»ýÎïÖÐPDMSÏËάÉϵÄBDE 47(A)£¬85(B)£¬99(C)£¬100(D)£¬153(E)ºÍ154(F)Ũ¶ÈÓò»Í¬ÀàÐ͵ĻîÐÔÌ¿µÄ¸ôÀëЧ¹û¡£
¡¡¡¡ÔÚÕâÏîÑо¿ÖУ¬¿ª·¢ÁËÒ»ÖÖ·½·¨ÓÃÓÚ²âÁ¿³Á»ýÎïÖв»º¬¶àäå¶þ±½ÃѵÄC£¬¸Ã·½·¨½øÒ»²½ÓÃÓڱȽϲ»Í¬»îÐÔÌ¿²ÄÁÏͨ¹ý½µµÍC freeÀ´·â´æ¶àäåÁª±½ÃѵÄЧÂÊ¡£¸ÃÑо¿µÄ½á¹û±íÃ÷£¬¾¡¹Ü²»º¬¶àäå¶þ±½ÃѵÄCͨ¹ý»îÐÔÌ¿ÐÞÕý¶ø½µµÍ£¬µ«²»Í¬ÀàÐ͵ĻîÐÔ֮̿¼äµÄ½µµÍ²îÒìºÜ´ó£¬»îÐÔÌ¿ÏÔʾ³ö±ÈÉúÎïÌ¿»òľ̿¸ü¸ßµÄЧÂÊ¡£´ËÍ⣬¿ÉÄÜÓÉÓÚÆä΢¿×µÄ·Ö²¼²»Í¬£¬»îÐÔÌ¿ÓÅÏȸôÀëµÍä廯ä廯BDE£¬¶øÉúÎïÌ¿»òľ̿ÏÔʾ³öÑ¡ÔñÐÔÎü¸½¸ßä廯ä廯¶þ±½ÃÑ¡£¼õÉÙC.Ãâ·ÑÓÉͬһ»îÐÔÌ¿ÐÞÕý°¸»¹³Á»ýÎïÖ®¼äµÄ²îÒìºÜ´ó£¬ºÍ¸ü¸ßµÄOCº¬Á¿ËƺõÒÖÖÆÌ¿ºÚµÄЧ¹û¡£ÁíÒ»·½Ã棬»îÐÔÌ¿µÄ¸ôÀëÄÜÁ¦¿ÉÄÜÓÉÓÚÀÏ»¯Ð§Ó¦¶ø¸Ä±ä£¬ÒòΪÌìÈ»ÓлúÎïÖÊ»ò½ºÌå¿ÉÄܾºÕùÎü¸½Î»µã»ò×èÈû΢¿×¡£Òò´Ë£¬ÔÚÓ¦ÓÃÓÚÊÜÎÛȾ³Á»ýÎïµÄÔλÐÞ¸´Ö®Ç°£¬ÐèÒª½øÒ»²½Á˽âÀÏ»¯¶Ô»îÐÔÌ¿¶àäå¶þ±½ÃÑºÍÆäËûHOCsµÄ¸ôÀë×÷ÓÃÒÔ¼°¶Ô»îÐÔÌ¿ÀàÐ͵ÄÒÀÀµÐÔ¡£
ÎÄÕ±êÇ©£ºÒ¬¿Ç»îÐÔÌ¿,¹û¿Ç»îÐÔÌ¿,úÖÊ»îÐÔÌ¿,ľÖÊ»îÐÔÌ¿,·äÎÑ»îÐÔÌ¿,¾»Ë®»îÐÔÌ¿.±¾ÎÄÁ´½Ó£ºhttp://m.fdcnvt.cn/hangye/hy634.html
ÍÆ¼ö×ÊѶ
- 2026-02-25»îÐÔÌ¿Îü¸½´¦ÀíÆ¡¾Æ³§·ÏË®
- 2026-02-13»îÐÔÌ¿Îü¸½´¦Àíº¬¹¯·ÏÆø
- 2026-02-04»îÐÔÌ¿ÓÃÓÚ´Ó·ÏË®ÖÐÎü¸½È¥³ý΢Á¿ïÓºÍǦ
- 2026-01-28»îÐÔÌ¿½àÑÀ·ÛרÓÃ
- 2026-01-20»îÐÔÌ¿ÔÚ·ÏÆø´¦ÀíÖеÄһЩ³£Ê¶
- 2026-01-13»îÐÔÌ¿ÔÚ¾«ÖÆÌÇÉú²úÖеÄÍÑɫЧ¹û
- 2026-01-07»îÐÔÌ¿¶Ôßäßò»ùÀë×ÓÒºÌåµÄÎü¸½ÐÔÄÜ
- 2025-12-24»îÐÔÌ¿¸ÄÐÔÔöÇ¿¶ÔÒÒõ£°±»ù·ÓµÄÎü¸½
- 2025-12-15»îÐÔÌ¿Îü¸½Âí¶µÁåËá
- 2025-11-27³¬Ï¸»îÐÔÌ¿5000Ä¿·ÛÄ©»îÐÔÌ¿
- 2025-11-26»îÐÔÌ¿ÔÚÁò»¯Ï𽺳ÄÌ×ÖеÄÓ¦ÓÃ
- 2025-11-19»îÐÔÌ¿Îü¸½Öؾ§Ê¯»ìºÏÎïÖеÄͺÍп
