µç»°£º13570151199
´«Õ棺020-39972520
ÓÊÏ䣺hanyan@hanyancarbon.com
µØÖ·£º¹ã¶«Ê¡¹ãÖÝÊз¬Ø®Çø¶«»·½Ö·¬Ø®´óµÀ±±555ºÅÌì°²×ܲ¿ÖÐÐÄ30ºÅÂ¥6²ã
¡¡¡¡½ñÌìС±à½éÉÜһϻ·¼ºÍéµÄÎÞÈܼÁÑõ»¯»îÐÔÌ¿£¬»îÐÔÌ¿µÄÔ²ÄÁÏÓÉÁ×Ëá½þÅÝÔÚ380¡æµÄ»·¾³ÖмÓÈë¶èÐÔÆøÌåÏÂ̼»¯ÖƳɣ¬ËæºóÓùýÑõ»¯Çâ»î»¯¡£»îÐÔ̿ͨ¹ýSEM£¬EDX£¬FTIR£¬TGAºÍBET±íÃæ»ýºÍ¿×¾¶·ÖÎöÒDZíÕ÷¡£ÔÚ×ÔÖÆË«±ÚÈý¾±ÅúÁÏÖÐÑо¿ÁËÔÚÖеÈζȵķÖ×ÓÑõ´æÔÚÏ£¬»îÐÔÌ¿×÷Ϊ»·¼ºÍéÎÞ»·Ñõ»¯³É»·¼º´¼ºÍ»·¼ºÍª(¸Ã»ìºÏÎï³ÆÎªKAÓÍ)µÄ´ß»¯¼ÁµÄDZÁ¦·´Ó¦¶Ñ¡£¶Ô²»Í¬·´Ó¦²ÎÊý/Ìí¼Ó¼ÁµÄÓ°Ïì½øÐÐÁËÓÅ»¯¡£
¡¡¡¡»îÐÔÌ¿ÔÚ19ÊÀ¼Í³õ±»Ê״ᨵÀΪÓÐЧ´ß»¯¼Á[¡£Ê®¾ÅÊÀ¼Í³õÆÚ£¬»îÐÔ̿ͨ³£Óɲ»Í¬Å©ÒµÔÁϵÄÈȻ·¨ÖƱ¸£¬×÷Ϊ¹ýÑõ»¯Çâ½µ½âµÄ´ß»¯¼Á½øÐÐÁËÑо¿¡£»îÐÔÌ¿¶Ô¹ýÑõ»¯Çâ·Ö½âµÄ´ß»¯»îÐԷdz£ºÃ£¬µ«³ÖÐøÊ±¼ä¶Ì¡£ÓÃÓÚ·Ö½â¹ýÑõ»¯ÇâµÄ´ß»¯»îÐÔÏûʧµÄ×î¿ÉÄܵÄÔÒò¿ÉÄÜÊÇ»îÐÔÌ¿±íÃæÉϵÄÑõ»¯»ùÍŵÄʧ»î¡£½ü¼¸Ê®ÄêÀ´Ñо¿ÈËÔ±³É¹¦µØ½â¾öÁË»îÐÔÌ¿Ä;ÃÐÔµÄÖ÷ÒªÎÊÌ⡣ͨ¹ýÎïÀí£¬ÎïÀí£¬»¯Ñ§ºÍ»¯Ñ§»î»¯£¬»îÐÔÌ¿±»µ÷ÕûÒÔÏÔʾ³öÁ¼ºÃµÄ´ß»¯»îÐÔÔÚ¹âÆø£¬Áò»¯ÇâµÄÉú²úÖУ¬Ç⻯£¬¾ÛºÏ£¬Â±»¯£¬³ýÈ¥SO 2 ºÍNO x ºÍÜд¼µÄÑõ»¯¡£»îÐÔÌ¿µÄÕâÖÖÐÔÄܹéÒòÓÚÆä¿×϶¶È£¬»îÐÔλµãºÍ¸ß±íÃæ»ý¡£Òò´Ë£¬Í¨¹ý¿ØÖÆÕâЩ²ÎÊý£¬»îÐÔÌ¿¾Í¿ÉÒÔ±»µ÷ÕûΪÓÃÓÚÑ¡ÔñµÄÓлúת»¯µÄÓÐЧ´ß»¯¼Á¡£

¡¡¡¡»îÐÔ̿ʵÑéÌõ¼þÓë¹ý³Ì
¡¡¡¡ÔÚĿǰµÄ¹¤×÷ÖУ¬ÔÚκ͵ķ´Ó¦Ìõ¼þÏ£¬ÔÚÑõÆø´æÔÚÏ£¬½«»îÐÔÌ¿ÓÃ×÷ÎÞ½ðÊô´ß»¯¼Á£¬ÓÃÓÚÎÞ»·Ñõ»¯µÄ»·¼ºÍéÑõ»¯³ÉKAÓÍ¡£ÓÅ»¯ÁË·´Ó¦²ÎÊý£¬²¢ÔÚÉú²úÂÊ·½Ãæ·¢ÏÖÁË´ß»¯Ð§ÂÊ¡£ÖƱ¸µÄ±ãÀûÐÔ£¬»îÐÔ×ã¹»£¬µÍ³É±¾£¬¿É»ØÊÕÐÔ£¬²»ÉøÍ¸ÐԺͻ·±£ÐÔʹµÃ»îÐÔÌ¿³ÉΪ»·¼ºÍéÎÞÈܼÁÑõ»¯µÄÓÐÓô߻¯¼Á¡£
¡¡¡¡Í¨¹ýɨÃèµç×ÓÏÔ΢¾µÑо¿ÁË»îÐÔÌ¿µÄ±íÃæÐÎ̬¡£Í¨¹ýʹÓÃÄÜÁ¿É«É¢XÉäÏß¹âÆ×·¨¼Ç¼»îÐÔÌ¿µÄÔªËØ×é³É¡£Í¨¹ýXÉäÏßÑÜÉäÒǽøÐÐXÉäÏß·ÖÎö¡£Í¨¹ý¸µÀïÒ¶±ä»»ºìÍâ¹âÆ×ÒǼì²é»îÐÔÌ¿±íÃæÉϵĹÙÄÜÍÅ¡£Í¨¹ýTGAÈÈ·ÖÎöÒÇÔÚ0/1000¡æµÄζȷ¶Î§ÄÚ ÒÔ10¡æ/ minµÄËÙÂÊÔÚN 2Á÷ϽøÐÐÈÈÁ¿µÄÖØÁ¿Ëðʧ°Ù·Ö±È ¡£Ê¹Óøõ±íÃæ»ý·ÖÎöÒDzâÁ¿»îÐÔÌ¿µÄ±íÃæ»ý¡£

¡¡¡¡½«»·¼ºÍé(12.5mL)ºÍ»îÐÔÌ¿(0.4g)×°ÔØµ½×ÔÉèË«±ÚÈý¿Úʽ¼äЪʽ·´Ó¦Æ÷ÖС£ÔÚ·Ö×ÓÑõ(40mL / min)´æÔÚÏ£¬ÔÚ75¡æÏ½Á°è»ìºÏÎï14Сʱ ¡£ÔÚÏàͬµÄÒ»×é·´Ó¦²ÎÊýÖУ¬¼îÐÔNaOH£º0.2 mmoleµÄ´æÔÚÏÂÒ²½øÐз´Ó¦¡£Í¨¹ýÆøÏàÉ«Æ×·ÖÎö»·¼ºÍéת»¯ÎªKAÓÍ£¬Ê¹Óý»Áª¼×»ù¹èÑõÍéëϸ¹ÜÖù(30μm£¬ÄÚ¾¶0.32mm£¬ Ã× mĤºñ¶È)£¬Óë»ðÑæÀë×Ó»¯¼ì²âÆ÷(FID)ÏàÁ¬¡£
¡¡¡¡Í¨¹ýSEM·ÖÎö»îÐÔÌ¿µÄ±íÃæÐÎ̬¡£SEMͼÏñÏÔʾÁ˶à¿×½á¹¹£¬Î¢¿×/Öп×Óë»îÐÔÌ¿ÄÚ±íÃæÁ¬½ÓµÄ½»ÁªÍ¨µÀµÄ»ìºÏ£¬Èçͼ 1 ¡£¸ß·Å´ó±¶ÂÊÏÔʾ2µ½10µÄÇ»µÄ´æÔÚμ Ã× £¬¿ÉÒÔ·½±ãµØ·ÃÎÊÄÚ²¿Î¢¿×ºÍÖпס£´ËÍ⣬EDX·ÖÎö(ͼ 2 )ÏÔʾºÛÁ¿µÄÁ׺ͶþÑõ»¯¹è£¬ ÄÇЩÊÇ»¨Éú¿ÇµÄÖ÷ÒªÄÚÈÝ¡£

¡¡¡¡»îÐÔ̿ʵÑé½á¹ûÓëÌÖÂÛ
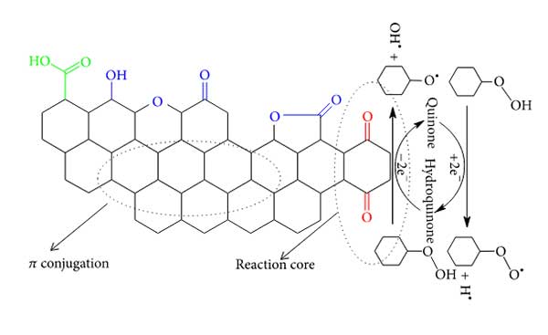
¡¡¡¡ÔÚ»îÐÔÌ¿±íÃæ£¬º¬Ñõ¹ÙÄÜÍŸºÔ𽫻·¼ºÍéÑõ»¯³É»·¼º´¼ºÍ»·¼ºÍª¡£¾Ý¹ã·º±¨µÀ£¬»îÐÔÌ¿±íÃæÓë·Ö×ÓÑõͨ¹ýº¬Ñõ¹ÙÄÜÍÅÈçôÊ»ù£¬ÍªºÍõ«¡£´ËÍ⣬ͨ¹ýº¬Ñõ±íÃæ¹ÙÄÜÍÅ»îÐÔÌ¿·¢ÉúÑõ»¯·´Ó¦£¬¶øÕâЩ¹ÙÄÜÍÅͨ¹ý·Ö×ÓÑõÔÙÉú¡£ÔÚ×î½üµÄÑо¿ÖУ¬Ì½ÌÖÁ˳ýÆäËûº¬Ñõ»ùÍÅÖ®Í⣬õ«»ùÊÇ»·¼ºÍéÑõ»¯×îÎȶ¨ºÍÖ÷ÒªÀ´Ô´¡£õ«/Çâõ«ÌåϵµÄ·Ò¶ÙÑù»úÀíÊÇ»·¼ºÍéÑõ»¯´«²¥µÄ×îÓпÉÄÜ;¾¶¡£àŵͪͨ¹ýÁ¬ÐøÑõÆø¹ÄÅÝÔÚ·´Ó¦»ìºÏÎïÖÐÓÉÇâõ«ÔÙÉú¡£±íÃæ¹ÙÄÜÍÅ(Æ·ÖÖ/ÃܶÈ)¿ÉÒÔͨ¹ý»¯Ñ§/ÈÈ´¦Àí¡£ÔÚ×î½üµÄÑо¿ÖУ¬ÈçTGAËùʾ£¬Í¨¹ýÈÈ´¦Àíµ÷Õû»îÐÔÌ¿±íÃæÉϲúÉúµÄÑõ¹ÙÄÜÍÅ¡£»îÐÔÌ¿ÔÚ¸ßÎÂ580¡æÏ´¦Àí;¡£Òò´Ë£¬Î¨Ò»ÏÖÓеĺ¬Ñõ¹ÙÄÜÍŽ«ÊÇõ«¡£È·ÈϸßÎÂ(700°C)ÏÂõ«¹ÙÄÜÍŵÄÎȶ¨ÐÔ¡£Í¬Ñù£¬àŵͪ¹ÙÄÜÍŵÄÎȶ¨ÐԸߴï800°C¡£Òò´Ë£¬×ܽáһϣ¬»·¼ºÍéÑõ»¯³É»·¼º´¼ºÍ»·¼ºÍª×ñÑ·½°¸ËùʾµÄ»úÀí ¡£
¡¡¡¡»îÐÔ̿ͨ¹ý»¯Ñ§·½·¨ºÏ³É£¬²¢ÓõͷÖ×ÓÑõÔÚ»·¼ºÍéÖÐÎÞÈܼÁÑõ»¯¡£Í¨¹ýÈÈ´¦ÀíÀ´µ÷½Ú»îÐÔÌ¿ÒÔ·¢Õ¹±íÃæÉϵÄõ«¹ÙÄÜÍÅ¡£×î¼Ñ·´Ó¦²ÎÊýÉ趨ÈçÏ£º·´Ó¦Îï115.56mmol¡¢»îÐÔÌ¿0.4g¡¢ ζÈ75¡æ¡¢Ê±¼ä14Сʱ¡£½«´ß»¯¼ÁµÄ´ß»¯»îÐÔÓëĿǰÑо¿µÄÖØÒªÐÔµÄÉú²úÂʵĻù´¡Éϱ¨¸æµÄÎÄÏ×½øÐбȽϡ£´ß»¯¼ÁÖØ¸´Ê¹ÓÃÊý´Î£¬Õâ±íÃ÷´ß»¯¼ÁµÄÄ;ÃÐÔ¡£Ñо¿½á¹û±íÃ÷£¬õ«»ù¹ÙÄÜÍÅÊÇÓ÷Ö×ÓÑõÑõ»¯»·¼ºÍéÔÙÉúÐÔÄܵÄ×î¼Ñ·´Ó¦ºËÐÄ¡£»îÐÔÌ¿±»·¢ÏÖÊǾßÓÐÑÓ³¤ÊÙÃüµÄÕæÕýµÄÒìÏà´ß»¯¼Á¡£
ÎÄÕ±êÇ©£ºÒ¬¿Ç»îÐÔÌ¿,¹û¿Ç»îÐÔÌ¿,úÖÊ»îÐÔÌ¿,ľÖÊ»îÐÔÌ¿,·äÎÑ»îÐÔÌ¿,¾»Ë®»îÐÔÌ¿.±¾ÎÄÁ´½Ó£ºhttp://m.fdcnvt.cn/hangye/hy529.html
ÍÆ¼ö×ÊѶ
- 2026-02-25»îÐÔÌ¿Îü¸½´¦ÀíÆ¡¾Æ³§·ÏË®
- 2026-02-13»îÐÔÌ¿Îü¸½´¦Àíº¬¹¯·ÏÆø
- 2026-02-04»îÐÔÌ¿ÓÃÓÚ´Ó·ÏË®ÖÐÎü¸½È¥³ý΢Á¿ïÓºÍǦ
- 2026-01-28»îÐÔÌ¿½àÑÀ·ÛרÓÃ
- 2026-01-20»îÐÔÌ¿ÔÚ·ÏÆø´¦ÀíÖеÄһЩ³£Ê¶
- 2026-01-13»îÐÔÌ¿ÔÚ¾«ÖÆÌÇÉú²úÖеÄÍÑɫЧ¹û
- 2026-01-07»îÐÔÌ¿¶Ôßäßò»ùÀë×ÓÒºÌåµÄÎü¸½ÐÔÄÜ
- 2025-12-24»îÐÔÌ¿¸ÄÐÔÔöÇ¿¶ÔÒÒõ£°±»ù·ÓµÄÎü¸½
- 2025-12-15»îÐÔÌ¿Îü¸½Âí¶µÁåËá
- 2025-11-27³¬Ï¸»îÐÔÌ¿5000Ä¿·ÛÄ©»îÐÔÌ¿
- 2025-11-26»îÐÔÌ¿ÔÚÁò»¯Ï𽺳ÄÌ×ÖеÄÓ¦ÓÃ
- 2025-11-19»îÐÔÌ¿Îü¸½Öؾ§Ê¯»ìºÏÎïÖеÄͺÍп
