µç»°£º13570151199
´«Õ棺020-39972520
ÓÊÏ䣺hanyan@hanyancarbon.com
µØÖ·£º¹ã¶«Ê¡¹ãÖÝÊз¬Ø®Çø¶«»·½Ö·¬Ø®´óµÀ±±555ºÅÌì°²×ܲ¿ÖÐÐÄ30ºÅÂ¥6²ã
¡¡¡¡½üÀ´£¬ÈËÀà»î¶¯¼¤Ôöµ¼ÖÂÁËũҵ·ÏÎïÔÚ»·¾³ÖеÄÔö¼Ó¡£ÎªÁËÕÒµ½ÕâЩ²ÄÁϵÄÐÂÓ¦Óã¬ÎÒÃÇÑо¿ÁËÌúº¬Á¿(2.5,5,10ºÍ15%)¶ÔÓÉÒ¬¿ÇÖÆ±¸µÄ»îÐÔÌ¿´ß»¯ÐÔÄܵÄÓ°Ïì¡£´ó¶àÊýʱºò£¬ÕâЩ²ÄÁÏÖ±½Ó·ÅÔÚ»·¾³ÖУ¬»áµ¼ÖÂÓлúÎï¹ý¶È»ýÀÛ¡£ËäÈ»ÕâÖÖÀàÐ͵ÄÎÛȾÎïÊÇ¿ÉÉúÎï½µ½âµÄ£¬µ«Æä¿ó»¯ÐèÒªÂþ³¤µÄʱ¼ä¡£´ËÍ⣬ÓÉÓÚÈËÀà»î¶¯½Ï´ó£¬×ÔȻѻ·µÄÄѶÈÔ½À´Ô½´ó¡£¿Ë·þÕâ¸öÎÊÌâµÄÒ»¸öÓÐÎüÒýÁ¦µÄÑ¡ÔñÊÇʹÓùÌÌå·ÏÎï×÷ΪÄÜÔ´»òÔÁÏÀ´»ñµÃ¸ß¼ÛÖµ²úÆ·£¬Èç»îÐÔÌ¿¡£ËüÃÇ¿ÉÒÔ´Ó¸÷ÖÖ²ÄÁÏÖÆ±¸£¬ÈçÒ¬¿Ç£¬Ä¾²Ä£¬ÓÍ£¬ÄàÌ¿£¬½¹Ì¿£¬Ê޹ǣ¬ÖÖ×Ó£¬¾âм£¬µ¾¿ÇºÍ¾ÛºÏÎï¡£

¡¡¡¡ÓÉÓÚ»îÐÔÌ¿µÄÎïÀíºÍ»¯Ñ§ÐÔÖÊÎȶ¨£¬¸ßÓ²¶È£¬ÄÍÈÈÐÔ£¬Ä͸¯Ê´ÐԺ͵¼µçÐÔ£¬¶ÔËáºÍ¼îµÄÄÍÊÜÐÔ£¬»¹¾ßÓÐÆä¹¦ÄÜ»ùÍÅÕâÈûîÐÔÌ¿½üÄêÀ´ÒýÆðÁËÈËÃǵĹØ×¢¡£±íÃæ»ý£¬Îü¸½Àë×ÓµÄÎü¸½ÐԺ͸߱ȱíÃæ»ýÕâЩÐÔÖÊÖеĴó¶àÊý¿ÉÒÔÔÚÖÆ±¸»îÐÔÌ¿ÆÚ¼äµÃµ½¿ØÖÆ¡£ÓÉÓÚÕâÐ©ÌØµã£¬»îÐÔÌ¿ÒѾÔںܶàÁìÓòÖеõ½Ó¦Óã¬ÀýÈçÔÚÆøÌå»òÒºÌåµÄÎü¸½ÖлòÔÚ»¯Ñ§Æ·µÄ»ØÊպ;»»¯ÖÐÒÔ¼°ÔÚȼÁÏµç³ØÖд¢´æÇâ¡£´ËÍ⣬»îÐÔÌ¿ÒѾÓÃ×÷¸÷ÖÖ·´Ó¦ÖеĴ߻¯¼ÁºÍÔØÌ壬ÈçÒÒ±½ÍÑÇ⣬´Ó¹¤Òµ·ÏË®ÖÐÈ¥³ý±½·ÓºÍ´Ó²ÐÁôË®ÖгýÈ¥ÏõËáÑλòÓлúȾÁϵȵȡ£
¡¡¡¡ÏÂÃæÎÒÃÇÀ´¿´¿´Ìúº¬Á¿¶Ô»îÐÔÌ¿µÄ´ß»¯ÐÔÄܵÄÓ°Ï죬ÒѾ·¢ÏÖ£¬Ìú¸ºÔØ»îÐÔÌ¿ÊÇÒ»ÖÖÓÐЧµÄ´ß»¯¼Á£¬ÒÔ´ÓË®ÈÜÒºÖгýÈ¥ÑǼ×À¶£¬Í¨¹ý¹ýÑõ»¯ÇâµÄÎü¸½ºÍÑõ»¯µÄ×éºÏ¹¤ÒÕ¡£´ËÍ⣬¸ºÔشųàÌú¿óµÄ»îÐÔ̿ͨ¹ýÎü¸½ÐÔ£¬ÄÜÓÐЧµØ´ÓË®ÈÜÒºÖÐÈ¥³ýÁËÈËÔìºì¡£ÁíÒ»·½Ã棬¸ºÔØÌú¸´ºÏ²ÄÁϵĻîÐÔÌ¿Äܹ»Í¨¹ý·Ò¶Ù·´Ó¦´ÓË®ÈÜÒºÖгýÈ¥ÈËÔìºì¡£±¾´ÎÑо¿ÓÃÒ¬¿ÇΪÔÁÏÀ´ÖƱ¸»îÐÔÌ¿£¬Í¨¹ýÓÃÊʵ±Å¨¶ÈµÄÏõËáÌúË®ÈÜÒº½þ×Õ»îÐÔÌ¿µÃµ½´ß»¯¼Á£¬ÒÔÔÚ×îÖÕ¹ÌÌåÖдﵽ2.5,5,10ºÍ15%µÄÌúº¬Á¿¡£½«ÏµÍ³±£³Ö½Á°è(80rpm)2Сʱ¡£¸Ã´ß»¯¼ÁÔÚ120ºC¸ÉÔ24¸öСʱ£¬²¢¼ÓÈÈ(10·ÖÖÓºC - 1)ÔÚµªÆøÁ÷ÏÂ(100ºÁÉý·ÖÖÓ- 1)¸ß´ï450ºC£¬±»±£³ÖÔÚ¸ÃζÈ2Сʱ¡£²âÊÔÁËÌúº¬Á¿¶ÔÒ¬¿Ç»îÐÔÌ¿µÄ´ß»¯ÐÔÄܵÄÓ°Ïì¡£ÔÚÈ¥³ýÑǼ×À¶Ê±£¬ÆÀ¹À´ß»¯¼Á£¬ÓÃ×÷Ö¯ÎïȾÁϵÄÄ£ÐÍ»¯ºÏÎï¡£
¡¡¡¡´ÓʵÑé½á¹û¿ÉÒÔ¿´³ö£¬Èçͼ1Ëùʾ£¬¿ÉÒÔÌá³öÔÚ»îÐÔÌ¿ÉÏÐγɴÅÌú¿óÁ£×ÓµÄ;¾¶¡£¼ÙÉè´ÅÌú¿ó¿ÅÁ£Ö÷ÒªÔÚÖ§³Å¿×ÄÚ²¿£¬¼ÓÈÈÆÚ¼äÓɽþ×ÕµÄÏõËáÌúÐγɡ£¾ÝÐÅ£¬ÓÉÓÚÆðʼ²ÄÁÏÖÐûÓÐFe 2+ÎïÖÊ£¬ËùÒÔÊ×ÏȲúÉú³àÌú¿ó¡£Ò»¶Îʱ¼äºó£¬Ò»Ñõ»¯Ì¼ÓÉ»îÐÔÌ¿Éú³É£¬Äܹ»½«Ò»Ð©Fe 3+»¹Ô³ÉFe 2+ÎïÖÖÉú²ú´ÅÌú¿ó¡£È»¶ø£¬Ëæ×Å»¹ÔÓ¦´Ó±íÃæ¿ªÊ¼£¬ÓÉÓÚÒ»Ñõ»¯Ì¼²»¿É½Ó½ü£¬Ò»Ð©³àÌú¿ó¿ÉÄÜÈÔÈ»×÷Ϊ¿ÅÁ£ÖеĺËÐÄ¡£Òò´Ë£¬ËùµÃ¿ÅÁ£ÓÉ´ÅÌú¿ó°üΧµÄ³àÌú¿óÐ¾ÖÆ³É¡£

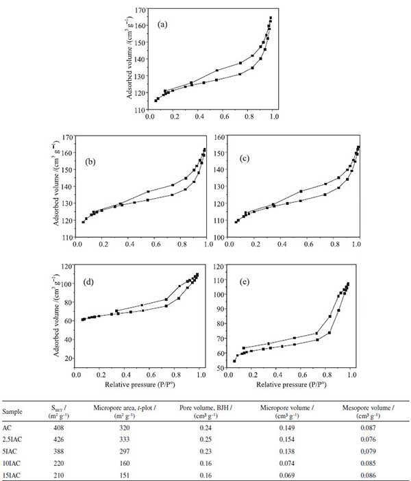
¡¡¡¡±È±íÃæ»ýºÍ¿×϶ÂʲâÁ¿ËùÓÐÑùÆ·¶¼ÏÔʾÁË΢¿×ºÍ½é¿×²ÄÁϵäÐ͵ÄIIÐ͵ÈÎÂÏߣ¬¾ßÓдÅÖÍ»ØÏߣ¬±íÃ÷Öп×ÖеÄëϸ¹ÜÀäÄý£¬Èçͼ2Ëùʾ¡£±íÖÐÏÔʾÁËÑùÆ·µÄÖ÷Òª½á¹¹ÌØÐÔ¡£¿ÉÒÔ¿´³ö£¬º¬ÌúÁ¿Ð¡µÄ»îÐÔÌ¿(2.5%ºÍ5%)µÄ½þ×Õ²»Ó°ÏìÆä½á¹¹ÐÔÖÊ¡£ÕâÒ»·¢ÏÖ±íÃ÷£¬»îÐÔ֧̿³ÖÎïµÄ¿×¶ÂÈûÊǿɺöÂԵģ¬ÓëÈçͼ1½á¹ûÒ»Ö¡£È»¶ø£¬½Ï¸ßÁ¿µÄÌú(10%ºÍ15%)µÄ»îÐÔÌ¿µ¼Ö±ȱíÃæ»ý´ó·ù¶ÈϽµ£¬ÕâÓë΢¿×Ãæ»ýºÍÌå»ýµÄ¼õÉÙÃÜÇÐÏà¹Ø¡£Õâ֤ʵÁ˼ÙÉè´ó¶àÊýÑõ»¯Ìú³Á»ýÔÚ¿×ÄÚ£¬ÆäÖÐËü²¿·Ö×èÈû¿×¡£
¡¡¡¡½áÂÛ£º´ÓÒ¬¿Ç³É¹¦ÖƱ¸Á˾ßÓв»Í¬ÌúÁ¿(2.5,5,10ºÍ15%)µÄ»îÐÔÌ¿ÑùÆ·£¬ÌṩÁ˼õÉÙ»·¾³ÖÐũҵ·ÏÎïµÄ¿ÉÄÜÐÔ¡£¸ù¾ÝÌúµÄ´æÔÚºÍÊýÁ¿£¬¹ÌÌåÏÔʾ²»Í¬µÄ½á¹¹ºÍ»¹ÔÐÔÖÊ¡£³ýÁËÓɳàÌú¿óÖÆ³ÉµÄÌúÖʲ»Á¼ÑùÆ·(2.5%)Í⣬·¢ÏÖ´ÅÌú¿ó¿ÅÁ£¾ßÓгàÌú¿óо£¬Æä³ß´ç(28-34nm)Ëæ¹ÌÌåÌúÁ¿µÄÔö¼Ó¶øÔö¼Ó¡£ÕâЩ»îÐÔÌ¿Äܹ»´ÓË®ÈÜÒºÖгýÈ¥¸ß´ï88%µÄÑǼ׻ùÀ¶£¬Ö÷ÒªÊÇͨ¹ý±»ÈÏΪ±È·Ò¶Ù·´Ó¦¸ü¿ìµÄȾÁÏÎü¸½¡£Ìú15%µÄ¹ÌÌåÊÇ×î»îÔ¾µÄ£¬Õâ¿ÉÒÔÓë±íÃæÉÏÌúµÄ×î¸ßÁ¿Ïà¹ØÁª£¬´Ù½ø·Ò¶Ù·´Ó¦£¬²¢ÔÚ»îÐÔÌ¿±íÃæÐγÉÄܹ»Îü¸½ÑǼ×À¶µÄйÙÄÜÍÅ¡£ÕâЩ»îÐÔÌ¿´ß»¯¼ÁµÄÖÆ±¸ºÍʹÓÿÉÒÔÓÐÖúÓÚ¿Ë·þµ±Ç°ÃæÁÙµÄÁ½¸öÎÊÌ⣺»·¾³ÖÐÓлú·ÏÎïµÄ¼õÉÙºÍά»¤Ë®×ÊÔ´µÄ·Ä֯Ʒ·ÏË®¾»»¯¡£
ÎÄÕ±êÇ©£ºÒ¬¿Ç»îÐÔÌ¿,¹û¿Ç»îÐÔÌ¿,úÖÊ»îÐÔÌ¿,ľÖÊ»îÐÔÌ¿,·äÎÑ»îÐÔÌ¿,¾»Ë®»îÐÔÌ¿.±¾ÎÄÁ´½Ó£ºhttp://m.fdcnvt.cn/hangye/hy525.html
ÍÆ¼ö×ÊѶ
- 2026-02-25»îÐÔÌ¿Îü¸½´¦ÀíÆ¡¾Æ³§·ÏË®
- 2026-02-13»îÐÔÌ¿Îü¸½´¦Àíº¬¹¯·ÏÆø
- 2026-02-04»îÐÔÌ¿ÓÃÓÚ´Ó·ÏË®ÖÐÎü¸½È¥³ý΢Á¿ïÓºÍǦ
- 2026-01-28»îÐÔÌ¿½àÑÀ·ÛרÓÃ
- 2026-01-20»îÐÔÌ¿ÔÚ·ÏÆø´¦ÀíÖеÄһЩ³£Ê¶
- 2026-01-13»îÐÔÌ¿ÔÚ¾«ÖÆÌÇÉú²úÖеÄÍÑɫЧ¹û
- 2026-01-07»îÐÔÌ¿¶Ôßäßò»ùÀë×ÓÒºÌåµÄÎü¸½ÐÔÄÜ
- 2025-12-24»îÐÔÌ¿¸ÄÐÔÔöÇ¿¶ÔÒÒõ£°±»ù·ÓµÄÎü¸½
- 2025-12-15»îÐÔÌ¿Îü¸½Âí¶µÁåËá
- 2025-11-27³¬Ï¸»îÐÔÌ¿5000Ä¿·ÛÄ©»îÐÔÌ¿
- 2025-11-26»îÐÔÌ¿ÔÚÁò»¯Ï𽺳ÄÌ×ÖеÄÓ¦ÓÃ
- 2025-11-19»îÐÔÌ¿Îü¸½Öؾ§Ê¯»ìºÏÎïÖеÄͺÍп
