µç»°£º13570151199
´«Õ棺020-39972520
ÓÊÏ䣺hanyan@hanyancarbon.com
µØÖ·£º¹ã¶«Ê¡¹ãÖÝÊз¬Ø®Çø¶«»·½Ö·¬Ø®´óµÀ±±555ºÅÌì°²×ܲ¿ÖÐÐÄ30ºÅÂ¥6²ã
¡¡¡¡éÏéÓÍ·ÏË®ÖзÓÀ໯ºÏÎï´¦ÀíÓÉ´ó¶à¶¼ÓÉ»îÐÔÌ¿À´Îü¸½£¬±¾ÆÚ´ø´ó¼ÒÁ˽â»îÐÔÌ¿µÄÎü¸½¼ÁÁ¿ºÍζȵÄÓ°Ïì¡£ÔÚ×î¼ÑÌõ¼þÏÂ(ÿ100ºÁÉý8¿Ë»îÐÔÌ¿)£¬Ã¿¿Ë»îÐÔÌ¿±íʾµ±Á¿mgµÄ»îÐÔÌ¿µÄ×î´óÎü¸½ÈÝÁ¿Îª10.8¡æÊ±Îª35.8¡æ£¬25¡æÎª35.4¡æ£¬40¡æÊ±Îª36.1¡æ C¡£Î±¶þ½×Ä£Ðͱ»ÈÏΪÊÇ×îÊʺÏÓÚ¶¯Á¦Ñ§½á¹û£¬²¢ÇÒÑ¡ÔñLangmuirµÈÎÂÏßÀ´¸üºÃµØÃèÊöÎü¸½ÏµÍ³¡£½á¹û֤ʵÁË»îÐÔÌ¿´ÓéÏéÓÍÁ÷³öÎïÖм¸ºõ³ýÈ¥ËùÓзÓÀ໯ºÏÎﲿ·ÖµÄЧÂÊ¡£
¡¡¡¡éÏéÓÍÐÐÒµ²úÉú¾Þ´óµÄ»·¾³Ó°ÏìµÄ·ÏÎï¡£×÷ΪÖ÷ÒªµÄéÏéÓÍÌáÈ¡²ÐÁôÎïÖ®Ò»µÄéÏéÓÍ·ÏË®ÊǺ¬ÓкÛÁ¿éÏ齬£¬¹û½ººÍÓ͵ÄËáÐÔÒºÌå(pH = 5-5.5)¡£´ËÍ⣬¾Ý±¨µÀÓлúÎïÖÊ£¬ÌرðÊǶà·ÓµÄ´æÔÚÓëÕâÖÖ·ÏÎï¶ÔÍÁÈÀ£¬Ë®ÉúºÍ¿ÕÆøÉú̬ϵͳµÄ¸ºÃæÓ°ÏìÓйء£ÒÑÖª´óÁ¿·ÓÀ໯ºÏÎÓÎÀëÖ¬·¾ËáºÍÎÞ»úÑÎÊÇéÏéÓÍ·ÏË®µÄ¸ßÖ²Îï¶¾ÐÔºÍÉúÎï½µ½âÐÔ²îµÄÖ÷ÒªÔÒò¡£Òò´Ë£¬Ô½À´Ô½ÖØÊÓÕÒµ½ºÏÊʵķ½·¨À´¿ØÖÆÕâÖÖÎÛȾÎï¡£ºóÀ´·¢ÏÖÓûîÐÔÌ¿¿ÉÒԺܺõĿØÖÆÓлúÎïµÄÎÛȾ¡£

¡¡¡¡½üÀ´£¬´ó·¶Î§µÄʹÓûîÐÔÌ¿À´ÓÃÓÚÈ¥³ýË®ÐÔÓлúÎïÖÊ¡£»îÐÔÌ¿¶ÔÓڽϵͷÖ×ÓÁ¿µÄÓлú»¯ºÏÎïÈç·ÓÀà¾ßÓÐÍêÃÀµÄÎü¸½ÄÜÁ¦¡£ÔÚ»îÐÔÌ¿ÉϵÄÎü¸½ÊÇÆäÖÐÎïÖÊÔÚÁ½ÏàÖ®¼äµÄ½çÃæ´¦»ýÀÛµÄÎïÀí»ò»¯Ñ§¹ý³Ì¡£»îÐÔ̿ͨ¹ý·Ö×ÓÓë΢¿×»ò½é¿×µÄ±ÚµÄÎüÒýÏ໥×÷ÓÃÀ´Îü¸½ÎïÖÊ¡£»îÐÔÌ¿ÒѾ±»ÓÃ×÷ÓÐЧµÄÎü¸½¼Á£¬ÓÃÓÚ³ý³ô£¬ÈܼÁ»ØÊÕ£¬ÍÑÉ«£¬ÍÑÂÈ£¬³ôÑõäÎÃð£¬H 2 S / CS 2È¥³ý£¬»Æ½ð»ØÊÕ£¬¹ýÂË£¬È¼Æø¾»»¯£¬¹¤Òµ·ÏË®´¦Àí£¬ÒûÓÃË®¾»»¯µÈ¡£¡£ËäÈ»ÒѾ±¨µÀÁ˹ØÓÚ´Ó»îÐÔ̿ˮÈÜÒºÖÐÎü¸½·ÓÀ໯ºÏÎïµÄÄÚÈÝ£¬µ«ÊǶà×é·ÖÈÜÒºÎü¸½µÄÌØÐÔºÜÉÙÓÐÈ˹Ø×¢¡£¶à·Ó×÷ΪÉúÎï»îÐÔ»¯ºÏÎïµÄÖØÒªÐÔ´ÙʹÎÒÃÇͨ¹ýÎü¸½µ½»îÐÔÌ¿ÉÏ´Ó·ÏË®ÖлØÊÕ¶à·Ó£¬ÒòΪͨ¹ý½âÎüÓлú»¯ºÏÎïÔÙÉúÎü¸½¼ÁµÄ¹ý³Ì¶ÔÓÚĿǰµÄÑо¿¹¹³ÉÁËÒ»¸öÖØÒªµÄÎÊÌ⣬ÒòΪËüÃǶÔÎü¸½¼Á¾ßÓиßÇ׺ÍÁ¦±íÃæ¡£¼¸ÖÖ¼¼Êõ£¬È绯ѧ½µ½âºÍ³¬ÉùÒѱ»ÓÃÓÚ´Ó»îÐÔÌ¿½âÎü·Ó¡£NaOHÈÜÒº±»Ö¤Ã÷ÊÇÓÐЧµÄͨ¹ýÐγɱ½·ÓÄÆÑδӻîÐÔÌ¿»ØÊÕÎü¸½µÄ·ÓÀàÎïÖÊ£¬Õâ¿ÉÒÔ´Ù½ø½âÎü¡£²»Í¬µÄÒòËØÓ°ÏìÎü¸½ÄÜÁ¦£¬ÈçÎü¸½¼Á¿×϶½á¹¹µÄÎïÀíÐÔÖÊ£¬¹ÙÄÜÍÅ£¬±»Îü¸½ÎïµÄÐÔÖÊ£¬·Ö×ÓÁ¿£¬´óСºÍÈÜÒºÌõ¼þ(pHºÍÀë×ÓÇ¿¶È)¡£±íÃæµçºÉÓëpHµÄ±ä»¯¿ÉÓ°Ïì·ÓÀàµÄ¿ÉÄæºÍ²»¿ÉÄæÎüÊÕ¡£Õâ¿ÉÄÜÊÇÓÉÓÚ·ÓÀ໯ºÏÎïËæ×ÅpH½µµÍ¶øÔö¼ÓµÄ»îÐÔ£¬²¢ÇÒ¶ÔÓÚ¿ÉÈÜÐÔÉãÈ¡µÄÓ°ÏìÔÚ»¯ºÏÎïpHÖµÔ¶µÍÓÚÈÜÖÊp K aʱӦ¸ÃÊÇ×îСµÄ¡£¿ÉÒÔ´Ó²»¿ÉÄæÎü¸½µÄÒÀÀµÐԵóö½áÂÛ£º·ÓÀ໯ºÏÎïµÄÑõ»¯Å¼ÁªÔÚ¼îÐÔϱÈÔÚËáÐÔ½éÖÊÖиüÈÝÒס£
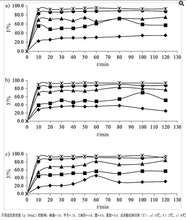
¡¡¡¡»îÐÔ̿Ũ¶ÈÓëζȵÄÓ°Ïì
¡¡¡¡ËùÓûîÐÔÌ¿µÄŨ¶ÈÊÇ¿ØÖÆÎü¸½µÄÖØÒªÒòËØ¡£ÖÚËùÖÜÖª£¬Î¶ÈÊÇÓ°ÏìÈκÎÎü¸½¹ý³ÌµÄ¸½¼ÓÒòËØ¡£Òò´Ë£¬ÔÚÈý¸ö²»Í¬µÄζȣ¬ÊÒÎÂ(25¡æ)£¬¸ßÓÚ(40¡æ)ºÍ²¨ÎƹÜ(10¡æ)ϽøÐвâÊÔ¡£ÎªÁ˹۲ìζȺÍÎü¸½¼ÁÁ¿¶Ô¶à·ÓÎü¸½µÄͬʱӰÏ죬Îü¸½¼ÁŨ¶È´Ó1ÖÁ8g / 100mL±ä»¯¡£Ê¹ÓÃÏàͬÊýÁ¿µÄ·ÏË®(25mL)ºÍºã¶¨µÄ·ÓŨ¶È(3.0mg / mL)½øÐв»Í¬µÄ²âÊÔ£¬µ«¸Ä±ä»îÐÔÌ¿µÄÁ¿(0.25¡¢0.5¡¢1.0¡¢1.5ºÍ2.0g)¡£ÔÚͼÖпÉÒԹ۲쵽²»Í¬Î¶ÈϵÄÎü¸½Ç÷ÊÆ¡£

¡¡¡¡ÔÚÿ¸ö²âÁ¿Î¶ÈÏ£¬Îü¸½Á¿(q e)Ëæ×Å»îÐÔ̿Ũ¶ÈµÄÔö¼Ó¶ø½µµÍ¡£ÔڽϸßŨ¶ÈµÄ»îÐÔÌ¿(8 g / 100mL)Ï£¬±íÃæ»îÐÔλµãÓëÎü¸½ÎïÖÊ·Ö×ӵı¥ºÍ¶È²»»áµ¼Ö¸ü¶àµÄÏÔ×ÅÎü¸½¡£½«³õʼ·ÓŨ¶ÈΪ0.01g / LµÄ·ÏË®ÖеĻîÐÔ̿Ũ¶È´Ó0.02Ôö¼Óµ½0.14g£¬µ¼ÖÂ5%µÄÔö¼ÓÔÚ±½·ÓµÄÎü¸½ÖС£ÔÚ»îÐÔ̿Ũ¶ÈΪ8g / 100mLʱ£¬ÔÚ²»Í¬µÄÊ©¼ÓζÈÏÂûÓй۲쵽Ã÷ÏԵı仯£¬ÀýÈçÔÚ10,25ºÍ40¡æÏµÄÎü¸½ÈÝÁ¿·Ö±ðΪ35.8,35.4ºÍ36.1mg / g¡£·ÓÀà¶Ô¿ÅÁ£»îÐÔÌ¿µÄÎü¸½ÄÜÁ¦Ëæ×ÅζȵĽµµÍ¶øÔö¼Ó¡£
¡¡¡¡Ê¹Óò»Í¬Å¨¶ÈµÄ»îÐÔÌ¿(1¡¢2¡¢4¡¢6ºÍ8g / 100mL)ºÍζÈ(10,25ºÍ45¡æ)½øÐÐÅú´ÎÎü¸½ÊÔÑ飬ÓÃÓÚ´ÓéÏéÄ¥·ÏË®ÖгýÈ¥·ÓÀ໯ºÏÎï¡£ÔÚ×î¼ÑÌõ¼þÏÂ(8g»îÐÔÌ¿/ 100mL)£¬»îÐÔÌ¿µÄ×î´óÎü¸½ÈÝÁ¿ÔÚ10¡æÎª35.8mg / g£¬25¡æÎª35.4mg / g£¬ÔÚ40¡æÎª36.1mg / g¡£Í¨¹ýLangmuirµÈÎÂÏßÔÚÈý¸ö²»Í¬µÄζÈÏÂÁîÈËÂúÒâµØÄâºÏÁË×ܶà·ÓÎü¸½µÄƽºâÊý¾Ý¡£Î±¶þ½×Ä£ÐÍ(R 2 > 0.9204)Óëαһ½×Ä£ÐÍ(R 2<0.8750)Ïà±È¸üºÃµØ½âÊÍÁËÎü¸½¶¯Á¦Ñ§¡£¸ÃÑо¿µÄ½á¹û±íÃ÷£¬»îÐÔÌ¿¿ÉÒÔÓÐЧµØÓÃ×÷´ÓéÏéÓ͹¤Òµ·ÏË®ÖÐÈ¥³ý·ÓÀ໯ºÏÎïµÄÎü¸½¼Á¡£Ô¤´¦Àí·ÏË®×÷ΪÉúÎïÒÒ´¼Éú²úµÄÇå½àµ×Îï¾ßÓÐDZÁ¦£¬²¢ÔÚ»·¾³ºÍ¾¼Ã·½ÃæµÃµ½¶îÍâµÄºÃ´¦¡£´ËÍ⣬Îü¸½µÄ·ÓÀ໯ºÏÎï¿ÉÒÔÔÚʳƷ£¬»¯×±Æ·¹¤ÒµÖлØÊպʹ¿»¯ºóʹÓá£
ÎÄÕ±êÇ©£ºÒ¬¿Ç»îÐÔÌ¿,¹û¿Ç»îÐÔÌ¿,úÖÊ»îÐÔÌ¿,ľÖÊ»îÐÔÌ¿,·äÎÑ»îÐÔÌ¿,¾»Ë®»îÐÔÌ¿.±¾ÎÄÁ´½Ó£ºhttp://m.fdcnvt.cn/hangye/hy521.html
ÍÆ¼ö×ÊѶ
- 2026-02-25»îÐÔÌ¿Îü¸½´¦ÀíÆ¡¾Æ³§·ÏË®
- 2026-02-13»îÐÔÌ¿Îü¸½´¦Àíº¬¹¯·ÏÆø
- 2026-02-04»îÐÔÌ¿ÓÃÓÚ´Ó·ÏË®ÖÐÎü¸½È¥³ý΢Á¿ïÓºÍǦ
- 2026-01-28»îÐÔÌ¿½àÑÀ·ÛרÓÃ
- 2026-01-20»îÐÔÌ¿ÔÚ·ÏÆø´¦ÀíÖеÄһЩ³£Ê¶
- 2026-01-13»îÐÔÌ¿ÔÚ¾«ÖÆÌÇÉú²úÖеÄÍÑɫЧ¹û
- 2026-01-07»îÐÔÌ¿¶Ôßäßò»ùÀë×ÓÒºÌåµÄÎü¸½ÐÔÄÜ
- 2025-12-24»îÐÔÌ¿¸ÄÐÔÔöÇ¿¶ÔÒÒõ£°±»ù·ÓµÄÎü¸½
- 2025-12-15»îÐÔÌ¿Îü¸½Âí¶µÁåËá
- 2025-11-27³¬Ï¸»îÐÔÌ¿5000Ä¿·ÛÄ©»îÐÔÌ¿
- 2025-11-26»îÐÔÌ¿ÔÚÁò»¯Ï𽺳ÄÌ×ÖеÄÓ¦ÓÃ
- 2025-11-19»îÐÔÌ¿Îü¸½Öؾ§Ê¯»ìºÏÎïÖеÄͺÍп
