µç»°£º13570151199
´«Õ棺020-39972520
ÓÊÏ䣺hanyan@hanyancarbon.com
µØÖ·£º¹ã¶«Ê¡¹ãÖÝÊз¬Ø®Çø¶«»·½Ö·¬Ø®´óµÀ±±555ºÅÌì°²×ܲ¿ÖÐÐÄ30ºÅÂ¥6²ã
¡¡¡¡»îÐÔÌ¿Îü¸½ËáÐÔË®ÖеÄÉé
¡¡¡¡×÷ΪµØ¿ÇÖеÚ20Î»ÔªËØ£¬Éé´æÔÚÓÚ²»ÉÙÓÚ245ÖÖ¿óÎïÖС£ÕâЩ¿óÎïÖÐ×î³£¼ûµÄÊǶ¾É°£¬ÕâÖÖ¿óÎïͨ³£Óë¸ß½ð¿ó´²Ò»Æð·¢ÏÖ£¬Ñõ»¯Ê±»á²úÉúÉéºÍÁòÑõ»¯Ëá¡£Ôڲɿó¹ý³ÌÖУ¬µ±º¬Áò»¯Îï²ÄÁϱ©Â¶ÓÚ´óÆøÖеÄË®ºÍÑõÆøÊ±£¬Éé»áÊͷŵ½ËáÐÔ¿óɽÅÅË®ÖС£±¾ÖصãÑо¿Éú»îÐÔÌ¿µÄʹÓÃÒÔ¼°»îÐÔÌ¿±íÃæµÄ¸ÄÐÔ£¬ÒÔÈ¥³ýËáÐÔË®ÖеÄÉé(III)ºÍÉé(V)¡£ÕâÏ×÷ÃèÊöÁËÒ»ÖÖ»îÐÔÌ¿µÄ¸ßЧÎü¸½¼ÁµÄÐÂÓ±¿ª·¢£¬ÆäÔÚÉéÎïÖÊ»·¾³ÐÞ¸´ÖеÄÓ¦Óã¬ÌرðÊÇÉéÔÚ¸ÄÐÔ»îÐÔÌ¿±íÃæÎü¸½µÄ»úÖÆ¡£
¡¡¡¡»îÐÔÌ¿¶ÔAs(V)Îü¸½±È½Ï
¡¡¡¡ÎªÁ˱Ƚϸ÷ÖÖ»îÐÔÌ¿Îü¸½Éé(V)µÄЧ¹û£¬½«0.1¿Ë»îÐÔÌ¿Ìí¼Óµ½50mL/50ppmÉé(V)ÑùÆ·ÖС£½«ÑùÆ·ÒÔ150rpm½Á°è6Сʱ£¬È»ºó¹ýÂË£¬È»ºó¶ÔÂËÒº½øÐÐÔªËØ·ÖÎö¡£ÎªÁ˱Ƚϲ»Í¬»îÐÔÌ¿»ùÖʵĹ¦Ð§£¬ÒÔÿ¿Ë»îÐÔÌ¿Îü¸½µÄÉé(V)ºÁ¿ËÊý(mg/g)À´±È½ÏÏà¶ÔÓÚÌí¼ÓµÄ»îÐÔÌ¿Á¿µÄÎü¸½¡£ÈçͼËùʾÊý×Öͼ1£¬ÓëÌú¡¢Ã̺ÍÌú/ÃÌÒ»Æð¹ÙÄÜ»¯ºó£¬ÉéµÄÎü¸½ÓÐÏÔןÄÉÆ¡£

¡¡¡¡Í¼1£º±È½Ï¸÷ÖÖ»îÐÔÌ¿£¬Ñо¿±©Â¶6СʱºóÉé(V)µÄÎü¸½Ð§ÂÊ¡£
¡¡¡¡Óëδ¸ÄÐԵĻîÐÔÌ¿Ïà±È£¬ËùÓнðÊô¸ÄÐԵĻîÐÔÌ¿¶¼ÏÔʾ³ö¶ÔÉé(V)µÄÎü¸½Ôö¼Ó¡£¸ºÔص¥Ò»½ðÊôµÄ»îÐÔÌ¿¶Ô¸ºÔØÌúºÍ¸ºÔØÃ̵ĻîÐÔÌ¿µÄÎü¸½Á¿·Ö±ðΪ4.86±0.17ºÍ6.02±0.16mg/g£¬¶øÎ´¸ÄÐԵıê×¼»îÐÔÌ¿µÄÎü¸½Á¿Îª2.08±0.11mg/g¡£Í¨¹ýÔÚ±íÃæ¸ºÔØÌúºÍÃ̵Ä×éºÏ£¬Îü¸½Ð§Âʸü¼ÓÏÔ×ÅÌá¸ß£¬ÉéÎü¸½Á¿´ïµ½12.88±0.58mg/g¡£»îÐÔÌ¿ÔÚÓÃÌúÃÌ»ìºÏÎ﹦ÄÜ»¯ºóÒ²½øÐÐÁ˲âÊÔ¡£¹Û²ìµ½Îü¸½ÄÜÁ¦´Ó8.46±0.34mg/gÌá¸ßµ½15.55±1.09mg/g¡£ÕâÑù×öÊÇΪÁËÖ¤Ã÷±íÃæ¹¦ÄÜ»¯ÔÚÎü¸½ÖÐÆð׏ؼü×÷Ó㬲¢ÇÒ¼´Ê¹ÒÔ½µµÍ±È±íÃæ»ýΪ´ú¼Û£¬Ò²¿ÉÒÔͨ¹ý±íÃæ¹¦ÄÜ»¯µÄ¸ÄÐÔÀ´Ìá¸ß¸ß±íÃæ»ý²ÄÁϵÄÎü¸½ÄÜÁ¦¡£
¡¡¡¡½ðÊô¸ÄÐÔ»îÐÔÌ¿ÉéÎü¸½Ç°ºóµÄXPS±íÕ÷
¡¡¡¡ÌúÃ̸ÄÐÔ»îÐÔÌ¿ÉéÎü¸½Ç°ºóµÄFe2p3/2¡¢Mn2p3/2ºÍAs2p3/2XPS·åÐźŵĽâ¾í»ý¡¢ÎïÖÖ·ÖÅäºÍ×Ü·åÃæ»ý°Ù·Ö±ÈÖС£Çë×¢Ò⣬Fe2O3¡¢Fe3O42+¡¢Fe3O43+¡¢FeOOH¡¢MnO¡¢MnOOHºÍMnO2ÎïÖÖµÄʶ±ðÒòÕâЩÌúºÍÃ̵ÄÖÚËùÖÜÖªµÄXPS¶àÖØ·ÖÁѶø±äµÃ¸ü¼Ó¸´ÔÓÎïÖÖ¡£26-28FeMn¸ºÔصĻîÐÔÌ¿ÉéÎü¸½ºóµÄFe2p¡¢Mn2pºÍAs2p½â¾í»ýµÄXPSÆ×Èçͼ2Ëùʾ×÷Ϊÿ¸ö»îÐÔÌ¿ÑùÆ·µÄÏà¹Ø·åÈ¥¾í»ýµÄʾÀý¡£

¡¡¡¡Í¼2£º¸ºÔØFeMnµÄ»îÐÔÌ¿¡¢AsÆØ¹âºóµÄFe(×óÉÏ)¡¢Mn(ÓÒÉÏ)ºÍAs(µ×²¿)XPS·åµÄ½â¾í»ý¡£
¡¡¡¡ÔÚ¸ºÔؽðÊôµÄ»îÐÔÌ¿Öй۲쵽µÄÉéÎü¸½Ôö¼ÓµÄÒ»ÖÖ¿ÉÄܵĽâÊÍÊÇÉ黯ÎïµÄÐγɡ£Èç¹ûÉ黯ÎïµÄÐγÉÊÇÎü¸½Ôö¼ÓµÄÔÒò£¬ÔòÉé2p3/2·åµÄXPS¹âÆ×½«ÏÔʾÉ黯ÎïµÄBEΪ1322.9eV¡£ÓÉÓÚ¸ÃÇøÓò²»´æÔڷ壬Òò´Ë²»»áÐγÉÉ黯Î²¢ÇÒÔÚ¾¹ýFe¡¢MnºÍFeMn´¦ÀíµÄ»îÐÔÌ¿Öй۲쵽µÄÉéÎü¸½Ôöǿһ¶¨ÊÇͨ¹ý²»Í¬µÄ»úÖÆÊµÏֵġ£¸ù¾ÝÎÒÃǶÔÉ鱩¶ǰºÍºóµÄº¬ÌúºÍÃ̸ºÔصĻîÐÔÌ¿ÑùÆ·µÄ±íÕ÷£¬ÎÒÃǵóö½áÂÛ£¬¿ÉÄܻᷢÉúÑõ»¯/»¹Ô·´Ó¦¡£ÕâÓëXPS½á¹ûÒ»Ö£¬ÌرðÊǶÔÓÚÉé2p3/2·å£¬±íÃ÷´æÔÚÓÚ»îÐÔÌ¿²ÄÁϱíÃæµÄÉéÎïÖʱ»»¹ÔΪÉé(III)¡£
¡¡¡¡»îÐÔÌ¿µÄÎü¸½»úÖÆ
¡¡¡¡Ìú»ùÉéÎü¸½ÒԹ۲쵽ԤÎü¸½ÉéµÄFeMn»îÐÔÌ¿±íÃæµÄÌúÎïÖÊÖ÷ÒªÊÇFe2O3ºÍFeOOHÎïÖÊ£¬·Ö±ðÕ¼ÌúÎïÖʵÄ32%ºÍ53%¡£½Ó´¥Ééºó£¬ÕâЩ°Ù·Ö±ÈÏÔ×űäΪ1.7%Fe2O3ºÍ82%FeOOH¡£pH3.0ÈÜÒºÖÐÉé(V)µÄÐÎ̬ÒÑ֪ΪH2AsO4–£¬Îü¸½ºóAs2p3/2·åµÄXPSÏÔʾ£¬Éé(V)ÔÚÎü¸½¹ý³ÌÖÐÏÔ×Å»¹ÔΪÉé(III)¡£Îü¸½¹ý³Ì¡£
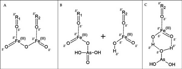
¡¡¡¡ÔÚ¹¦ÄÜ»¯¹ý³ÌÖУ¬Ìú±»¸ºÔص½»îÐÔÌ¿±íÃæ£¬²¢Í¨¹ýż¼«-ż¼«·Ö×Ó¼äÁ¦ÎïÀíÎü¸½µ½±íÃæ£¬Èçͼ3AËùʾ£¬ÆäÖÐR´ú±í»îÐÔÌ¿¡£ÌúµÄ¸ß¶ÈÇ×ÑõÌØÐÔÊÇÉéµÄ´ø¸ºµçµÄÑõÐγÉÌú-Ñõ»¯Îï¼üµÄÀíÏë±íÃæ£¬½«Fe2O3ÎïÖÊ·Ö½â³ÉFeOO–¿ÉÒÔË®½âΪFeOOHºÍÉéµÄÖмäÎïÖʺÍÌúͨ¹ý¹²ÏíµÄÑõ½áºÏ£¬Èçͼ3BËùʾ¡£ÕâÖÖÖмäÌå»á±»»îÐÔÌ¿Öеĵç×Ó¿ìËٷֽ⣬ʹÓÃÌú×÷Ϊµ¼Ì壬µç×Ó¿ÉÒÔ×ÔÓɵØÁ÷ÏòÉ飬²¢½«ÉéÎïÖÊ´ÓÉé(V)»¹ÔΪÉé(III)¡£ÔÚÕâÖÖÇé¿öÏ£¬Ìú½ö³äµ±µç×ÓÁ÷¶¯µÄͨµÀ£¬¶ø»îÐÔÌ¿±¾ÉíÔò³äµ±»¹Ô¼Á¡£ÕâÊǸù¾ÝÌúµÄXPSÐÎ̬µÃÖªµÄ£¬ÆäÖÐFe(III)ÈÔΪFe(III)£¬±íÃ÷Ëü²»Êdz䵱»¹Ô¼Á£¬¶øÊdz䵱µç×Óµ½´ïÉéµÄ´©Ëó»ú¡£ÔÚ´Ë»¹Ô¹ý³ÌÖУ¬ÉéµÄ»¯Ñ§¼ü½«´ÓÌúÎïÖÊÉϵĹ²ÏíÑõÖжÏÁÑ£¬²¢ÇÒ»¹ÔµÄÉé(III)ÎïÖʽ«Í¨¹ýÇâ¼üÎïÀíÎü¸½µ½»îÐÔÌ¿µÄÔØÌú±íÃæ£¬Èç¹Û²ìµ½µÄÔÚͼ3C¡£

¡¡¡¡Í¼3£º(A)ÏÔʾÎïÀíÎü¸½µ½»îÐÔÌ¿±íÃæµÄÌú¡£(B)ÏÔʾÁËÓÉÓÚ±©Â¶ÓÚÉé¶øÐγɵÄÁ½ÖÖÌú²úÎïFeOOHºÍÖмäÌåFeO–O–AsH2O3¡£(C)ÏÔʾÁË»¹ÔµÄAs(III)£¬ÕâÊǵç×Ó´Ó»îÐÔÌ¿Á÷¹ýÌúµÄ½á¹û£¬Í¨¹ýÇâ¼üÎïÀíÎü¸½µ½ÔØÌú±íÃæ¡£
¡¡¡¡Ã̸ÄÐÔ»îÐÔÌ¿µÄÎü¸½»úÖÆ
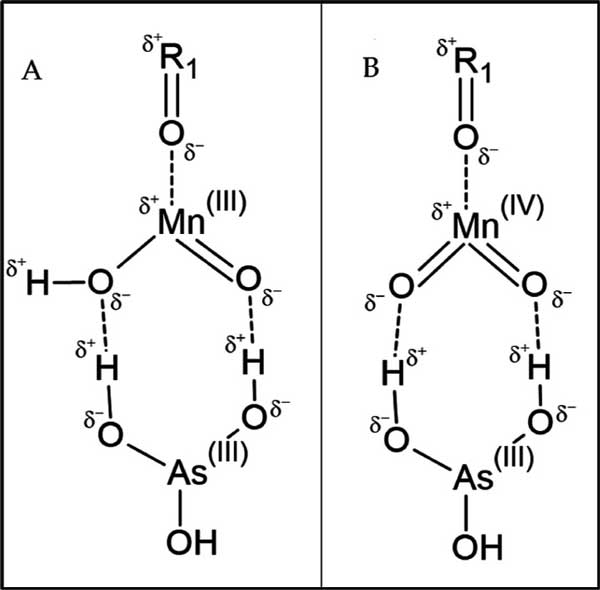
¡¡¡¡ÔÚXPS½á¹û¿ÉÒԹ۲쵽MnOÎïÖÊÏÔ׿õÉÙ£¬´ÓÎü¸½Ç°µÄ27%¼õÉÙµ½±©Â¶ºóµÄ15%¡£MnOÎïÖʵļõÉÙµ¼Ö»îÐÔÌ¿ÉÏ´æÔÚµÄMnOOHºÍMnO2ÎïÖʵÄÔö¼Ó¡£ÓëÌú»ùÉéÎü¸½ÀàËÆ£¬ÔÚ»îÐÔÌ¿¹¦ÄÜ»¯¹ý³ÌÖУ¬MnOͨ¹ýż¼«-ż¼«Ï໥×÷ÓÃÎïÀíÎü¸½µ½»îÐÔÌ¿±íÃæ¡£ÓëÌú²»Í¬£¬¶ÔÓÚÃÌ£¬¿ÉÒԹ۲쵽Á½ÖÖ²»Í¬µÄ¹ý³Ì¡£µÚÒ»¸ö¹ý³ÌÊǽ«ÃÌ(II)Ñõ»¯ÎªÃÌ(III)¡£Ôڴ˹ý³ÌÖУ¬Éé´ÓÁ½¸ö²»Í¬µÄÃÌ·Ö×ÓÖжáȡһ¸öµç×Ó£¬ÈçÑõ»¯»¹Ô·´Ó¦¡£¸Ã·´Ó¦½«Ê¹ÓÃÃÌ×÷Ϊ»¹Ô¼Á½«Éé(V)»¹ÔΪÉé(III)£¬Éé(III)½«Í¨¹ýÇâ¼üÓëÔڴ˹ý³ÌÖÐÐγɵÄMnOOHÎïÖÊ·¢ÉúÎïÀíÎü¸½£¬ÈçÔÚÊý×Öͼ4A¡£

¡¡¡¡Í¼4£º(A)ÏÔʾ·´Ó¦(1)µÄ²úÎÆäÖÐMnO±»Ñõ»¯ÎªMnOOH¡£(B)ÏÔʾ·´Ó¦(2)µÄ²úÎÆäÖÐMnO±»Ñõ»¯³ÉMnO2¡£As(III)ͨ¹ýÇâ¼üÎïÀíÎü¸½µ½¸ºÔØMnµÄ±íÃæ¡£
¡¡¡¡ÓëÉÏÃæÌá³öµÄÌú»ùÎü¸½²»Í¬£¬»îÐÔÌ¿²»²ÎÓëÎü¸½µÄÑõ»¯»¹Ô¹ý³Ì£¬ÈçÔÚÌú»ùÎü¸½Öй۲쵽µÄÄÇÑù¡£ÔÚÕâÖÖÇé¿öÏ£¬»îÐÔÌ¿ÌṩÁËÒ»¸öÖØÒªµÄ±íÃæ£¬»¯Ñ§·´Ó¦¿ÉÒÔÔڸñíÃæÉÏ·¢Éú£¬ÒÔ±ãÉé¿ÉÒÔ±»Îü¸½²¢´ÓÈÜÒºÖÐÈ¥³ý¡£
¡¡¡¡»îÐÔÌ¿¶ÔÉéµÄÎü¸½¶¯Á¦Ñ§
¡¡¡¡Éé(V)¶¯Á¦Ñ§ÇúÏßʹÓøºÔؽðÊôµÄ»îÐÔÌ¿¡¢±ê×¼»îÐÔÌ¿ºÍÉÌÒµ»îÐÔÌ¿¶ÔÉé(V)µÄÎü¸½¶¯Á¦Ñ§½øÐÐÁËÆÀ¹À£¬½á¹ûÏÔʾÔÚͼ5¡£¶ÔÓÚÿÖÖ̼²ÄÁÏ£¬Éé(V)µÄÎü¸½ÔÚ6Сʱºó´ïµ½Æ½ºâ¡£±ê×¼»îÐÔÌ¿ÏÔʾ³ö×îµÍµÄÎü¸½ÈÝÁ¿£¬6Сʱºó´ïµ½×Ü¿ÉÄÜÎü¸½Á¿µÄ8.13±0.16%¡£¸ºÔØÌúµÄ»îÐÔÌ¿ºÍ¸ºÔØÃ̵ĻîÐÔÌ¿¾ù±íÏÖ³ö±È±ê×¼»îÐÔÌ¿¸ü¸ßµÄÎü¸½ÈÝÁ¿£¬±íÃ÷±íÃæµÄ½ðÊô¸ºÔØÈ·ÊµÌá¸ßÁË»îÐÔÌ¿µÄÎü¸½ÈÝÁ¿¡£¸ºÔØÌúºÍ¸ºÔØÃ̵ĻîÐÔÌ¿Ôڶ̽Á°èʱ¼äºÍ³¤½Á°èʱ¼ä϶ÔÉéµÄÎü¸½¾ù±È±ê×¼»îÐÔÌ¿ÓÐÏÔןÄÉÆ£¬6Сʱºó·Ö±ð´ïµ½19.90±0.71ºÍ23.21±0.23%¡£

¡¡¡¡Í¼5£ºËùÑо¿µÄ¸÷ÖÖ»îÐÔÌ¿µÄAs(V)Îü¸½¶¯Á¦Ñ§ÇúÏß¡£ÉéÎü¸½ÒÔÎü¸½°Ù·Ö±È¸ø³ö£¬×î´óÎü¸½(¼´100%)Ϊ25mg/g¡£
¡¡¡¡¸´ºÏÌúÃÌ»îÐÔÌ¿ÏÔʾ³ö×î¸ßµÄÎü¸½ÈÝÁ¿£¬6СʱºóµÄÎü¸½Á¿´ïµ½×ÜÎü¸½Á¿µÄ50.93±1.17%¡£Õâ±íÃ÷±È±ê×¼»îÐÔÌ¿ºÍµ¥½ðÊô¸ºÔØ»îÐÔÌ¿¶¼ÓÐÏÔןĽø¡£ÌúÃ̸ºÔØ»îÐÔÌ¿µÄ¶þԪϵͳÐͬ¹¤×÷£¬ÔÚÎü¸½¹ý³ÌÖÐÀûÓÃÁËÉÏÊöËùÓÐÎü¸½»úÖÆ£¬Ê¹µÃÎü¸½ÈÝÁ¿±Èµ¥½ðÊô¸ºÔØ»îÐÔÌ¿²ÄÁÏÔö¼Ó¸ü¶à¡£
¡¡¡¡»îÐÔÌ¿Îü¸½ËáÐÔË®ÖеÄÉ飬ʹÓýðÊô²ôÔÓ»îÐÔÌ¿Îü¸½Éé(V)ºÍÉé(III)¡£»îÐÔÌ¿µÄ½ðÊô¸ºÔص¼ÖÂÉéµÄÎü¸½ÄÜÁ¦ÏÔ×ÅÔö¼Ó£¬³¬¹ýÁË»ù×¼ÉÌÒµ»îÐÔÌ¿¡£¸ù¾Ý±íÃæ»ýºÍ΢¿×ÂʹéÒ»»¯µÄÎü¸½ÄÜÁ¦±È½Ï±íÃ÷£¬»îÐÔÌ¿±íÃæµÄ¹¦ÄÜÐÔÊDZȸ߱íÃæ»ý»ò´ó΢¿×ÂʸüÖØÒªµÄÎü¸½ÒòËØ¡£¶þÔªÌúÃ̸ºÔØ»îÐÔÌ¿¶ÔÉéµÄÎü¸½Ô¶Ô¶³¬¹ýÆäËûÑо¿µÄ»îÐÔÌ¿¡£»îÐÔÌ¿µÄXPSÏÔʾÉéÎü¸½ºó»îÐÔÌ¿ÉÏ´æÔÚµÄÌúºÍÃ̵ÄÐÎ̬·¢ÉúÏÔ×ű仯£¬´Ó¶øµÃ³öÉéͨ¹ýÑõ»¯»¹Ô·´Ó¦ÎïÀíÎü¸½µ½¸ºÔؽðÊôµÄ±íÃæµÄ½áÂÛ¡£Ê¹Óø÷½·¨Éú²úµÄ»îÐÔÌ¿¿ÉÓÐЧÎü¸½ÈÜÒºÖеÄÉéÎïÖÊ£¬ÊÇʹÓûîÐÔ̿ȥ³ýË®ÖÐÉéÎÛȾµÄÒ»ÖÖ¾¼ÃÓÐЧµÄ·½·¨¡£
ÎÄÕ±êÇ©£ºÒ¬¿Ç»îÐÔÌ¿,¹û¿Ç»îÐÔÌ¿,úÖÊ»îÐÔÌ¿,ľÖÊ»îÐÔÌ¿,·äÎÑ»îÐÔÌ¿,¾»Ë®»îÐÔÌ¿.±¾ÎÄÁ´½Ó£ºhttp://m.fdcnvt.cn/hangye/hy1226.html
ÍÆ¼ö×ÊѶ
- 2026-02-25»îÐÔÌ¿Îü¸½´¦ÀíÆ¡¾Æ³§·ÏË®
- 2026-02-13»îÐÔÌ¿Îü¸½´¦Àíº¬¹¯·ÏÆø
- 2026-02-04»îÐÔÌ¿ÓÃÓÚ´Ó·ÏË®ÖÐÎü¸½È¥³ý΢Á¿ïÓºÍǦ
- 2026-01-28»îÐÔÌ¿½àÑÀ·ÛרÓÃ
- 2026-01-20»îÐÔÌ¿ÔÚ·ÏÆø´¦ÀíÖеÄһЩ³£Ê¶
- 2026-01-13»îÐÔÌ¿ÔÚ¾«ÖÆÌÇÉú²úÖеÄÍÑɫЧ¹û
- 2026-01-07»îÐÔÌ¿¶Ôßäßò»ùÀë×ÓÒºÌåµÄÎü¸½ÐÔÄÜ
- 2025-12-24»îÐÔÌ¿¸ÄÐÔÔöÇ¿¶ÔÒÒõ£°±»ù·ÓµÄÎü¸½
- 2025-12-15»îÐÔÌ¿Îü¸½Âí¶µÁåËá
- 2025-11-27³¬Ï¸»îÐÔÌ¿5000Ä¿·ÛÄ©»îÐÔÌ¿
- 2025-11-26»îÐÔÌ¿ÔÚÁò»¯Ï𽺳ÄÌ×ÖеÄÓ¦ÓÃ
- 2025-11-19»îÐÔÌ¿Îü¸½Öؾ§Ê¯»ìºÏÎïÖеÄͺÍп
