µç»°£º13570151199
´«Õ棺020-39972520
ÓÊÏ䣺hanyan@hanyancarbon.com
µØÖ·£º¹ã¶«Ê¡¹ãÖÝÊз¬Ø®Çø¶«»·½Ö·¬Ø®´óµÀ±±555ºÅÌì°²×ܲ¿ÖÐÐÄ30ºÅÂ¥6²ã
¡¡¡¡»îÐÔÌ¿Îü¸½½µµÍº£Ë®ÖÐÁòËá¸ùÀë×Ó
¡¡¡¡Ñغ£µØÇøº£Ë®·á¸»£¬º£ÑÎÉú²ú¾ßÓÐÏÔ×ÅÓÅÊÆ¡£È»¶ø£¬Èç¹ûÔÓÖÊ´¦ÀíµÃ²»ºÃ£¬»áÓ°Ï캣ÑεÄÖÊÁ¿¡£º£ÑÎÖг£¼ûÔÓÖÊÈçCaSO4¡¢MgCl2ºÍMgSO4¡£ÕâЩÔÓÖÊÔ´×Ôº£Ë®ÖдæÔڵĸ÷ÖÖÀë×Ó£¬°üÀ¨ÂÈ»¯Îï¡¢ÄÆ¡¢ÁòËáÑΡ¢Ã¾¡¢¸ÆºÍ¼Ø¡£´ËÍ⣬ÑÎÖдæÔÚµÄÔÓÖÊ»á´Ù½øË®·ÖÎüÊÕ£¬²¢½µµÍÆäÏÌ棬¿ÉÄܵ¼ÖÂʳÑÎÏûºÄÁ¿Ôö¼Ó¡£±¾Ñо¿µÄÄ¿µÄÊÇÑо¿ÀûÓÃËáÏ´¼ÁÀ´Ìá¸ßÒ¬¿Ç»îÐÔÌ¿µÄÐÔÄÜ£¬ÒÔ½µµÍº£Ë®ÖÐÁòËá¸ùÀë×ӵĺ¬Á¿¡£×÷Ϊº£ÑÎÉú²úÔÁϵĺ£Ë®º¬Óнϸߺ¬Á¿µÄÁòËá¸ùÀë×ÓÔÓÖÊ¡£´Óº£Ë®ÖÐÈ¥³ýÁòËá¸ùÀë×Ó¶ÔÓÚ×î´óÏ޶ȵؼõÉÙº£Ñνᾧ¹ý³ÌÖеÄÔÓÖÊÖÁ¹ØÖØÒª¡£¸ÃÑо¿Ê¹ÓÃÁËÁ½ÖÖÀàÐ͵ĻîÐÔÌ¿£ºÎ´¾½øÒ»²½´¦ÀíµÄ»îÐÔÌ¿ºÍËáÏ´»îÐÔÌ¿¡£
¡¡¡¡Îü¸½º£Ë®ÖеÄÁòËá¸ùÀë×Ó
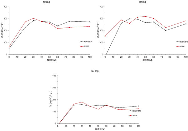
¡¡¡¡ÊµÑéÖлñµÃµÄÎü¸½½á¹ûÔÚͼ1ÃèÊö¡£µ±²»Ìí¼ÓËáÏ´¼Áʱ£¬Á½ÖÖ»îÐÔÌ¿ÔÚÓÃÁ¿Îª40mgʱ¶¼±íÏÖ³öÏà¶Ô½ÏµÍµÄÁòËá¸ùÀë×ÓÎü¸½Á¿¡£½«»îÐÔÌ¿ÓÃÁ¿Ôö¼ÓÖÁ50mgµ¼Ö»îÐÔÌ¿µÄÁòËáÑÎÎü¸½Ôö¼Ó£¬¶øËáÏ´»îÐÔÌ¿µÄÁòËáÑÎÎü¸½¼õÉÙ¡£È»¶ø£¬µ±ÓÃÁ¿½øÒ»²½Ôö¼ÓÖÁ60mgʱ£¬Á½ÖÖ»îÐÔÌ¿ÀàÐ͵ÄÁòËá¸ùÀë×ÓÎü¸½¾ùδ¹Û²ìµ½ÏÔ×ű仯¡£º£Ë®ÖдæÔÚ¶àÖÖÀë×Ó£¬ÎªÁòËá¸ùÀë×ÓÔÚ»îÐÔÌ¿ÉϵÄÎü¸½´´ÔìÁ˾ºÕù»·¾³¡£º£Ë®ÖÐÄÆ¡¢ÂÈ¡¢Ã¾µÈÀë×ÓŨ¶È½Ï¸ß´Ù½øÁËÎü¸½Î»µãµÄ¾ºÕù£¬´Ó¶øÏÞÖÆÁËÁòËá¸ùÀë×ÓµÄÎü¸½¡£´ËÍ⣬º£Ë®Ïà¶Ô½Ï¸ßµÄpHÖµÒ²¿ÉÄÜÓ°ÏìÎü¸½¹ý³Ì¡£ÖÚËùÖÜÖª£¬ÔڽϸߵÄpHֵϣ¬»îÐÔÌ¿ÍùÍù¶ÔÑôÀë×Ó¶ø²»ÊÇÒõÀë×Ó±íÏÖ³ö¸üºÃµÄÎü¸½×÷Óá£ÕâЩÒòËØ¿ÉÄܵ¼ÖÂÔÚûÓÐËáÏ´µÄÇé¿öϹ۲쵽µÄÎü¸½Á¿Ïà¶Ô½ÏµÍ¡£

¡¡¡¡Í¼1£ºÌí¼ÓËáÏ´¼ÁµÄ»îÐÔÌ¿ÓÃÁ¿Îª40¡¢50ºÍ60mgʱµÄÁòËá¸ùÀë×ÓÎü¸½ÄÜÁ¦¡£
¡¡¡¡»îÐÔÌ¿µÄÎïÀíÌØÐÔ
¡¡¡¡»îÐÔÌ¿µÄÎïÀíÐÔÖÊ¡¢±È±íÃæ»ýºÍ¿×¾¶¾ö¶¨ÁË»îÐÔÌ¿µÄÎü¸½ÄÜÁ¦¡£»îÐÔÌ¿µÄÐÎ̬Êܵ½Ì¼²ÄÁϻ·½·¨µÄÓ°Ïì¡£±¾ÊµÑéÖÐʹÓõÄ̼ÊÇͨ¹ýÕôÆû·¨»î»¯µÄ¡£¸Ã·½·¨Ðγɿײ¢ÒýÈ뺬Ñõ¹ÙÄÜÍÅ¡£ËáÏ´»îÐÔÌ¿¾ßÓо¹ýËáÏ´´¦ÀíµÄ»îÐÔÌ¿¡£¸Ã´¦Àí½µµÍÁ˻ҷֺ¬Á¿£¬½µµÍÁËpHÖµ£¬²¢¸ÄÉÆÁË»îÐÔÌ¿µÄÇ×Ë®±íÃæ¡£ËáÏ´»îÐÔÌ¿µÄpHÖµµÍÓÚ»îÐÔÌ¿¡£Òò´Ë£¬¿ÉÒÔÔ¤²â»îÐÔÌ¿µÄ¼î¶È¸ßÓÚËáÏ´»îÐÔÌ¿¡£»îÐÔÌ¿µÄ»Ò·Öº¬Á¿¸ßÓÚËáÏ´»îÐÔÌ¿¡£´Óͼ2¿ÉÒÔ¿´³ö£¬ËáÏ´ºó¿´ÆðÀ´±È»îÐÔÌ¿¸É¾»£¬ÒòΪÎÞ»úÔÓÖʼõÉÙÁË¡£¾¡¹ÜÓм£Ïó±íÃ÷»Ò·Öº¬Á¿»áÓ°Ïì̼¼î¶È£¬µ«Éв»Çå³þ»Ò·Öº¬Á¿¶ÔÎü¸½ÄÜÁ¦ÓкÎÓ°Ïì¡£

¡¡¡¡Í¼2£ºSEMÏÔ΢ÕÕÆ¬(A)ËáÏ´»îÐÔÌ¿(B)»îÐÔÌ¿¡£
¡¡¡¡»îÐÔÌ¿µÄ»ù±¾¹¦ÄÜ
¡¡¡¡´ÓË®ÈÜÒº(ÀýÈ纣ˮ)ÖÐÎü¸½Àë×ÓÒÀÀµÓÚÎü¸½Îï(Àë×Ó)ºÍÎü¸½¼Á(»îÐÔÌ¿)Ö®¼äµÄ¾²µçÏ໥×÷Óá£ÕâÖÖÏ໥×÷ÓÃÊܵ½Ì¼²ÄÁϱíÃæ¹¦ÄܵÄÓ°Ïì¡£¾ßÌå¶øÑÔ£¬ÔÚÒõÀë×ÓÎü¸½(ÀýÈçÁòËá¸ùÀë×Ó)µÄÇé¿öÏ£¬¼îÐÔ̼±íÃæÎ»µãµÄ´æÔÚÆð×ÅÖÁ¹ØÖØÒªµÄ×÷Ó᣻îÐÔÌ¿ÉϵÄÕâЩ¼îÐÔλµãÓë·¼Ïã̼»·µÄ¹²Õñπµç×ÓÏà¹Ø£¬¸Ãµç×Ó¶ÔÖÊ×Ó¾ßÓÐÇ׺ÍÁ¦¡£»îÐÔÌ¿µÄ»ù±¾±íÃæ¹ÙÄÜÍŰüÀ¨¾ßÓлù±¾ÌØÕ÷µÄº¬Ñõ»ùÍÅ£¬ÀýÈçɫϩ½á¹¹¡¢¶þͪ»òõ«»ùÍÅÒÔ¼°ÀàßÁà«Íª»ùÍÅ¡£´ËÍ⣬º¬µª¹ÙÄÜÍÅ»¹¿ÉÒÔÔöÇ¿»îÐÔÌ¿µÄ¼îÐÔ¡£
¡¡¡¡ËáÏ´¶Ô»îÐÔÌ¿Îü¸½ÁòËá¸ùÀë×ÓµÄ×÷ÓÃ
¡¡¡¡¾¡¹ÜËáÏ´»îÐÔÌ¿µÄ±íÃæÌØÕ÷±íÃ÷ÆäÔÚ¿×Ìå»ýºÍ¹ÙÄÜÍÅ·½Ãæ¾ßÓÐÓÅÔ½ÐÔ£¬µ«Î´¾½øÒ»²½´¦ÀíµÄ»îÐÔÌ¿µÄÎü¸½ÈÝÁ¿¸ßÓÚËáÏ´»îÐÔÌ¿¡£ÕâÒ»¹Û²ì½á¹û¿ÉÒÔͨ¹ý½«Ó²ËáºÍÈíËáºÍ¼î¸ÅÄîÓ¦ÓÃÓÚ»îÐÔÌ¿À´½âÊÍ£¬º£Ë®Öз¢ÏÖµÄÖ÷ÒªÀë×ÓÓÉÓ²ËáºÍÓ²¼î×é³É£¬ËüÃÇÓë»îÐÔÌ¿±íÃæ´æÔڵĹÙÄÜÍŵÄÏ໥×÷ÓÿÉÒÔʹÓÃÕâ¸ö¸ÅÄîÀ´½âÊÍ¡£µ±º£Ë®Óë»îÐÔÌ¿»ìºÏʱ£¬Ì¼±íÃæµÄ¹ÙÄÜÍÅ·¢ÉúµçÀ롣λÓÚ̼»ùÃæ±ßÔµ»òÄ©¶ËµÄ»ù±¾¹ÙÄÜÍűíÏÖ³ö¸ß·´Ó¦ÐÔ²¢×î³õÓëÁòËá¸ùÀë×ÓÏ໥×÷Óá£È»¶ø£¬ÔÚÕý³£pHÌõ¼þÏ£¬ËáÏ´»îÐÔÌ¿ºÍ»îÐÔÌ¿ÖÐÁòËá¸ùÀë×ÓµÄÎü¸½Á¿¶¼ºÜС¡£Õâ¿ÉÄÜÊÇÓÉÓÚÁòËá¸ùÀë×ÓÓë¹²´æÒõÀë×Ó(ÀýÈçÂÈÀë×Ó¡¢Á×Ëá¸ùºÍÏõËá¸ù)Ö®¼ä¾ºÕùÎü¸½ÔÚ»îÐÔÌ¿µÄ¹ÙÄÜÍÅÉÏ¡£Ôö¼Ó»îÐÔÌ¿µÄÓÃÁ¿»áÔÚÈÜÒºÖÐÒýÈë¸ü¶àµÄ¹ÙÄÜÍÅ£¬µ«¾¡¹ÜËáÏ´»îÐÔÌ¿¾ßÓиü¶àµÄ¼îÐÔ¹ÙÄÜÍÅ£¬µ«Óë»îÐÔÌ¿Ïà±È£¬ËáÏ´»îÐÔÌ¿µÄÁòËáÑÎÎü¸½Á¿½ÏµÍ¡£
¡¡¡¡Ñо¿µÄÇ¿¶ÈºÍ¾ÖÏÞÐÔ
¡¡¡¡ÊµÑé½á¹û±íÃ÷£¬Î´¾¶îÍâ´¦ÀíµÄ»îÐÔÌ¿ÔÚÁòËá¸ùÀë×ÓÎü¸½·½ÃæÓÅÓÚËáÏ´»îÐÔÌ¿¡£´ËÍ⣬ÓÉÓÚÐèÒª¶îÍâµÄËáÏ´¹ý³Ì£¬ËáÏ´»îÐÔÌ¿µÄ³É±¾½Ï¸ß¡£È»¶ø£¬Ó¦¸ÃÖ¸³öµÄÊÇ£¬»îÐÔÌ¿ÖеÄÎü¸½ÂÊËæ×ÅËáÏ´¼ÁŨ¶ÈµÄÔö¼Ó¶øÊµÏÖ¡£Òò´Ë£¬ÔÚÓÅ»¯»îÐÔÌ¿ÀàÐÍ¡¢ÓÃÁ¿ºÍËáÏ´¼ÁŨ¶ÈµÄ×éºÏʱ£¬ÓбØÒª¿¼ÂǼ¼Êõ¾¼Ã·½Ã棬ÒòΪĿǰµÄÑо¿²¢Î´¿¼ÂÇÕâÒ»·½Ãæ¡£¾¡¹Ü´æÔÚÕâÖÖÏÞÖÆ£¬µ«¿¼Âǵ½»îÐÔÌ¿µÄ³ÐÊÜÄÜÁ¦£¬ÕâÖÖ·½·¨¿ÉÒÔ×÷Ϊ¾»»¯º£ÑεĿÉÐÐÌæ´ú·½°¸¡£
¡¡¡¡»îÐÔÌ¿Îü¸½½µµÍº£Ë®ÖÐÁòËá¸ùÀë×ÓµÄÑо¿±íÃ÷£¬Ìí¼ÓËáÏ´¼Á¿ÉÒÔÔöǿҬ¿Ç»îÐÔÌ¿¶Ôº£Ë®ÖÐÁòËá¸ùÀë×ÓµÄÎü¸½ÄÜÁ¦¡£ÔÚÑо¿ÖÐʹÓõÄÁ½ÖÖ»îÐÔÌ¿ÖУ¬ÓëËáÏ´»îÐÔÌ¿Ïà±È£¬Î´¾´¦ÀíµÄ»îÐÔÌ¿±íÏÖ³ö¸ü¸ßµÄÁòËá¸ùÀë×ÓÈ¥³ýÄÜÁ¦¡£ËáÏ´¼ÁÔÚÔö¼ÓÈÜÒºÖÐË®ºÏÇâÀë×ÓµÄŨ¶È·½Ãæ·¢»Ó×ÅÖÁ¹ØÖØÒªµÄ×÷Óá£ÁòËá¸ùÀë×ÓµÄÎü¸½Ê×ÏÈ·¢ÉúÔÚ¼îÐÔ¹ÙÄÜÍÅ´¦£¬Ëæºóͨ¹ýË®ºÏÇâÀë×ӵĴæÔÚ¶ø·¢ÉúÔÚ̼»ùÃæÉÏ¡£»îÐÔÌ¿ÔÚ̼»ùÃæÉϱÈËáÏ´»îÐÔ̿ӵÓиü¶àµÄ¼îÐÔλµã£¬ÕâʹµÃ»îÐÔÌ¿ÔÚÎüÒýË®ºÏÇâÀë×ÓÒÔ½áºÏº£Ë®ÖеÄÁòËá¸ùÀë×Ó·½Ãæ¾ßÓÐÓÅÒìµÄÐÔÄÜ¡£
ÎÄÕ±êÇ©£ºÒ¬¿Ç»îÐÔÌ¿,¹û¿Ç»îÐÔÌ¿,úÖÊ»îÐÔÌ¿,ľÖÊ»îÐÔÌ¿,·äÎÑ»îÐÔÌ¿,¾»Ë®»îÐÔÌ¿.±¾ÎÄÁ´½Ó£ºhttp://m.fdcnvt.cn/hangye/hy1204.html
ÍÆ¼ö×ÊѶ
- 2026-02-25»îÐÔÌ¿Îü¸½´¦ÀíÆ¡¾Æ³§·ÏË®
- 2026-02-13»îÐÔÌ¿Îü¸½´¦Àíº¬¹¯·ÏÆø
- 2026-02-04»îÐÔÌ¿ÓÃÓÚ´Ó·ÏË®ÖÐÎü¸½È¥³ý΢Á¿ïÓºÍǦ
- 2026-01-28»îÐÔÌ¿½àÑÀ·ÛרÓÃ
- 2026-01-20»îÐÔÌ¿ÔÚ·ÏÆø´¦ÀíÖеÄһЩ³£Ê¶
- 2026-01-13»îÐÔÌ¿ÔÚ¾«ÖÆÌÇÉú²úÖеÄÍÑɫЧ¹û
- 2026-01-07»îÐÔÌ¿¶Ôßäßò»ùÀë×ÓÒºÌåµÄÎü¸½ÐÔÄÜ
- 2025-12-24»îÐÔÌ¿¸ÄÐÔÔöÇ¿¶ÔÒÒõ£°±»ù·ÓµÄÎü¸½
- 2025-12-15»îÐÔÌ¿Îü¸½Âí¶µÁåËá
- 2025-11-27³¬Ï¸»îÐÔÌ¿5000Ä¿·ÛÄ©»îÐÔÌ¿
- 2025-11-26»îÐÔÌ¿ÔÚÁò»¯Ï𽺳ÄÌ×ÖеÄÓ¦ÓÃ
- 2025-11-19»îÐÔÌ¿Îü¸½Öؾ§Ê¯»ìºÏÎïÖеÄͺÍп
