µç»°£º13570151199
´«Õ棺020-39972520
ÓÊÏ䣺hanyan@hanyancarbon.com
µØÖ·£º¹ã¶«Ê¡¹ãÖÝÊз¬Ø®Çø¶«»·½Ö·¬Ø®´óµÀ±±555ºÅÌì°²×ܲ¿ÖÐÐÄ30ºÅÂ¥6²ã
¡¡¡¡»îÐÔÌ¿ÍѸ½·ÖÀë»ú»¯ºÏÎïµÄ»úÀí
¡¡¡¡VOCs²úÉú¹ã·º£¬Ö÷ÒªÀ´×ÔÆû³µÎ²ÆøÅÅ·Å¡¢¹¤ÒµÅÅ·Å¡¢ÃºÌ¿ºÍÉúÎïȼÁÏȼÉÕ¡¢²ñÓÍÆûÓÍ»òÌìÈ»ÆøÐ¹Â©ºÍ»Ó·¢¡£VOCsÊǽüµØ±íO3µÄÖ÷Òª·´Ó¦ÎïÖ®Ò»¡£Ò»Ð©VOCs¾ßÓлîÆÃµÄ»¯Ñ§ÐÔÖÊ£¬½øÈë´óÆøºó¿ÉÄܵ¼Ö²úÉú¹â»¯Ñ§ÑÌÎíºÍ¶þ´ÎÎÛȾÎ¶Ô¿ÕÆøÖÊÁ¿ºÍÈËÀàÉú²ú»î¶¯Ôì³ÉÑÏÖØÎ£º¦¡£±¾ÆÚÑо¿Á˱Õʽѻ·±äÎÂÍѸ½¹ý³ÌÖлîÐÔÌ¿Îü¸½´²·ÖÀë»Ó·¢ÐÔÓлú»¯ºÏÎï(VOCs)µÄ»úÀí¡£ÒÔ²»Í¬Å¨¶ÈµÄ¼×±½ÆøÌå×÷Ϊ±Õʽѻ·±äÎÂÍѸ½ÆøÌ壬ÔÙÉú¼×±½±¥ºÍµÄ»îÐÔÌ¿´²²ã¡£
¡¡¡¡Îü¸½ÊµÑé×°Öúͷ½·¨
¡¡¡¡¶¯Ì¬Îü¸½¼¼ÊõÓÃÓÚ²âÁ¿¼×±½Îü¸½Æ½ºâµÈÎÂÏß¡£Í¼1ÃèÊöÁËʵÑé×°Öá£Í¨¹ý¸Ã×°ÖûñµÃÎü¸½±¥ºÍµÄ»îÐÔÌ¿¡£ÔÚ²»Í¬µÄζȺÍŨ¶ÈÏ£¬²âÁ¿Á˼ױ½µÄ±¥ºÍÎü¸½ÈÝÁ¿¡£Èë¿ÚζȺͼױ½Å¨¶ÈÉ趨Ϊ25–180¡æºÍ5–50g/m3¡£»îÐÔÌ¿Îü¸½µÄ¼×±½ÆøÌåŨ¶ÈΪ15g/m3¡£Ê¹ÓÃÖØÁ¿·ÖÎö¼¼Êõ²âÁ¿Îü¸½µÈÎÂÏß¡£ÊµÑé×°ÖÃÒÔʵÑéÊÒ»·¾³¿ÕÆøÎªÆøÔ´£¬Í¨¹ý¹Ä·ç»ú½«¿ÕÆøËÍÈë×°Öá£Ôڹ轺¸ÉÔï×°ÖÃÖгýȥˮÕôÆøºó£¬Í¨¹ýÊýÏÔÖÊÁ¿Á÷Á¿¼ÆµÄ¿ØÖÆ£¬°´¼ÆËã³öµÄ±ÈÀý·Ö³ÉÁ½Â·¡£µ¥ÏòÆøÁ÷ÒÔÉ趨Ũ¶È½øÈëÆøÌå·¢Éú×°Ö㬼´¼×±½»Ó·¢ºóµÄÔØÆø£¬ÔÚÆøÌ建³åÊÒÖÐÓë·´ÏòÁ÷¶¯µÄÏ¡ÊÍÆøÌå³ä·Ö»ìºÏºó½øÈëÎü¸½ÏµÍ³¡£ÔÚÎü¸½ÏµÍ³ÖУ¬Îü¸½Öù½ôÃܾùÔȵØÌî³äCTC100»îÐÔÌ¿¿ÅÁ££¬²¢ÓÃÌú¼Ü´¹Ö±·ÅÖÃÔÚÉ趨ʵÑéζȵĺãθÉÔïÏäÖС£»ìºÏ¼×±½ÆøÌåÊ×ÏÈÔÚºãθÉÔïÏäÄÚͨ¹ýÆøÌåÔ¤ÈȹܵÀ´ïµ½ÊµÑéζȣ¬È»ºó½øÈë×°ÓлîÐÔÌ¿µÄÎü¸½Öù½øÐÐÎü¸½ÊµÑé¡£Îü¸½ÆøÌåͨ¹ý¼ì²â¿Ú½øÈë¼ì²âϵͳ£¬ÖÇÄÜFIDͨ¹ýÁ¬Ðø²ÉÑù²âÁ¿¼×±½³ö¿ÚŨ¶È¡£µ±ÆøÌå·¢Éú×°ÖòúÉúµÄÈë¿ÚŨ¶ÈÓëÖÇÄÜFID¼ì²âµÄ³ö¿ÚŨ¶ÈÒ»ÖÂʱ£¬Îü¸½ÖùÖеĻîÐÔÌ¿´ïµ½Îü¸½Æ½ºâ¡£Îü¸½ÆøÌåͨ¹ý¼ì²â¿Ú½øÈë¼ì²âϵͳ£¬ÖÇÄÜFIDͨ¹ýÁ¬Ðø²ÉÑù²âÁ¿¼×±½³ö¿ÚŨ¶È¡£µ±ÆøÌå·¢Éú×°ÖòúÉúµÄÈë¿ÚŨ¶ÈÓëÖÇÄÜFID¼ì²âµÄ³ö¿ÚŨ¶ÈÒ»ÖÂʱ£¬Îü¸½ÖùÖеĻîÐÔÌ¿´ïµ½Îü¸½Æ½ºâ¡£Îü¸½ÆøÌåͨ¹ý¼ì²â¿Ú½øÈë¼ì²âϵͳ£¬ÖÇÄÜFIDͨ¹ýÁ¬Ðø²ÉÑù²âÁ¿¼×±½³ö¿ÚŨ¶È¡£µ±ÆøÌå·¢Éú×°ÖòúÉúµÄÈë¿ÚŨ¶ÈÓëÖÇÄÜFID¼ì²âµÄ³ö¿ÚŨ¶ÈÒ»ÖÂʱ£¬Îü¸½ÖùÖеĻîÐÔÌ¿´ïµ½Îü¸½Æ½ºâ¡£

¡¡¡¡Í¼1£º¶¯Ì¬Îü¸½ÊµÑé×°Öá£
¡¡¡¡È»ºó£¬ÎÒÃÇʹÓÃÍѸ½ÊµÑé×°ÖýøÐÐʵÑ飬¹Û²ìÎÛȾÎï´Ó»îÐÔÌ¿²ã·ÖÀëµÄÇé¿ö¡£Í¼2ÃèÊöÁËʵÑé×°Öá£ÔÚ0.2m/sºá½ØÃæ·çËÙºÍ150¡æ½âÎüζÈÌõ¼þÏ£¬±¥ºÍ»îÐÔÌ¿±»Å¨¶ÈΪ2¡¢5ºÍ10g/m3µÄ¼×±½ÆøÌå½âÎü¡£»îÐÔÌ¿²ã¸ß300ºÁÃס£Í¼1ʵÑé×°ÖÃͬ¼ÓÔØ·½Ê½ÓÃÓÚ²úÉúÒ»¶¨Å¨¶ÈµÄ¼×±½ÆøÌ壬ͨÈëºãθÉÔïÏäÖеÄÍѸ½µ¥Ôª¡£Èý¸ùʯӢ²£Á§Öù£¬Ã¿¸ù³¤10ÀåÃ×£¬ÄÚ¾¶4ÀåÃ×£¬×é³É½âÎüµ¥Ôª¡£Ê¯Ó¢²£Á§½âÎüÖùµ×²¿Ìî³ä5mmºñµÄʯӢɰ²ãÒÔÖ§³Å»îÐÔÌ¿²¢±£Ö¤ÆøÁ÷¾ùÔÈ¡£±¥ºÍ»îÐÔÌ¿ÔÚ²»Í¬¹¤¿öÏÂÍѸ½Á½¸öСʱ£¬Ã¿¸ö¼ì²â¿ÚÓÃÁ¬Ðø¼à²â¡£ÊµÑé½áÊøºó£¬ÎÒÃÇÓÃÌìÆ½³ÆÁ¿ÍѸ½ºóµÄ»îÐÔÌ¿¡£

¡¡¡¡Í¼2£º½âÎüʵÑé×°Öá£
¡¡¡¡±Õʽѻ·±äÎÂÍѸ½ÍѸ½Å¨¶ÈºÍÍѸ½Á¿·ÖÎö
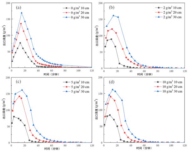
¡¡¡¡ÎªÁË̽¾¿²»Í¬¼×±½ÆøÌåÈë¿ÚŨ¶È¶Ô±Õʽѻ·±äÎÂÎü¸½ÖлîÐÔÌ¿½âÎü´«Öʹý³ÌµÄÓ°Ï죬ÎÒÃÇÉè¼ÆÁËËÄÖÖ²»Í¬µÄ¹¤¿ö¡£Èë¿ÚŨ¶ÈΪ0¡¢2¡¢5ºÍ10g/m3¡£ÎÒÃÇʹÓÃFID¼à²âÿ¸ö´²³ö¿Ú´¦µÄ¼×±½ÆøÌåŨ¶È¡£½âÎüµ¥ÔªÓÉÈý²ã½âÎüÖù×é³É¡£Í¼3ÏÔʾÁ˾ßÓв»Í¬±³¾°Å¨¶È(È¥³ý±³¾°Å¨¶È)µÄÿ¸ö´²³ö¿Ú´¦µÄ³ö¿ÚŨ¶ÈÇúÏß¡£

¡¡¡¡Í¼3£º¾ßÓв»Í¬±³¾°Å¨¶ÈµÄÿ¸ö´²³ö¿ÚµÄ¼×±½ÆøÌå³ö¿ÚŨ¶ÈÇúÏß¡£(a)0g/m3£¬(b)2g/m3£¬(c)5g/m3£¬(d)10g/m3¡£
¡¡¡¡ÔÚËùÓб³¾°Å¨¶ÈµÄÍѸ½Å¨¶ÈÇúÏßÖУ¬¸÷´²²ã³ö¿Ú¶Î¼×±½Å¨¶ÈѸËÙÉÏÉýµ½Ò»¸ö·åÖµ£¬È»ºóѸËÙϽµ£¬×îºóÎȶ¨ÔÚ±³¾°Å¨¶È¡£10cm´¦²âµÃµÄ¼×±½³ö¿ÚŨ¶È´ïµ½·åֵʱ¼ä×î¶Ì£¬·åֵŨ¶È×îµÍ¡£Õû¸öʵÑé¹ý³ÌÖÐ10cm´¦µÄ³ö¿ÚŨ¶È×îµÍ£¬Íê³ÉÍѸ½´ïµ½Æ½ºâµÄʱ¼ä×î¶Ì¡£30cm´¦´ïµ½·åŨ¶ÈµÄʱ¼ä×£¬·åŨ¶È×î¸ß¡£ÔÚÕû¸öʵÑé¹ý³ÌÖУ¬30cm´¦µÄ³ö¿ÚŨ¶ÈʼÖÕÊÇ×î¸ßµÄ£¬Íê³É½âÎüµÄʱ¼äÒ²ÊÇ×µÄ¡£ÕâÊÇÒòΪÔÚ»îÐÔÌ¿½âÎü¹ý³ÌÖУ¬ºó¶Ë»îÐÔÌ¿´²Á¬ÐøÎü¸½Ç°¶ËÍѸ½µÄ¸ßŨ¶È¼×±½¡£Ç°¶Ë»îÐÔÌ¿´²ÍѸ½Å¨¶ÈѸËÙϽµºó£¬ºó¶Ë»îÐÔÌ¿´²²»ÔÙÊÜǰ¶ËÍѸ½Ó°Ï죬ÍêÈ«¿ªÊ¼ÍѸ½¡£
¡¡¡¡ÎÒÃÇÔÚͼ3ÖбȽÏÁ˲»Í¬±³¾°Å¨¶Èϵijö¿ÚŨ¶ÈÇúÏß¡£ÔÚ²»Í¬µÄ±³¾°Å¨¶ÈÏ£¬´ïµ½·åÖµµÄʱ¼äûÓÐÃ÷ÏԱ仯£¬·åֵûÓÐÃ÷ÏÔÔö¼Ó»ò¼õÉÙ¡£Ëæ×ű³¾°Å¨¶ÈµÄ²»¶ÏÔö¼Ó£¬´ÓÍêÈ«ÍѸ½µ½Æ½ºâÎȶ¨µÄʱ¼äËõ¶Ì¡£ÕâÊÇÒòΪÒýÈëÌØ¶¨Å¨¶ÈµÄ¼×±½½øÐнâÎüÔö¼ÓÁ˽âÎüƽºâµÄ³ö¿ÚŨ¶È¡£Í¨¹ý¶Ôͼ3ÖÐÍѸ½Å¨¶ÈÇúÏß½øÐлý·Ö£¬µÃµ½²»Í¬±³¾°Å¨¶Èϸ÷´²²ãµ¥Ôª»îÐÔÌ¿³ö¿Ú¼×±½ÍѸ½Á¿¡£¸÷´²²ãµ¥Î»»îÐÔÌ¿¼×±½ÍѸ½Á¿´ÓÁ㿪ʼ£¬¶Ìʱ¼äÄÚѸËÙÉÏÉý£¬È»ºóÇ÷ÓÚÆ½ÎÈÎȶ¨¡£µ¥Î»»îÐÔÌ¿ÔÚ10cm´¦µÄ¼×±½ÍѸ½Á¿×î¸ß£¬´ïµ½¹ÕµãÎȶ¨µÄʱ¼ä×î¿ì¡£µ¥Î»»îÐÔÌ¿ÔÚ30cm´¦µÄ¼×±½ÍѸ½Á¿×îµÍ£¬´ïµ½¹ÕµãÎȶ¨µÄʱ¼ä×îÂý¡£×îºó£¬Ã¿²ãµ¥Î»»îÐÔÌ¿µÄ¼×±½ÍѸ½Á¿ÏàµÈ¡£
¡¡¡¡±Õʽѻ·±äÎÂÍѸ½¶¯Ì¬Ä£Äâ·ÖÎö
¡¡¡¡ÎªÁËÑо¿²»Í¬±³¾°Å¨¶ÈµÄ±Õʽѻ·±äÎÂÍѸ½¶Ô»îÐÔÌ¿²ãÖÐÎü¸½ÖÊÇ¨ÒÆµÄÓ°Ï죬ͨ¹ýÑо¿ÍѸ½ËÙÂÊ£¬Ñо¿ÁËÍѸ½¹ý³ÌÖмױ½ÔÚ»îÐÔÌ¿´²²ãÖ®¼äµÄÍѸ½¶¯Á¦Ñ§¡£µ±±¥ºÍ»îÐÔÌ¿±»Çå½àÆøÌå½âÎüʱ£¬½âÎüËÙÂʳ£Êý½ÏµÍ¡£Bangham³£ÊýËæ×ű³¾°Å¨¶ÈµÄÔö¼Ó¶øÔö¼Ó¡£ÈýÖÖ¶¯Á¦Ñ§Ä£Ð͵ĽâÎüËÙÂʳ£ÊýËæ×Å»îÐÔÌ¿´²³¤µÄÔö¼Ó¶ø½µµÍ¡£ÕâÀàËÆÓÚÆ½¾ùÍѸ½ÂʺÍ˲ʱÍѸ½ÂʵķÖÎö¡£±íÃ÷ÔÚ±Õ»·Îü¸½Ìõ¼þÏ£¬µ±´µÉ¨Ò»¶¨Å¨¶ÈµÄ¼×±½Ê±£¬»îÐÔÌ¿µÄŨ²î¼«»¯²ã±»ÆÆ»µ¡£ÍâÀ©É¢´«ÖÊЧ¹ûÔöÇ¿µÄͬʱ£¬ÄÚ´«ÖÊ×èÁ¦½µµÍ¡£
¡¡¡¡»îÐÔÌ¿ÍѸ½·ÖÀë»ú»¯ºÏÎïµÄ»úÀí£¬Ñ¡Ôñ¼×±½×÷Ϊ±¾´ÎÑо¿µÄVOC´ú±íÄ¿±êÎÛȾÎï¡£ÒÔÍѸ½Á¿¡¢Æ½¾ùÍѸ½ÂʺÍ˲ʱÍѸ½ÂÊ×÷ΪÆÀ¼ÛÒòËØ£¬Ä£ÄâÁË»îÐÔÌ¿²ã³¤¡¢ÍѸ½ÆøÌå±¾µ×Ũ¶ÈµÈ¹¤ÒÕÌõ¼þ¡£´ÓʵÑé½á¹ûµÃ³ö½áÂÛ£¬»îÐÔÌ¿ÍѸ½Ê±£¬ºó¶Ë»îÐÔÌ¿´²²»¶ÏÎüÊÕǰ¶ËÍѸ½µÄ¸ßŨ¶È¼×±½¡£Ç°¶Ë»îÐÔÌ¿´²ÍѸ½Å¨¶ÈѸËÙϽµºó£¬ºó¶Ë»îÐÔÌ¿´²²»ÔÙÊÜǰ¶ËÍѸ½Ó°Ï죬¿ªÊ¼ÍêÈ«ÍѸ½¡£µ±±¾µ×Ũ¶ÈΪ0g/m3ʱ£¬»îÐÔÌ¿ÔÚ20ºÍ30cm´¦120minµÄ¼×±½ÍѸ½Á¿×î´ó£¬¾ùΪ0.403g/g¡£²»Í¬±³¾°Å¨¶ÈÏÂµÄÆ½¾ù½âÎüËÙÂʾù³ÊÏÖÏÈÉÏÉýºóϽµµÄÇ÷ÊÆ£¬ÔÚÏàͬµÄ½âÎüζȺͽØÃæ·çËÙÏ£¬±³¾°Å¨¶ÈÔ½¸ß£¬½âÎüÁ¿Ô½´óÔÚÿ¸ö´²³ö¿ÚºÍµ½´ïµÄʱ¼äÔ½¿ì¡£±¾Ñо¿½«Îª¸ü¹ã·º¡¢¸ü¾«È·¡¢¸ü¸ßЧµØÓ¦ÓûîÐÔÌ¿±Õʽѻ·±äÎÂÍѸ½VOCsÌṩÀíÂÛ¿ò¼Ü¡£
ÎÄÕ±êÇ©£ºÒ¬¿Ç»îÐÔÌ¿,¹û¿Ç»îÐÔÌ¿,úÖÊ»îÐÔÌ¿,ľÖÊ»îÐÔÌ¿,·äÎÑ»îÐÔÌ¿,¾»Ë®»îÐÔÌ¿.±¾ÎÄÁ´½Ó£ºhttp://m.fdcnvt.cn/hangye/hy1176.html
ÍÆ¼ö×ÊѶ
- 2026-02-25»îÐÔÌ¿Îü¸½´¦ÀíÆ¡¾Æ³§·ÏË®
- 2026-02-13»îÐÔÌ¿Îü¸½´¦Àíº¬¹¯·ÏÆø
- 2026-02-04»îÐÔÌ¿ÓÃÓÚ´Ó·ÏË®ÖÐÎü¸½È¥³ý΢Á¿ïÓºÍǦ
- 2026-01-28»îÐÔÌ¿½àÑÀ·ÛרÓÃ
- 2026-01-20»îÐÔÌ¿ÔÚ·ÏÆø´¦ÀíÖеÄһЩ³£Ê¶
- 2026-01-13»îÐÔÌ¿ÔÚ¾«ÖÆÌÇÉú²úÖеÄÍÑɫЧ¹û
- 2026-01-07»îÐÔÌ¿¶Ôßäßò»ùÀë×ÓÒºÌåµÄÎü¸½ÐÔÄÜ
- 2025-12-24»îÐÔÌ¿¸ÄÐÔÔöÇ¿¶ÔÒÒõ£°±»ù·ÓµÄÎü¸½
- 2025-12-15»îÐÔÌ¿Îü¸½Âí¶µÁåËá
- 2025-11-27³¬Ï¸»îÐÔÌ¿5000Ä¿·ÛÄ©»îÐÔÌ¿
- 2025-11-26»îÐÔÌ¿ÔÚÁò»¯Ï𽺳ÄÌ×ÖеÄÓ¦ÓÃ
- 2025-11-19»îÐÔÌ¿Îü¸½Öؾ§Ê¯»ìºÏÎïÖеÄͺÍп
