µç»°£º13570151199
´«Õ棺020-39972520
ÓÊÏ䣺hanyan@hanyancarbon.com
µØÖ·£º¹ã¶«Ê¡¹ãÖÝÊз¬Ø®Çø¶«»·½Ö·¬Ø®´óµÀ±±555ºÅÌì°²×ܲ¿ÖÐÐÄ30ºÅÂ¥6²ã
¡¡¡¡»îÐÔÌ¿ÔöÖµÑáÑõÕÓÔüÔÔÅàÂÝÐýÔå
¡¡¡¡ÑáÑõÏû»¯Êǽ«ÓлúÎïת»¯ÎªÕÓÆøµÄÉúÎï¹ý³Ì£¬Í¨¹ýÑáÑõÏû»¯¹ý³ÌÔö¼ÓµÄÕÓÆø²úÁ¿ÒýÆðÁ˶ÔÒºÌåÏû»¯Îï¹ÜÀíµÄһЩÎÊÌ⣬Èç¹û´¦Àí²»µ±£¬¿ÉÄÜ»á´øÀ´Ò»Ð©»·¾³·çÏÕ¡£ÔÚ´¦ÀíÏû»¯ÎïµÄ²»Í¬¼¼ÊõÖУ¬Î¢ÔåºÍÀ¶ÔåÅàÑøÒѳÉΪһÖֿɳÖÐøµÄ·½·¨£¬¿ÉÒÔÔÚÏû»¯ÎïÖвúÉúÓмÛÖµµÄÉúÎïÖÊ£¬ÓÃÓÚÉú²úÉúÎïȼÁϺ͸߼ÛÖµÉúÎï²úÆ·¡£È»¶ø£¬ÒºÌåÏû»¯ÎïµÄÄÚÔÚ²ÎÊý¿ÉÒÔÇ¿ÁÒÏÞÖÆÎ¢Ôå»òÀ¶Ï¸¾úµÄÉú³¤ÒÔ¼°ÏÞÖÆ²ÐÓàÓªÑøÎïµÄÎüÊÕ¡£ÔÚÕâÏîÑо¿ÖУ¬»îÐÔÌ¿µÄ´¦ÀíDZÁ¦ÔÚÂÝÐýÔå֮ǰ¶Ôũҵ¹¤ÒµÒºÌåÕÓÔü½øÐÐÁËÆÀ¹ÀÔÔÅà¡£
¡¡¡¡ÑáÑõÏû»¯ÎïºÍ»îÐÔÌ¿
¡¡¡¡Ê¹ÓõÄÕÓÔüÊÇÔÚÕÓÆø³§ÊÕ¼¯µÄ£¬¸Ã¹¤Òµ³§·¿ÓÉÁ½¸ö7000m3µÄÏû»¯³Ø×é³É£¬ÔÚÖÐÎÂÌõ¼þÏÂÔËÐУ¬Æ½¾ù²úÉú511Nm3/hµÄ¼×Íé¡£ÔÁÏÖ÷ÒªÓÉũҵ²ÐÁôÎï¡¢¶¯Îï·à±ãºÍʳÎïÀ¬»ø×é³É¡£Ïû»¯ÒºÖ±½Ó´ÓÏû»¯¹ÞÖÐÈ¡Ñù£¬ËæºóÒÔ50µm¹ýÂËÒÔÈ¥³ý´ó¿ÅÁ£¡£¹ýÂ˺ó£¬ÔÚ²âÊÔ²»Í¬µÄÎü¸½¼Á֮ǰ½«Æä´¢´æÔÚ-20¡æ¡£»îÐÔÌ¿ÔÚ¸ßÓÚ 800¡æµÄζÈ϶ԲÄÁϽøÐÐÁËÈȻ¡£ÔÚ±¾Ñо¿ÖУ¬Í¨¹ý»ìºÏ20mLÏû»¯ÎïºÍ²»Í¬Îü¸½¼ÁŨ¶È(5¡¢10¡¢25¡¢50ºÍ100g/L)½øÐÐÏû»¯ÎïÔ¤´¦ÀíʵÑé¡£½«»ìºÏÎïÔÚÊÒÎÂÏÂÒÔ250rpmµÄËٶȱ£³Ö½Á°è2Сʱ¡£ÔÚʵÑé½áÊøÊ±£¬Ë«ÏàϵͳÒÔ10,000rpmÀëÐÄ5·ÖÖÓ£¬ÉÏÇåÒºÔÚ·ÖÎöǰÓÃ1.6µm¹ýÂËÆ÷¹ýÂË)¡£
¡¡¡¡À¶ÔåÅàÑøÊÔÑé
¡¡¡¡¶Û¶¥ÂÝÐýÔ彫¾úÖêÔÚλÓÚÎÂÊ񵀮øÅÝÖù¹âÉúÎï·´Ó¦Æ÷ÖÐÅàÑø²¢Î¬³ÖÊýÌ죬²¢ÌṩÅàÑø»ù(ÓÃÈí»¯Ë®Ï¡ÊÍÁ½´Î)ºÍ8g/L-NaHCO3¡£ÅàÑø45Ììºó£¬¶Û¶¥ÔåÅàÑøÎïµÄ¹âÃܶÈ(680nm´¦)´ïµ½1.6£¬È»ºóÓÃ×÷½ÓÖÖÎʹÓÃ200mLµÄ¹¤×÷Ìå»ýÔÚ250mL¹ÜÖнøÐÐÀ¶ÔåÅàÑø²â¶¨¡£½ÓÖÖÌå»ý¹Ì¶¨Îª×ܹ¤×÷Ìå»ýµÄ20%¡£ÓÃÈí»¯Ë®ºÍÔåÀà½ÓÖÖÎïÏ¡ÊÍ´¦Àí¹ýµÄÏû»¯ÎïºÍÔʼÏû»¯ÎÒÔ´ïµ½20ס¢40׺Í60×µÄÊʵ±Ï¡Êͱ¶Êý¡£ÎªÁËÆÀ¹ÀÊÇ·ñÓÐÈκÎÓªÑøÎïÖÊ´Ó½ÓÖÖÎï×ªÒÆµ½ÅàÑø»ùÖУ¬½«ÒõÐÔ¶ÔÕÕÔÚÏàͬÌõ¼þϽöÓÃÈí»¯Ë®ÅàÑø¡£ÔÚÏàͬÌõ¼þÏÂÑо¿ÁËʹÓÃÅàÑø»ùµÄÑôÐÔ¶ÔÕÕ¡£Ê¹ÓÃ16/8СʱµÄ¹â/°µÑ»·£¬È˹¤¹âÒÔ60µmol/m2/sµÄƽ¾ùÇ¿¶ÈÕÕÁÁ¹Ü×Ó¡£Í¨¹ýÒÔ0.5–1L/minµÄÁ÷ËÙÁ¬Ðø×¢Èë¿ÕÆø£¬Ê¹ÅàÑøÎï±£³Ö½Á°è״̬¡£
¡¡¡¡»îÐÔÌ¿Îü¸½ÊÔÑé
¡¡¡¡ÑáÑõÏû»¯¹ý³Ì²úÉúµÄÒºÌåÏû»¯ÎïÊÇÒ»ÖÖ¸´Ôӵĸ±²úÆ·£¬´æÔÚ¸÷ÖÖÍç¹Ì»¯ºÏÎͨ³£»áÒÖÖÆÀ¶ÔåÔöÖ³¡£Òò´Ë£¬Îü¸½Ô¤´¦Àí¿ÉÓÃÓÚ½µµÍÏû»¯ÎïµÄÕûÌå¶¾ÐÔ£¬ÒÔ´Ù½øÀ¶ÔåÉú³¤ºÍÑø·ÖÎüÊÕ¡£È»¶ø£¬Ó¦ÉîÈëÑо¿Ñ¡ÔñºÏÊʵÄÎü¸½Ìõ¼þ£¬ÒÔʵÏָ߽ⶾ·´Ó¦ºÍÏà¶Ô½ÏµÍµÄÔËÐгɱ¾¡£
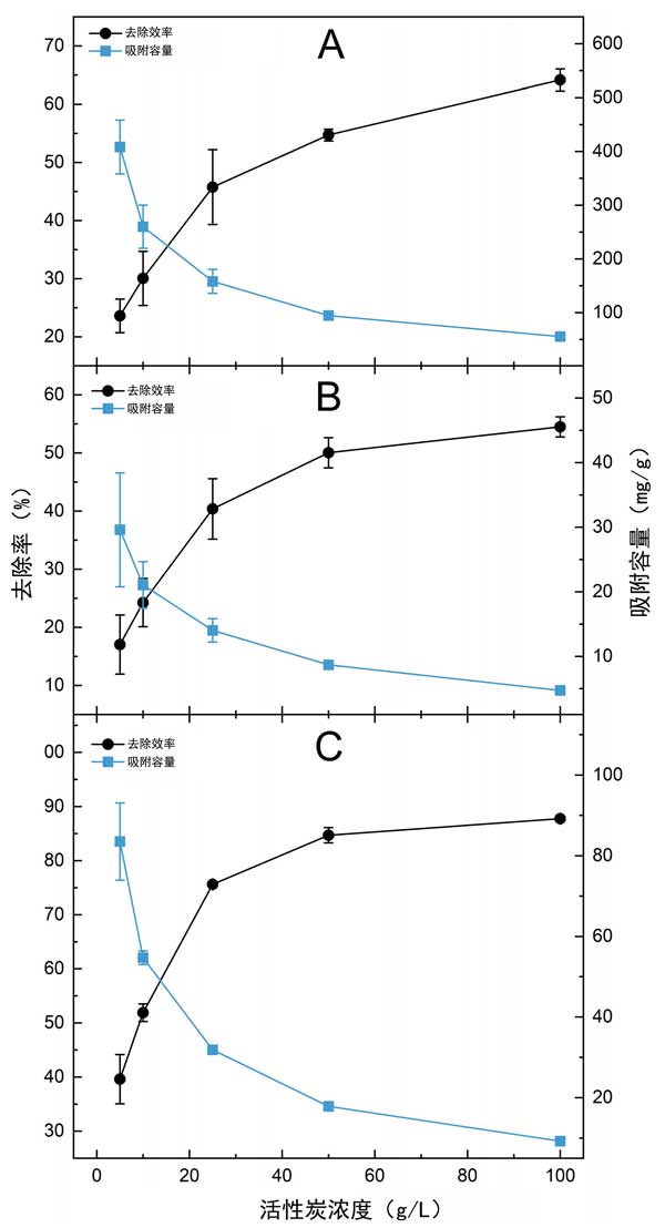
¡¡¡¡²»Í¬Å¨¶ÈµÄ»îÐÔÌ¿¶ÔÕûÌåÕÓÔü½â¶¾ÐÔÄܱíÏÖ³ö²»Í¬µÄ·´Ó¦(ͼ1)¡£Ò»°ãÀ´Ëµ£¬Îü¸½ÈÝÁ¿ÔÚµÍÎü¸½¼ÁÓÃÁ¿Ê±Ïà¶Ô½Ï¸ß£¬Ëæ×ÅCOD¡¢Á×ËáÑκͱ½·Ó²ÎÊýµÄÎü¸½¼ÁŨ¶ÈµÄÔö¼Ó¶ø½µµÍ¡£ÔÚÏàͬ²ÎÊýµÄÈ¥³ýЧÂʵÄÇé¿öϹ۲쵽Ïà·´µÄÐÐΪ¡£ÀýÈ磬CODÈ¥³ýÂÊ´Ó23.6%µ½64.2%²»µÈ£¬Í¬Ê±½«Îü¸½¼ÁŨ¶È´Ó5g/LÔö¼Óµ½100g/L(ͼ1A)¡£È»¶ø£¬Í³¼Æ·ÖÎö±íÃ÷£¬½«Îü¸½¼ÁŨ¶È´Ó50Ôö¼Óµ½100g/L¶ÔCODÈ¥³ýЧÂÊûÓÐÈκÎÏÔ×ÅÓ°Ïì(p-Öµ>0.05)¡£Ê¹ÓÃ100ºÍ5g/LµÄ»îÐÔÌ¿·Ö±ðʵÏÖÁË54.5%µÄ×î¸ßÁ×ËáÑÎÈ¥³ýÂʺÍ29.6mg/gµÄÎü¸½ÈÝÁ¿(ͼ1B)¡£ÕýÈç¶ÔCODËù¹Û²ìµ½µÄÄÇÑù£¬Á×ËáÑÎÎü¸½ÄÜÁ¦Ëæ×Žⶾ²âÊÔÖÐʹÓõĻîÐÔÌ¿ÊýÁ¿µÄÔö¼Ó¶ø½µµÍ¡£´ËÍ⣬»îÐÔÌ¿ÓëÏû»¯ÎïÖдæÔڵķÓÀ໯ºÏÎï¾ßÓи߶ȷ´Ó¦ÐÔ¡£¼´Ê¹ÔÚ5g/LµÄ×îµÍÎü¸½¼ÁŨ¶ÈÏ£¬·´Ó¦2СʱºóҲȥ³ýÁË39.6%µÄ³õʼ±½·ÓŨ¶È£¬¶ÔÓ¦µÄÎü¸½ÈÝÁ¿Îª83.5mg/g(ͼ1C)¡£È»ºóËæ×Å»îÐÔ̿Ũ¶ÈµÄÉý¸ß£¬±½·ÓÈ¥³ýЧÂÊÔö¼Ó¡£ÔÚ50g/LµÄ»îÐÔ̿ϣ¬´ÓÏû»¯ÎïÖÐÎüÊÕÁ˸ߴï84.7%µÄ±½·Ó£¬·¢ÏÖÕâÓëÔÚ100g/LϽøÐеĴ¦Àí¾ßÓÐÏàͬµÄÏÔ×ÅÐÔˮƽ(È¥³ýÁË87.8%µÄ±½·Ó)¡£

¡¡¡¡Í¼1£ºÓü¸ÖÖŨ¶ÈµÄ»îÐÔÌ¿´¦ÀíÅ©Óù¤ÒµÕÓÔüʱ£¬¼ÆËãµÄCOD(A)¡¢PO4-P(B)ºÍ×Ü·Ó(C)²ÎÊýµÄÎü¸½ÈÝÁ¿ºÍÈ¥³ýЧÂÊ¡£
¡¡¡¡ÔÔÅàºÍÉú³¤ÌØÐÔ
¡¡¡¡ÑáÑõÏû»¯ÎïÖдæÔڵĴóÁ¿ºÍ΢Á¿ÓªÑøËصĶàÑùÐÔ¿ÉÄÜÓÐÀûÓÚÀ¶Ôå´úл¡£¼´Ê¹»îÐÔ̿Ԥ´¦ÀíÏÔ׎µµÍÁ˼¸¸ö²ÎÊý£¬°üÀ¨COD¡¢×ǶȺͱ½·Óº¬Á¿£¬ÔÁÏ(4405mg/L)ºÍÔ¤´¦ÀíÏû»¯Îï(4220mg/L)µÄï§Å¨¶ÈÈÔÈ»¸ßÓÚÀ¶ÔåÂÝÐýÔåÖ§³ÖµÄãÐֵŨ¶È(100–150ºÁ¿Ë/Éý)¡£ÔÚÕâÖÖÇé¿öÏ£¬Ê¹ÓÃÒÔÈýÖÖ²»Í¬Ï¡ÊÍÂÊÏ¡Ê͵ÄÔʼºÍÔ¤´¦ÀíÏû»¯Îï½øÐÐÁËһϵÁÐÀ¶Ôå¶¾ÐԲⶨ£º20ס¢40׺Í60ס£Î´Ï¡Ê͵ÄÏû»¯ÎÎÞÂÛÊÇ·ñÓûîÐÔÌ¿´¦Àí£¬¶¼Ã»ÓÐÔÚ±¾ÊµÑéÖнøÐвâÊÔ£¬ÒòΪ³õ²½ÅàÑø·ÖÎö±íÃ÷ËüÃǶÔÅàÑøÎï¶¾ÐÔÌ«´ó(Êý¾ÝδÏÔʾ)¡£Òò´Ë£¬¸ÃʵÑéµÄÄ¿µÄÊDZȽÏÒÔ²»Í¬Ï¡ÊÍÂÊÏ¡Ê͵ÄÁ½ÖÖÏû»¯ÎïÒÔ¼°Á½¸ö¶ÔÕÕ×éÖ®¼äµÄÉú³¤ÐÔÄÜ¡£Á¬Ðø²âÁ¿680nm´¦µÄOD³¬¹ý10Ì죬ÒÔÆÀ¹ÀËùÓÐÌõ¼þϵÄÉú³¤Çé¿ö¡£ÔÚÈýÖÖ²»Í¬Ï¡ÊÍÒò×ÓϲâÊÔµÄÔʼÏû»¯Îï(RD)ºÍ´¦Àí¹ýµÄÏû»¯Îï(TD)Ìõ¼þÏ£¬¹Û²ìµ½ÀàËÆÉú³¤Ç÷ÊÆ(ͼ2A¡¢B)¡£µ±Ôö¼ÓÔʼºÍÔ¤´¦ÀíÏû»¯ÎïµÄÅàÑø»ùÏ¡Êͱ¶Êýʱ£¬»á²úÉú¸ü¸ßµÄÉú³¤·´Ó¦¡£Í¬Ñù£¬ÖͺóÆÚÊÜÔʼÏû»¯ÎïºÍÔ¤´¦ÀíÏû»¯ÎïµÄÏ¡ÊÍÒò×ÓµÄÓ°Ï죬¹Û²ìµ½µÄÖͺóÆÚÔ½³¤£¬Ïû»¯ÎïԽŨËõ¡£ÀýÈ磬ϡÊÍ20±¶ºÍ40±¶µÄδ´¦ÀíÏû»¯ÎïµÄÖͺóÆÚ·Ö±ð³ÖÐø4ÌìºÍ2Ìì¡£ÔÚ±¾Ñо¿ÖУ¬¸ù¾ÝÏ¡Êͱ¶ÊýºÍÔ¤´¦ÀíÌõ¼þ£¬Ê¹ÓÃ221ºÍ71mg/LÖ®¼äµÄ³õʼ淋ª(NH4+-N)Ũ¶È£¬¶Û¶¥ÔåÄܹ»ÔöÖ³¡£Ò»°ã¶øÑÔ£¬ÔʼÏû»¯ÎïºÍÔ¤´¦ÀíÏû»¯ÎïµÄ¸ü¸ßÏ¡ÊͶȲúÉú¸ü¸ßµÄÉú³¤¡£

¡¡¡¡Í¼2£ºÊ¹ÓÃÁ½¸ö¶ÔÕÕ×é(A)ÒÔ¼°ÒÔ²»Í¬Ï¡Êͱ¶Êý(20ס¢40׺Í60×)Ï¡Ê͵ÄÔʼÏû»¯Îï(B)ºÍ´¦Àí¹ýµÄÏû»¯Îï(C)µÄ¶Û¶¥ÂÝÐýÔåÉú³¤ÇúÏß¡£ÑôÐÔºÍÒõÐÔ¶ÔÕÕ·Ö±ðָʹÓúϳÉÅàÑø»ùºÍÈí»¯Ë®¡£
¡¡¡¡»îÐÔÌ¿ÔöÖµÑáÑõÕÓÔüÔÔÅàÂÝÐýÔ壬±¾Ñо¿ÖÐʹÓõĻîÐÔÌ¿¶Ô×î³õ´æÔÚÓÚũҵ¹¤ÒµÕÓÔüÖеļ¸ÖÖ»¯ºÏÎï¾ßÓÐÏÔ×ŵÄÎü¸½ÌØÐÔ£¬°üÀ¨ÑÕÉ«¡¢±½·Ó¡¢CODºÍÁ×ËáÑΡ£Ò»°ãÀ´Ëµ£¬Ôö¼Ó»îÐÔÌ¿¼ÁÁ¿»á²úÉú¸ü¸ßµÄÈ¥³ýЧÂÊ£¬µ«»á´ó´ó½µµÍ²ÄÁϵÄÎü¸½ÄÜÁ¦¡£ÁíÒ»·½Ã棬»îÐÔÌ¿Îü¸½¼Á¶Ô°±µªÈ¥³ýµÄÓ°Ïì¿ÉÒÔºöÂÔ²»¼Æ£¬ËùÓÐÑо¿µÄÎü¸½¼Á¼ÁÁ¿(≤100g/L)µÄ³õʼŨ¶È¼¸ºõûÓб仯¡£Òò´Ë£¬±ØÐëÏ¡ÊÍÔ¤´¦Àí¹ýµÄÏû»¯Îï(ÖÁÉÙ20±¶)£¬ÒÔ½µµÍ淋;ÐÔ²¢´Ù½øÅàÑøÊÔÑéÆÚ¼äµÄ¶Û¶¥ÔåÔöÖ³¡£½«»îÐÔ̿Ԥ´¦ÀíÓëÆäËû¼¼ÊõÈçÀë×Ó½»»»²ÄÁÏ(Ê÷Ö¬¡¢·Ðʯ¡¢Õ³ÍÁµÈ)Ïà½áºÏÒÔÈ¥³ýï§£¬¿ÉÄÜÊÇÔÚ²»Ê¹ÓõˮÊäÈëµÄÇé¿öÏÂʹÓÿɳÖÐøÀ¶ÔåÅàÑø»ù¶ÔÑáÑõÏû»¯ÕÓÔü½øÐÐÔöÖµµÄ½â¾ö·½°¸¡£
ÎÄÕ±êÇ©£ºÒ¬¿Ç»îÐÔÌ¿,¹û¿Ç»îÐÔÌ¿,úÖÊ»îÐÔÌ¿,ľÖÊ»îÐÔÌ¿,·äÎÑ»îÐÔÌ¿,¾»Ë®»îÐÔÌ¿.±¾ÎÄÁ´½Ó£ºhttp://m.fdcnvt.cn/hangye/hy1173.html
ÍÆ¼ö×ÊѶ
- 2026-02-25»îÐÔÌ¿Îü¸½´¦ÀíÆ¡¾Æ³§·ÏË®
- 2026-02-13»îÐÔÌ¿Îü¸½´¦Àíº¬¹¯·ÏÆø
- 2026-02-04»îÐÔÌ¿ÓÃÓÚ´Ó·ÏË®ÖÐÎü¸½È¥³ý΢Á¿ïÓºÍǦ
- 2026-01-28»îÐÔÌ¿½àÑÀ·ÛרÓÃ
- 2026-01-20»îÐÔÌ¿ÔÚ·ÏÆø´¦ÀíÖеÄһЩ³£Ê¶
- 2026-01-13»îÐÔÌ¿ÔÚ¾«ÖÆÌÇÉú²úÖеÄÍÑɫЧ¹û
- 2026-01-07»îÐÔÌ¿¶Ôßäßò»ùÀë×ÓÒºÌåµÄÎü¸½ÐÔÄÜ
- 2025-12-24»îÐÔÌ¿¸ÄÐÔÔöÇ¿¶ÔÒÒõ£°±»ù·ÓµÄÎü¸½
- 2025-12-15»îÐÔÌ¿Îü¸½Âí¶µÁåËá
- 2025-11-27³¬Ï¸»îÐÔÌ¿5000Ä¿·ÛÄ©»îÐÔÌ¿
- 2025-11-26»îÐÔÌ¿ÔÚÁò»¯Ï𽺳ÄÌ×ÖеÄÓ¦ÓÃ
- 2025-11-19»îÐÔÌ¿Îü¸½Öؾ§Ê¯»ìºÏÎïÖеÄͺÍп
