µç»°£º13570151199
´«Õ棺020-39972520
ÓÊÏ䣺hanyan@hanyancarbon.com
µØÖ·£º¹ã¶«Ê¡¹ãÖÝÊз¬Ø®Çø¶«»·½Ö·¬Ø®´óµÀ±±555ºÅÌì°²×ܲ¿ÖÐÐÄ30ºÅÂ¥6²ã
¡¡¡¡»îÐÔÌ¿¸ÄÐÔÏËά¶Ôµí·ÛøµÄÎü¸½
¡¡¡¡α-µí·ÛøÊôÓڹ㷺ÓÃÓÚʳƷ¡¢ÔìÖ½¡¢·ÄÖ¯¡¢Äð¾Æ¡¢·¢½ÍºÍÄðÔìÐÐÒµµÄø×é¡£ÓÉα-µí·Ûø(1,4a-dÆÏ¾ÛÌÇÆÏ¾ÛÌÇË®½âø)´ß»¯µÄµí·ÛË®½âΪµÍ·Ö×ÓÁ¿²úÆ·ÊÇ×îÖØÒªµÄÉÌҵø´Ù¹ý³ÌÖ®Ò»¡£Ðí¶àÑо¿ÈËÔ±Ñо¿ÁËα-µí·ÛøµÄ¹Ì¶¨»¯¡£ÀýÈ磬α-µí·Ûøͨ¹ýÎü¸½¹Ì¶¨ÔÚÑõ»¯ï¯»òÑõ»¯ÂÁÉϲ¢±íÏÖ³ö¸ü¸ßµÄ»îÐÔ£¬Ëü±»¹²¼Û¹Ì¶¨ÔÚº¬ÓÐÁÚ±½¶þ¼×õ£Âȵݱ»ù¹ÙÄÜ»¯²£Á§ÖéÉÏ£¬ÔÚµ°°×ÖÊÉϵݱ»ùºÍõ£ÂÈ»ùÍÅÖ®¼äÐγÉõ£°·¼üÔÚ²£Á§±íÃæ¡£α-µí·ÛøҲͨ¹ýÓÎÀëµÄ-CHO(°´ÕÕÍé»ù°·ºÍÎì¶þÈ©³ÌÐò)ÓëøµÄ-NH2·´Ó¦¹Ì¶¨ÔÚ¸ÄÐÔÓÐÐò½é¿×¶þÑõ»¯¹èÖУ¬ÓÃÓÚË®½âµí·Û£¬Ìá¸ßÁ˹̶¨»¯Ã¸µÄÈÈÎȶ¨ÐÔºÍpHÎȶ¨ÐÔ¡£»îÐÔÌ¿ÏËάËäÈ»±íÏÖ³ö·¢´ïµÄ¿×϶½á¹¹£¬µ«ÓÉÓÚÆä±íÃæ»¯Ñ§ÐÔÖÊÒ»°ãΪÊèË®ÐÔ£¬Ñõµªº¬Á¿¼«ÉÙ£¬²»ÄÜÓëø·¢ÉúÇ¿ÁÒµÄÏ໥×÷Óã¬Òò´Ë²¢Î´¹ã·ºÓÃ×÷Ã¸ÔØÌå¡£Òò´ËÓбØÒªÑо¿¸ÄÐÔ»îÐÔÌ¿ÏËά×÷ÎªÃ¸ÔØÌå²ÄÁϵÄÐÔÄÜ¡£
¡¡¡¡»îÐÔÌ¿ÒòÆä¸ß±íÃæ»ýºÍ´ó¿×Ìå»ý¶ø±»¹ã·ºÓÃ×÷Îü¸½¼Á¡¢´ß»¯¼Á/´ß»¯¼ÁÔØÌå¡¢µç×Ó²ÄÁϺʹ¢ÄܲÄÁÏ¡£»îÐÔÌ¿ÏËάµÄÓŵãÊÇÏËάֱ¾¶½ÏС£¬¿É×î´óÏ޶ȵؼõÉÙÀ©É¢ÏÞÖÆ²¢ÔÊÐí¿ìËÙÎü¸½/½âÎü£¬¿×¾¶·Ö²¼¸ü¼¯ÖС£ÐÂÐÍ»îÐÔÌ¿Òѹ㷺ÓÃÓÚ·ÖÀë¡¢´¿»¯ºÍ´ß»¯¹ý³Ì¡£»îÐÔÌ¿ÏËάµÄ»¯Ñ§Ñõ»¯Êǽ«ÔÓÔ×ÓÒýÈëÆä±íÃæµÄ³£Ó÷½·¨¡£¸÷ÖÖÊÔ¼ÁÒѱ»ÓÃ×÷Ñõ»¯¼Á£ºÅ¨ÏõËá»òÁòËá¡¢´ÎÂÈËáÄÆ¡¢¸ßÃÌËáÑΡ¢ÖظõËáÑΡ¢¹ýÑõ»¯Çâ¡¢¹ý¶É½ðÊô¡¢³ôÑõ»ùÆøÌå»ìºÏÎïµÈ¡£ÔÚ¸÷ÖÖÑõ»¯´¦ÀíÖУ¬ÏõËáµÄÑõ»¯ÊÇ×î¹ã·ºÊ¹Óõķ½·¨ÓÃÓÚÔö¼ÓʪÑõ»¯´¦Àí²úÉúµÄ×ÜËá¶È¡£»îÐÔÌ¿ÏËά±íÃæµÄº¬ÑõºÍº¬µª»ùÍÅ¿ÉÒÔÔÚ300¡æÏÂͨ¹ýÏõ»¯ÏËÎ¬ËØÈ¼ÉÕÑõ»¯ÒýÈ룬¸ÄÐÔºóµÄ»îÐÔÌ¿¶Ô°±ºÍ¶þÁò»¯Ì¼¾ßÓиü¸ßµÄÎü¸½ÄÜÁ¦¡£
¡¡¡¡»îÐÔÌ¿¸ÄÐÔÏËά
¡¡¡¡»îÐÔÌ¿ÏËάµÄÑõ»¯¸ÄÐÔ¡£ÔÚ120¡æÏ¸ÉÔï2hÒÔÈ¥³ýÎü¸½µÄÕôÆûºÍÓлú·Ö×Ó£¬È»ºóÓÃÏõËáÏËÎ¬ËØ±ûͪÈÜÒº½þ×Õ£¬¸ºÔØÁ¿¹Ì¶¨Îª1wt.%µÄÏõËáÏËÎ¬ËØÔÚÊÒÎÂÏ·ÅÖÃ4Сʱ¡£×îºó£¬½«½þ×յĻîÐÔÌ¿ÏËάÔÚ¿ÕÆøÖмÓÈÈÖÁ300¡æ³ÖÐø30·ÖÖÓ£¬²¢±ê¼ÇΪ»îÐÔÌ¿¸ÄÐÔÏËά¡£»îÐÔÌ¿-0ÔÚ5MÏõËáÖиÄÐÔ12Сʱ£¬È»ºóÓÃÕôÁóË®½þ³ö£¬Ö±ÖÁ´ïµ½Ô¼7µÄpHÖµ¡£×îºó£¬ÔÚ80¡æÏ¸ÉÔï²¢ÃüÃûΪ»îÐÔÌ¿-HNO3¡£
¡¡¡¡µí·ÛøµÄÎü¸½ºÍµí·ÛµÄË®½â¡£ÔÚÎü¸½ÊµÑéÖУ¬½«1g»îÐÔÌ¿ÏËάÓëµÈÌå»ýµÄ0.1MÁ×ËáÑλº³åÒººÍα-µí·ÛøÈÜÒº»ìºÏ¡£ÔÚÊÒÎÂÏÂÕñÒ¡1Сʱ£¬È»ºó¹ýÂË¡£α-µí·ÛøµÄÎü¸½Á¿ÎªÔøҺˮ½âÄÜÁ¦ÓëÂËҺˮ½âÄÜÁ¦Ö®²î¡£
¡¡¡¡ÔÚ¼äЪ·´Ó¦Æ÷Öмì²âÓÎÀëøºÍ¹Ì¶¨»¯Ã¸µÄË®½â»îÐÔ¡£Í¨¹ý½«¿ÉÈÜÐÔµí·ÛÈܽâÔÚÕôÁóË®ÖÐÖÆ±¸%µí·ÛÈÜÒº£¬²¢Í¨¹ý0.1M/HCl½«pHÖµµ÷½ÚÖÁ4.7¡£È»ºó½«1gº¬ÓÐα-µí·ÛøµÄ»îÐÔÌ¿ÏËάÖÃÓÚ²âÊÔСƿÖС£Ëæºó£¬¼ÓÈë100cm3µÄµí·ÛÈÜÒº£¬²¢½«ÏµÍ³ÔÚ40¡æÏ²»¶ÏÒ¡¶¯µÄˮԡÖзõÓý¡£Ã¿10·ÖÖÓ³éÈ¡1cm3ÈÜÒºÒÔÈ·¶¨Ë®½âÂóÑ¿ÌǵÄÁ¿¡£Í¨¹ý¼ÓÈë1cm3µÄ3,5-¶þÏõ»ùË®ÑîËáÊÔ¼ÁÖÕÖ¹·´Ó¦¡£»¹ÔÚ·ÐˮԡÖзõÓý5·ÖÖÓ¡£»¹ÔÌÇ(ÂóÑ¿ÌÇ)µÄÁ¿Í¨¹ý·Ö¹â¹â¶È·¨ÔÚ540nm´¦²â¶¨¡£
¡¡¡¡»îÐÔÌ¿ÑùÆ·µÄSEMÑùò
¡¡¡¡»îÐÔÌ¿ÏËάµÄSEMͼÏñÈçͼ1Ëùʾ¡£»îÐÔÌ¿-0µÄ±íÃæ¿´ÆðÀ´ºÜ¹â»¬£¬±íÃæµÄ°ßµãÊÇÎü¸½µÄÎÛ¹¸¡£»îÐÔÌ¿-HNO3±íÃæµÄÎÛ¹¸×îÉÙ£¬´ó²¿·ÖÎÛ¹¸ÔÚÏõËá½þ×Õ¹ý³ÌÖб»½þ³ö¡£ÕâҲ˵Ã÷ÏõËáÑõ»¯²»»áËðÉËÏËά±íÃæ¡£»îÐÔÌ¿±íÃæµÄÎÛȾ±È»îÐÔÌ¿-0ÉÙ£¬ÔÚÏõ»¯ÏËά½þ×Õ¹ý³ÌÖУ¬Ò»Ð©ÔÓÖʱ»Ï´µô£¬Õâ±íÃ÷ËùÓеÄÏõ»¯ÏËÎ¬ËØ¶¼ÒÑÍêȫȼÉÕ¡£Í¨¹ý±È½ÏSEMͼÏñ£¬»îÐÔÌ¿ÏËά±íÃæÔÚÏõËáÑõ»¯ºÍÏõ»¯ÏËÎ¬ËØÈ¼ÉÕºóûÓб»ÆÆ»µ¡£ÕâÖ¤Ã÷ÁËÔÚ»îÐÔÌ¿ÏËά±íÃæÒýÈ뵪/ÑõÔ×ÓÊÇÒ»ÖÖ¼òµ¥µÄ·½·¨£¬²¢ÇÒ²»»á¶Ô±íÃæÔì³ÉËðÉË¡£

¡¡¡¡Í¼1£º»îÐÔÌ¿µÄSEMÕÕÆ¬(a)»îÐÔÌ¿-0(b)»îÐÔÌ¿¸ÄÐÔÏËάºÍ(c)»îÐÔÌ¿-HNO3¡£
¡¡¡¡µí·ÛøµÄÎü¸½ºÍµí·ÛµÄË®½â
¡¡¡¡ÈýÖÖ»îÐÔÌ¿¶Ôα-µí·ÛøµÄÎü¸½Á¿Îª2.0mg/g£¬·Ö±ðΪ9.9ºÁ¿Ë/¿ËºÍ7.9ºÁ¿Ë/¿Ë¡£ÓÉÓÚ»îÐÔÌ¿µÄ¿×½á¹¹ÏàËÆ£¬±íÃæº¬ÑõºÍº¬µª»ùÍÅÊDZíÕ÷a-µí·ÛøÎü¸½µÄΨһÏÔ×ÅÓ°ÏìÒòËØ£¬ÓÈÆäÊÇ·ÓôÇ»ù£¬Ëü¿ÉÒÔÓëa-µí·ÛøµÄ-NH2ÐγÉÇâ¼ü·Ö×Ó¡£ÓëÓÎÀëα-µí·ÛøÏà±È£¬¹Ì¶¨ÔÚ»îÐÔÌ¿-0¡¢»îÐÔÌ¿ÏËάºÍ»îÐÔÌ¿-HNO3ÉϵÄα-µí·ÛøµÄË®½â»îÐԷֱ𽵵ÍÁË20%¡¢48%ºÍ34%¡£Õâ±íÃ÷α-µí·ÛøµÄ»îÐÔλµãÊÜ»îÐÔÌ¿ÏËά¿×½á¹¹µÄÓ°Ï죬´Ó¶ø¸Ä±äÁËα-µí·ÛøÓëµí·Û·Ö×ÓÖ®¼äµÄÏ໥×÷ÓᣴËÍ⣬¹Ì¶¨»¯µÄα-µí·Ûø·Ö×ӹ̶¨ÔÚ¿×ͨµÀºÍ´«ÖÊÒ²Êܵ½ÏÞÖÆ£¬Òò´Ë±í¹ÛË®½â»îÐÔ½µµÍ¡£

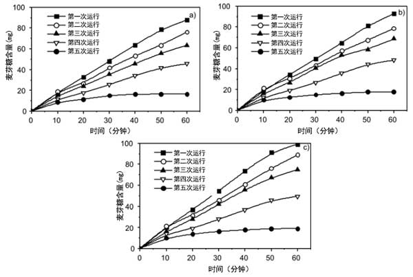
¡¡¡¡Í¼2£ºÎü¸½ÔÚ»îÐÔÌ¿¸ÄÐÔÏËάÉϵÄα-µí·Ûøˮ½âµí·Û£º(a)1wt.%£¬(b)2wt.%ºÍ(c)5wt.%¡£

¡¡¡¡Í¼3£ºÎü¸½ÔÚ»îÐÔÌ¿-HNO3ÉϵÄα-µí·Ûøˮ½âµí·Û£º(a)1wt.%£¬(b)2wt.%ºÍ(c)5wt.%¡£
¡¡¡¡¹Ì¶¨»¯α-µí·Ûøˮ½âµí·ÛÔÚÏàͬ»îÐÔÌ¿ÉϵÄα-µí·Ûøˮ½âµÄÂóÑ¿ÌǵÄÁ¿Óëµí·ÛŨ¶ÈÎ޹ء£ÂóÑ¿ÌÇÒ²±»α-µí·Ûøˮ½â£º½á¹û±íÃ÷£¬Èç¹û¹Ì¶¨·¢ÉúÔÚÏàͬµÄ»îÐÔÌ¿ÉÏ£¬ÔòË®½âÂóÑ¿ÌǺÍË®½âµí·ÛµÄÁ¿±£³Ö²»±ä¡£Õâ±íÃ÷µí·ÛŨ¶ÈÊÇ×ã¹»µÄ¡£¹Ì¶¨ÔÚACFÉϵĵí·ÛøµÄÁ¿Ô½´ó£¬Ë®½âÂóÑ¿ÌǵÄÁ¿¾ÍÔ½¸ß¡£¶ÔÓÚ»îÐÔÌ¿-0£¬µÚÒ»´ÎÔËÐÐ60·ÖÖÓºóË®½âÂóÑ¿ÌǵÄÁ¿Îª20mg¡£µÚ¶þÂÖϽµµ½12ºÁ¿Ë£¬µÚÈýÂÖϽµµ½8ºÁ¿Ë¡£¶ÔÓÚ»îÐÔÌ¿¸ÄÐÔÏËά£¬µÚÒ»´ÎÔËÐÐ60·ÖÖÓºóË®½âÂóÑ¿ÌǵÄÁ¿Îª100mg¡£Îü¸½µÄµí·ÛøÔÚÔËÐÐ3´ÎºóÈÔ±£³Ö½Ï¸ßµÄË®½â»îÐÔ¡£µÚËÄ´ÎÔËÐкóÆä»îÐÔϽµ£¬ÂóÑ¿ÌÇÁ¿Îª50ºÁ¿Ë¡£¶ÔÓÚ»îÐÔÌ¿£¬µÚÒ»´ÎÔËÐÐ60·ÖÖÓºóË®½âÂóÑ¿ÌǵÄÁ¿Îª50mg¡£Îü¸½µÄµí·ÛøÔÚÁ½´ÎÔËÐк󱣳ֽϸߵÄË®½â»îÐÔ¡£3´ÎÔËÐкóÆä»îÐÔ½µµÍ£¬ÂóÑ¿ÌÇÁ¿Îª20mg¡£¹Ì¶¨»¯Ã¸×îÖØÒªµÄÓŵãÊÇËüµÄ¿ÉÖØ¸´Ê¹ÓÃÐÔ¡£»îÐÔÌ¿ÏËάµÄ±íÃæ»ùÍÅÒ²Ó°Ïìα-µí·ÛøµÄ½âÎüÐÐΪ¡£¹Ì¶¨ÔÚ»îÐÔÌ¿-0ÉϵÄα-µí·ÛøÔÚË®½â¹ý³ÌÖд󲿷ֻᱻ½âÎü£¬2´ÎÔËÐкó¹Ì¶¨ÔÚ»îÐÔÌ¿-0ÉϵÄα-µí·ÛøµÄ±£Áô»îÐÔΪ10%¡£È»¶ø£¬¹Ì¶¨ÔÚ¸ÄÐÔ»îÐÔÌ¿ºÍ»îÐÔÌ¿-HNO3ÉϵÄα-µí·ÛøÔÚ4´ÎÔËÐкó±íÏÖ³ö³¬¹ý24%ºÍ14%µÄ»îÐÔ¡£
¡¡¡¡»îÐÔÌ¿¿ÉÒÔ±»ÏõËáÑõ»¯ºÍÏõ»¯ÏËÎ¬ËØÈ¼ÉÕÒԸıäÆä±íÃæ»¯Ñ§ÐÔÖÊ¡£»îÐÔÌ¿ÏËάÑõ»¯ºó̼º¬Á¿ÏÔ׎µµÍ£¬Ñõº¬Á¿ÏÔ×ÅÉý¸ß¡£Çâ¡¢µªº¬Á¿Ò²ÓÐÒ»¶¨³Ì¶ÈµÄÔö¼Ó¡£BoehmµÎ¶¨ºÍFTIR½á¹û±íÃ÷£¬HNO3Ñõ»¯ÒýÈëÁË´óÁ¿µÄôÈ»ù¡£¶øÏõËáÏËÎ¬ËØÑõ»¯¿ÉÐγɷӻùºÍ¼îÐÔ»ùÍÅ(õ£°·)¡£Îü¸½·Ö±ðÔö¼ÓÁË5±¶ºÍ3.5±¶¡£¹Ì¶¨»¯µí·ÛøÔÚ3´ÎÔËÐкóÏÔʾ³ö¸ü¸ßµÄµí·ÛË®½â»îÐÔ¡£
ÎÄÕ±êÇ©£ºÒ¬¿Ç»îÐÔÌ¿,¹û¿Ç»îÐÔÌ¿,úÖÊ»îÐÔÌ¿,ľÖÊ»îÐÔÌ¿,·äÎÑ»îÐÔÌ¿,¾»Ë®»îÐÔÌ¿.±¾ÎÄÁ´½Ó£ºhttp://m.fdcnvt.cn/hangye/hy1130.html
ÍÆ¼ö×ÊѶ
- 2026-02-25»îÐÔÌ¿Îü¸½´¦ÀíÆ¡¾Æ³§·ÏË®
- 2026-02-13»îÐÔÌ¿Îü¸½´¦Àíº¬¹¯·ÏÆø
- 2026-02-04»îÐÔÌ¿ÓÃÓÚ´Ó·ÏË®ÖÐÎü¸½È¥³ý΢Á¿ïÓºÍǦ
- 2026-01-28»îÐÔÌ¿½àÑÀ·ÛרÓÃ
- 2026-01-20»îÐÔÌ¿ÔÚ·ÏÆø´¦ÀíÖеÄһЩ³£Ê¶
- 2026-01-13»îÐÔÌ¿ÔÚ¾«ÖÆÌÇÉú²úÖеÄÍÑɫЧ¹û
- 2026-01-07»îÐÔÌ¿¶Ôßäßò»ùÀë×ÓÒºÌåµÄÎü¸½ÐÔÄÜ
- 2025-12-24»îÐÔÌ¿¸ÄÐÔÔöÇ¿¶ÔÒÒõ£°±»ù·ÓµÄÎü¸½
- 2025-12-15»îÐÔÌ¿Îü¸½Âí¶µÁåËá
- 2025-11-27³¬Ï¸»îÐÔÌ¿5000Ä¿·ÛÄ©»îÐÔÌ¿
- 2025-11-26»îÐÔÌ¿ÔÚÁò»¯Ï𽺳ÄÌ×ÖеÄÓ¦ÓÃ
- 2025-11-19»îÐÔÌ¿Îü¸½Öؾ§Ê¯»ìºÏÎïÖеÄͺÍп
