电话:13570151199
传真:020-39972520
邮箱:hanyan@hanyancarbon.com
地址:广东省广州市番禺区东环街番禺大道北555号天安总部中心30号楼6层
活性炭去除空气中的有机溶剂蒸气
很多地区的部分植物废料没有得到足够有效的利用,这些植物废料可用于能源生产和作为制造碳吸附剂的原料。本次研究的活性炭是从含碳量高的材料(包括废物)中获得的。各种木质纤维素和煤材料被用作计划用于生产活性炭的原材料。它们经过热处理(活化)和一些特定的条件下制成商业活性炭,能最大的利用了植物废料的价值。并且对所获得的活性炭吸附剂进行了评估,作为使用示例正丁醇从气流中提取挥发性有机溶剂蒸气的一种方法。
活性炭用于吸附有害成分,例如在煤或石油燃烧过程中形成的有害成分。这些吸附剂中通常存在大量微孔和比表面积,以及再生和循环使用的能力、化学惰性和相对安全性,这些都是非常必要和有用的特性,决定了它们的可制造性和广泛的应用。我们以从其与空气的混合物中提取正丁醇蒸气为例,评估了化学法活性炭吸附剂作为溶剂回收技术试剂的能力。
活性炭对正丁醇的去除
根据多种测试获得植物废活性炭技术指标除中,活性炭1、2对于正丁醇的去除效果比较好,3、4、5对碘和苯的吸附能力非常好,尽管其余的活性炭具有良好的能力,但是为了和专用活性炭的吸附性能做比较,选择了植物废料活性炭1和2。为了比较评估使用通过上述化学活化从植物废料中获得的活性炭在几乎相同的条件下从其VMA中提取挥发性有机溶剂蒸气的可行性,以实验室生产的正丁醇蒸汽和活性炭的使用为例,研究了这些过程的动力学和平衡。
实验结果与讨论
实验发现即使在成分指标、技术特征和处理来自不同地理形成地点的相同类型废物形式的原材料的条件下,活性炭吸附剂的产率和个体特性也很接近。根据现有的信息来源,它们并不总是与其最佳样本相对应。下述实验数据证实了这种情况。然而,它们具有不同的,并且在某些情况下具有高效率,可用于解决从工业排放物和排放物的有机杂质中净化的广泛问题。在植物废物(a)中获得的活性炭从其VMA中吸附正丁醇蒸气的动力学曲线在图1和图2中进行了比较。

图1:使用过的活性炭样品在20℃时对来自VMA的正丁醇蒸气的吸附动力学。
来自植物废料的活性炭中,活性炭的K值表示吸附剂的吸收能力的最高值,活性炭2的最佳值是由于微孔体积大。表征煤与丁醇相互作用的能量的模型参数n是活性炭的最小参数。这对应于最凸的吸附等温线(图2),这有利于捕获低浓度的丁醇蒸气。就活性炭3而言,除活性炭4外,所有活性炭均优于活性炭5,与活性炭2相当。根据极限饱和值,由图1和图2中的动力学曲线证明。如图1所示,绘制了相应的吸附等温线(图2)。

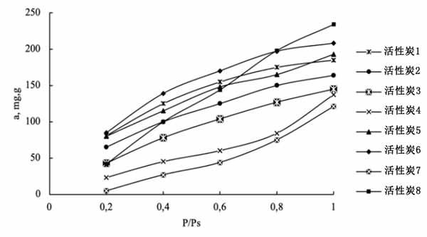
图2:所表征的比较系统中的吸附平衡。
活性炭去除空气中的有机溶剂蒸气,在植物废料的活性炭中,活性炭的吸附能力比较高,主要由于它的微孔体积大。经过表征与丁醇相互作用的能量的模型参数的比较。对应吸附等温线,表示这有利于去除低浓度的丁醇蒸气。
文章标签:椰壳活性炭,果壳活性炭,煤质活性炭,木质活性炭,蜂窝活性炭,净水活性炭.推荐资讯
- 2026-02-25活性炭吸附处理啤酒厂废水
- 2026-02-13活性炭吸附处理含汞废气
- 2026-02-04活性炭用于从废水中吸附去除微量镉和铅
- 2026-01-28活性炭洁牙粉专用
- 2026-01-20活性炭在废气处理中的一些常识
- 2026-01-13活性炭在精制糖生产中的脱色效果
- 2026-01-07活性炭对咪唑基离子液体的吸附性能
- 2025-12-24活性炭改性增强对乙酰氨基酚的吸附
- 2025-12-15活性炭吸附马兜铃酸
- 2025-11-27超细活性炭5000目粉末活性炭
- 2025-11-26活性炭在硫化橡胶衬套中的应用
- 2025-11-19活性炭吸附重晶石混合物中的铜和锌
