µç»°£º13570151199
´«Õ棺020-39972520
ÓÊÏ䣺hanyan@hanyancarbon.com
µØÖ·£º¹ã¶«Ê¡¹ãÖÝÊз¬Ø®Çø¶«»·½Ö·¬Ø®´óµÀ±±555ºÅÌì°²×ܲ¿ÖÐÐÄ30ºÅÂ¥6²ã
¡¡¡¡»îÐÔÌ¿Îü¸½´¦Àí¸ßCODȾɫ·ÏË®
¡¡¡¡ÏÖ´ú·Ä֯ӡȾÐÐÒµ³£ÓõÄȾÁÏÖÖÀà·±¶à¡£Óв»Í¬ÀàÐ͵ÄȾÁÏ£¬ÀýÈçËáÐÔȾÁÏ¡¢»îÐÔȾÁϺͷÖɢȾÁÏ£¬·Ö±ðÓÃÓÚ¶¯Îï¡¢Ö²ÎïºÍÈËÔìÏËάµÄȾɫ¡£È¾ÁϵĻ¯Ñ§ÐÔÖʲîÒìºÜ´ó£¬Ò»Ð©È¾Áϼ°ÆäÑÜÉúÎï¶Ô»·¾³Î£º¦ºÜ´ó¡£È¾É«¹ý³ÌÖй㷺²ÉÓõĽÚË®²ßÂÔ¾³£ÓÉÓÚ»¯Ñ§ÐèÑõÁ¿(COD)¹ýÔØ¶øµ¼Ö¹¤³§µÄÉúÎï·ÏË®´¦Àí×°ÖÃʧЧ¡£ÎªÁË´¦ÀíÕâ¸öÎÊÌ⣬Ñо¿ÁËÒ»ÖÖ¿ÉÔÙÉúµÄÎü¸½-Ñõ»¯¹¤ÒÕÀ´´¦ÀíCOD£¬Ö÷ҪʹÓø߶ÈÄÉÃ׿׻îÐÔÌ¿×÷ΪCODÎü¸½¼Á¡£
¡¡¡¡±¾Ñо¿Ìá³ö·ÖÁ½²½´¦Àí¸ßCODȾɫ·ÏË®£ºÒ»ÊÇÓûîÐÔÌ¿Îü¸½È¾ÁÏ£¬¶þÊÇÓø߼ÁÁ¿¹ýÑõ»¯Çâ´¦ÀíÎü¸½µÄȾÁÏ¡£ÓÉÓÚCOD±¥ºÍ»îÐÔÌ¿µÄË®½ÏÉÙ£¬¹ýÑõ»¯Á¿¿ÉÒÔÏÔ׿õÉÙ¡£´ËÍ⣬¾«È·µÄ¹ýÑõ»¯Îï¼ÁÁ¿¿ÉÒÔÈ¥³ý»îÐÔÌ¿±íÃæÎü¸½µÄCOD£¬Í¬Ê±¶Ô»îÐÔÌ¿½á¹¹µÄÆÆ»µ×îС£¬´Ó¶ø¿ÉÒÔÖØ¸´Ê¹ÓÃÔÙÉú»îÐÔÌ¿¡£ÎªÁ˲âÊÔËùÌá³öµÄ¿ÉÔÙÉúÎü¸½-Ñõ»¯´¦ÀíµÄÊÊÓÃÐÔ£¬ÊÕ¼¯Á˸ßCOD½øË®²¢ÓÃÓÚ¼ì²é»îÐÔÌ¿µÄÐÔÄÜ£¬ÒÔ¼°pHºÍζȵIJÙ×÷Îü¸½Ìõ¼þ¡£
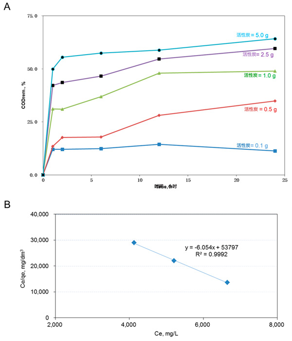
¡¡¡¡»îÐÔÌ¿Îü¸½CODȾɫ·ÏË®
¡¡¡¡¶ÔÓÚ»îÐÔÌ¿Îü¸½£¬Ê¹ÓÃ0.1ÖÁ5g»îÐÔÌ¿´Ó60mLȾɫ·ÏË®ÖÐÈ¥³ýµÄCOD°Ù·Ö±ÈÈçͼ1AËùʾ¡£»îÐÔÌ¿Á¿Ô½´ó´Ó·ÏË®ÖÐÈ¥³ýµÄCODÔ½¶à¡£Ê¹ÓÃ5¿Ë»îÐÔÌ¿£¬CODÈ¥³ýÂÊ´ïµ½60%ÒÔÉÏ£¬²¢ÇÒ¿ÉÄÜÎÞ·¨ÊµÏÖ¸ü¸ßµÄÈ¥³ýÂÊ£¬ÒòΪ»îÐÔÌ¿²»»áÎü¸½ÏËάË鯬»òȾɫ»¯Ñ§Æ·ÍÅ¿éµÈ½Ï´óµÄ¿ÅÁ£¡£Í¼1BÏÔʾÁËCODŨ¶È(Ce)ÓëÎü¸½ÈÝÁ¿(qe)ÓëCeµÄ¹ØÏµÍ¼¡£ÓÉÓÚÏßÐÔ¹ØÏµ·ûºÏLangmuirµÈÎÂÏߣ¬Òò´ËÏàÓ¦µÄ´óÎü¸½ÈÝÁ¿(qmax)£¬µÈÓÚÄâºÏÏßбÂÊÖµµÄ1£¬µÈÓÚ0.165¡£0.9992µÄ¸ßR2Öµ±íÃ÷Ëù²ÉÓõÄLangmuirÄ£Ð;ßÓÐÁ¼ºÃµÄÄâºÏ¶È¡£ÕâЩ½á¹û±íÃ÷£¬Ê¹ÓûîÐÔ̿ȥ³ý²âÊÔ60mL·ÏË®ÖÐ50%CODÊÇ¿ÉÐеġ£COD¼õÉÙ50%½«Ê¹Î¢ÉúÎïÏûºÄ»îÐÔÎÛÄà³ØÖпɻºÂýÉúÎï½µ½âµÄ·ÖɢȾÁϵÄË®Á¦Í£Áôʱ¼ä´óÔ¼Ôö¼ÓÒ»±¶¡£

¡¡¡¡Í¼1:ʹÓùýµÄ»îÐÔÌ¿µÄÎü¸½ÌØÐÔ¡£(A)È¥³ýµÄCOD°Ù·Ö±ÈÓëÓÃÓÚÎü¸½È¾É«·ÏË®CODµÄ»îÐÔÌ¿Á¿µÄ¹ØÏµÍ¼¡£(B)Ce/qe±ÈÂÊÓëCeµÄ¹ØÏµÍ¼¡£
¡¡¡¡»îÐÔÌ¿µÄÔÙÉúÎü¸½Ð§¹û
¡¡¡¡µÚÒ»´Î»îÐÔÌ¿ÔÙÉúµÄ½á¹û±íÃ÷£¬ÔÙÉú»îÐÔÌ¿±ÈÔʼ»îÐÔÌ¿Îü¸½Á˸ü¶àµÄȾÁÏ(¸ß´ï7%)¡£¾¹ýÁ¬ÐøÎü¸½-Ñõ»¯²Ù×÷µÄ½á¹û±íÃ÷£¬ÔÚËÄ´ÎÎü¸½ÔËÐÐÖÐÈ¥³ýÁË52%µÄCOD£¬³ÖÐøÊµÏÖÁ˳¬¹ý50%µÄCOD(ͼ2)¡£Í¨¹ýÓëÔÙÉúºÍ·ÇÔÙÉúÔËÐÐ(11¸öÑ»·)Ö®¼äµÄÀÛ»ýCODÎü¸½½øÐбȽϣ¬ÎÒÃÇ·¢ÏÖ5gÔÙÉú»îÐÔÌ¿ÔÚÔÙÉúÇé¿öÏÂÿ¸öÑ»·¿ÉÒÔÎü¸½0.3625g-COD¡£Æ½¾ù¶øÑÔ£¬»îÐÔÌ¿ÔÚÿ¸öÎü¸½²½ÖèÖеÄÎü¸½ÈÝÁ¿(q)ÖµµÈÓÚ0.0725g-COD/g-»îÐÔÌ¿¡£¸ù¾Ý֮ǰµÄÎïÖÊÆ½ºâ½á¹û£¬Îü¸½µÄCOD¿ÉÄܱ»Ñõ»¯£¬Òò´Ë¿×¿Õλ¿ÉÒÔÔÚÏÂÒ»¸öÑ»·ÖÐÔÙ´ÎÓÃÓÚÎüÊÕCOD¡£

¡¡¡¡Í¼2£ºCODÈ¥³ý°Ù·Ö±ÈÓë»îÐÔÌ¿ÔÙÉú´ÎÊýµÄ¹ØÏµÍ¼¡£
¡¡¡¡È¾É«·ÏË®´¦Àí½¨Òé
¡¡¡¡¸ù¾Ý»ñµÃµÄÊý¾ÝºÍµ±Ç°µÄÉ´ÏßȾɫ¹¤ÒÕ£¬Ê¹ÓÃËùÌá³öµÄÁ½²½´¦Àíϵͳ´¦ÀíÀ´×Ô³£ÓõÄ200LȾԡµÄ¸ßCODȾɫ·ÏË®¿´ÆðÀ´ÊÊÓ㬲¢Ìá³öÁ˽¨ÒéÈçͼ3Ëùʾ¡£¾ÝÎÒÃÇËùÖª£¬Ä¿Ç°ÔËÓªµÄȾɫÉèÊ©ÖÐûÓÐÕâÖÖ½¨ÒéµÄÉèÖá£Éè¼ÆÈÝ»ý(¼´200L)×ãÒÔÈÝÄÉÒ»ÅúȾ¸×³öË®£¬Ê¹¸ßCOD·ÏË®¿ÉÖ±½Ó½øÈëÄ⽨װÖõÄÎü¸½ºÍÔÙÉú¡£¸ù¾Ý½á¹û£¬È¥³ý50-60%µÄCOD½«´ó´ó¼õÉÙ»ØÁ÷µ½Æ½ºâ¹ÞµÄCOD£¬´Ó¶ø±ÜÃâÏÖÓг§ÄÚÉúÎï´¦Àíµ¥ÔªµÄ¹ýÔØÇé¿ö¡£ÎªÁËÔËÐÐËùÌáÒéµÄ×°Öã¬Ê×ÏÈ£¬½«À´×ÔȾɫ³ØµÄÒ»¶¨Á¿µÄ¸ßCOD·ÏË®Òýµ¼ÖÁ³äÂúÖ¸¶¨»îÐÔÌ¿µÄ·´Ó¦µ¥Ôª(Èç¹û´¦Àí120L·ÏË®£¬ÔòΪ20kg)½øÐÐ24СʱÎü¸½¡£ÓÉÓÚ½á¹û±íÃ÷Ⱦԡ³öË®CODÔÚËáÐÔpHÖµÏÂÎü¸½¸ü¶à£¬¶þÊǶԴ¦ÀíºóµÄ·ÏË®½øÐÐɸ·Ö£¬24СʱºóÅÅÖÁÆä·ÏË®´¦ÀíÉèÊ©µÄÍ·²¿(¼´Æ½ºâ³Ø)¡£µÚÈý£¬·Ö±ð´®ÁªÌí¼Ó³õʼŨ¶ÈΪ2.12mmol/dm3ºÍ2.5%µÄÒÒ¶þ°·ËÄÒÒËáÌúÄÆºÍ¹ýÑõ»¯Ç⣬ÒÔÆô¶¯»îÐÔÌ¿ÔÙÉú1Сʱ¡£´ÓÁ¬ÐøÔËÐÐÀ´¿´£¬Á½²½·¨´¦Àí¸ßCODȾɫ·ÏË®µÄÓ¦ÓÃǰ¾°¿´ºÃ¡£È»¶ø£¬ÎÒÃÇȷʵעÒâµ½¸Ã¼¼ÊõµÄµ±Ç°Ó¦ÓÿÉÄܽöÏÞÓÚȾԡÉè¼Æ¼°Æä²Ù×÷¡£È¾Ô¡µÄ¸ßCODÁ÷³öÎï·¢ÉúÔÚȾɫ¹ý³ÌµÄµÚÒ»´ÎÅÅ·Å£¬µ«¶ÔÓÚ´ó¶àÊý¿ÉÓõÄȾԡ²Ù×÷£¬¸ù¾Ý²»Í¬µÄCODŨ¶È¶ÔÿÅúÁ÷³öÎï½øÐзÖÀëÊDz»ÊÊÓõġ£Ò»Ð©È¾É«×°ÖûòȾɫ¹¤ÒյĸÄÔì±»ÈÏΪÊDZØÒªµÄ¡£

¡¡¡¡Í¼3£ºÖ±½Ó´¦ÀíÀ´×Ô200LµÄ¸ßCODȾɫ·ÏË®µÄÁ½²½´¦Àí×°ÖõĽ¨Òé²¼¾Ö¡£
¡¡¡¡»îÐÔÌ¿Îü¸½´¦Àí¸ßCODȾɫ·ÏË®£¬Ñо¿ÖÐʹÓÃ5g»îÐÔÌ¿´Ó60mL·ÖÉ¢µÄ¸»º¬È¾ÁϵķÏË®ÖÐÎü¸½50-60%µÄCOD¡£ËùÓûîÐÔÌ¿µÄÎü¸½ÈÝÁ¿Ô¼Îª0.165g-COD/g-»îÐÔÌ¿¡£ÔÚʹÓûîÐÔÌ¿½øÐÐCODÎü¸½²Ù×÷ÆÚ¼ä£¬ÎÞÐèµ÷ÕûpH»òζȡ£×ÜÌå¶øÑÔ£¬Ê¹ÓûîÐÔÌ¿Îü¸½Å¨ËõӡȾ·ÏË®µÄCOD£¬Æä´ÎÊÇÒÒ¶þ°·ËÄÒÒËáÌúÄÆ´ß»¯£¬±¥ºÍ»îÐÔÌ¿µÄ¹ýÑõ»¯ÎïÑõ»¯´¦Àí¿ÉÄÜÊÇÈ¥³ý¸ßCODȾɫ·ÏË®µÄÓÐǰ¾°µÄÌæ´ú·½°¸£¬ÆäÑõ»¯¼Á¸üÉÙ£¬COD´¦ÀíЧÂʸü¸ß¡£²¢ÇÒÌá³öÁËÒ»¸ö°´±ÈÀý·Å´óµÄ200LÎü¸½-ÔÙÉú×°Ö㬲¢½â¾öÁËÆä²Ù×÷¹ý³ÌºÍDZÔÚÏÞÖÆ¡£
ÎÄÕ±êÇ©£ºÒ¬¿Ç»îÐÔÌ¿,¹û¿Ç»îÐÔÌ¿,úÖÊ»îÐÔÌ¿,ľÖÊ»îÐÔÌ¿,·äÎÑ»îÐÔÌ¿,¾»Ë®»îÐÔÌ¿.±¾ÎÄÁ´½Ó£ºhttp://m.fdcnvt.cn/hangye/hy1094.html
ÍÆ¼ö×ÊѶ
- 2026-02-25»îÐÔÌ¿Îü¸½´¦ÀíÆ¡¾Æ³§·ÏË®
- 2026-02-13»îÐÔÌ¿Îü¸½´¦Àíº¬¹¯·ÏÆø
- 2026-02-04»îÐÔÌ¿ÓÃÓÚ´Ó·ÏË®ÖÐÎü¸½È¥³ý΢Á¿ïÓºÍǦ
- 2026-01-28»îÐÔÌ¿½àÑÀ·ÛרÓÃ
- 2026-01-20»îÐÔÌ¿ÔÚ·ÏÆø´¦ÀíÖеÄһЩ³£Ê¶
- 2026-01-13»îÐÔÌ¿ÔÚ¾«ÖÆÌÇÉú²úÖеÄÍÑɫЧ¹û
- 2026-01-07»îÐÔÌ¿¶Ôßäßò»ùÀë×ÓÒºÌåµÄÎü¸½ÐÔÄÜ
- 2025-12-24»îÐÔÌ¿¸ÄÐÔÔöÇ¿¶ÔÒÒõ£°±»ù·ÓµÄÎü¸½
- 2025-12-15»îÐÔÌ¿Îü¸½Âí¶µÁåËá
- 2025-11-27³¬Ï¸»îÐÔÌ¿5000Ä¿·ÛÄ©»îÐÔÌ¿
- 2025-11-26»îÐÔÌ¿ÔÚÁò»¯Ï𽺳ÄÌ×ÖеÄÓ¦ÓÃ
- 2025-11-19»îÐÔÌ¿Îü¸½Öؾ§Ê¯»ìºÏÎïÖеÄͺÍп
