µç»°£º13570151199
´«Õ棺020-39972520
ÓÊÏ䣺hanyan@hanyancarbon.com
µØÖ·£º¹ã¶«Ê¡¹ãÖÝÊз¬Ø®Çø¶«»·½Ö·¬Ø®´óµÀ±±555ºÅÌì°²×ܲ¿ÖÐÐÄ30ºÅÂ¥6²ã
¡¡¡¡»îÐÔÌ¿´ß»¯½µ½âÁÚÂȱ½·Ó
¡¡¡¡¶þ¶ñӢͳ³ÆÎª¶àÂȶþ±½²¢ß»à«ºÍ¶àÂȶþ±½²¢¶þ¶ñÓ¢¡£»·¾³ÖдóÔ¼90%µÄ¶þ¶ñÓ¢ÊÇÓÉÈËÀ๤ҵ¹ý³Ì²úÉúµÄ£¬Ö÷ÒªÀ´×ÔÀ¬»ø·ÙÉÕ¡¢»¯Ñ§Éú²ú¡¢½ðÊôÒ±Á¶ºÍÔìÖ½¹¤Òµ¡£²»Í¬À´Ô´µÄ¶þ¶ñÓ¢µÄÅÅ·Å»úÖÆºÍ״̬²îÒìºÜ´ó¡£Îª´Ë£¬¶þ¶ñÓ¢ÒѳÉΪ¾ÃÐÔÓлúÎÛȾÎï¼õÅŵÄÖØµã¡£ÓÉÓÚ¶þ¶ñÓ¢±È½ÏΣÏÕ£¬ÁÚÂȱ½·ÓÒòÆä½á¹¹ÏàËÆÐÔ¶ø±»Ñ¡ÎªÑо¿»¯ºÏÎȻºóÎÒÃDZȽÏÁ˲»Í¬·½·¨¸ÄÐԵĻîÐÔÌ¿¶ÔÁÚÂȱ½·ÓµÄ´ß»¯½µ½âÐÔÄÜ¡£
¡¡¡¡»îÐÔÌ¿´ß»¯»îÐÔ¿ÉÒÔͨ¹ýÓÃHNO3ºÍNH3·H2OµÈ»ùÍÅÐÞÊλîÐÔÌ¿±íÃæÀ´Ìá¸ß¡£ÎªÁ˱ȽÏÕâЩ±ä»¯µÄ»îÐÔÌ¿´ß»¯ÐÔÄÜ£¬Ê¹Óû¯Ñ§´¦ÀíºÍ½ðÊô¸ÄÐԺϳÉÁËÁ½ÖÖÀàÐ͵Ä̼»ù´ß»¯¼Á¡£Ôڹ̶¨´²·´Ó¦Æ÷ÖжԴ߻¯¼Á½øÐÐÆÀ¹À£¬²¢Ê¹ÓÃÆøÏàÉ«Æ×-ÖÊÆ×·¨¼ì²âÆøÌ¬²úÎï¡£×îºó£¬¸ù¾ÝÀÂü¡¢XÉäÏß¹âµç×ÓÄÜÆ×ºÍN2Îü¸½-½âÎüµÈÎÂÏß·ÖÎöµÄ½á¹û£¬Ìá³öÁË´ß»¯»úÖÆ¡£
¡¡¡¡²»Í¬´ß»¯¼Á¶ÔÁÚÂȱ½·ÓÑõ»¯µÄ´ß»¯ÐÔÄÜ
¡¡¡¡´ß»¯ÊÔÑéÆÚ¼äÏÂÓÎÁÚÂȱ½·ÓŨ¶ÈµÄÑݱäÈçͼ1aËùʾ¡£ÈçͼËùʾ£¬ÁÚÂȱ½·Ó´ïµ½±¥ºÍÐèÒª40·ÖÖÓ£¬ÍêÈ«ÉøÍ¸µ½´ß»¯¼ÁÖÐÐèÒªÔ¼60·ÖÖÓ¡£×î³õ£¬µ±Î¶ÈÉý¸ßʱ£¬ÁÚÂȱ½·ÓÐźż±¾çÔö¼Ó£¬µ«ÔÚ30·ÖÖÓºó±äµÃƽ̹¡£ÕâÖÖÏÖÏóÔÚ150µ½210¡æµÄζÈϸüΪÃ÷ÏÔ£¬Èçͼ1bËùʾ¡£µ±Î¶ȸßÓÚ210¡æÊ±£¬ÕâÖÖÏÖÏó²»ÏñÒÔǰÄÇôÃ÷ÏÔ£¬Õâ¿ÉÄÜÊÇÓÉÓÚ¸ßÎÂÏÂÁÚÂȱ½·ÓµÄÈ¥³ý×÷Óá£

¡¡¡¡Í¼1£º(a)´ß»¯ÊÔÑéÆÚ¼äÏÂÓÎÁÚÂȱ½·ÓŨ¶ÈµÄÑݱ䡣(b)ͼ(a)150ÖÁ210¡æµÄ¾Ö²¿·Å´óÂÊ¡£
¡¡¡¡¶ÔÓÚͨ¹ý»¯Ñ§ÊÔ¼ÁºÍÈÈ´¦Àí¸ÄÐԵĻîÐÔÌ¿£¬ÁÚÂȱ½·ÓÑõ»¯ÔÚ270°CÒÔϼ¸ºõ²»·¢Éú¡£ÊÂʵÉÏ£¬³ýÁËÁíÍâÁ½ÖÖ´ß»¯¼Á»î»¯µÄ»îÐÔÌ¿Í⣬¼´Ê¹ÔÚ330¡æÏ£¬×ª»¯ÂÊÈÔÈ»µÍÓÚ25%¡£×ÜÌåÀ´Ëµ£¬Ô»îÐÔÌ¿µÄ´ß»¯»îÐÔÏ൱²»Í»³ö£¬°±Ë®¸ÄÐÔ»îÐÔÌ¿ÔÚ330¡æÊ±½«ÁÚÂȱ½·Óת»¯ÂÊÌá¸ßµ½82.3%£¬¶øÆäËû¸ÄÐÔ»îÐÔÌ¿ÔÚ¸ÃζÈϽ«ÁÚÂȱ½·Óת»¯ÂÊÌá¸ßµ½93.3%¡£ÕâЩ´ß»¯¼Á±íÃ÷±íÃæ¸ÄÐԺͽðÊô½þ×Õ¶¼¿ÉÒÔÌá¸ß»îÐÔÌ¿µÄ´ß»¯ÐÔÄÜ¡£¾ßÌå¶øÑÔ£¬»îÐÔÌ¿Éϵ嬵ª¹ÙÄÜÍÅ¿ÉÒÔ×÷Ϊ»îÐÔλµã£¬¾¡¹Ü´ß»¯¼ÁµÄ´ß»¯»îÐÔÏà¶Ô¸ßÓÚº¬µª¹ÙÄÜÍÅ¡£
¡¡¡¡»îÐÔÌ¿µÄ´ß»¯»úÀí
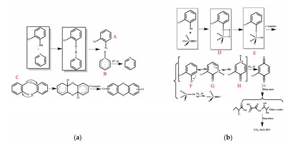
¡¡¡¡Óú¬µª·Ö×Ó(Èç°±)´¦Àí»îÐÔÌ¿¿ÉÒÔÒýÈ뵪¹ÙÄÜÍÅ£¬¶øßÁà¤ÊÇ×îÖØÒªµÄ´ËÀàÎïÖÊ¡£Ò²¾ÍÊÇ˵£¬SCR·´Ïõ»¯Ë®Æ½µÄÌá¸ßÓë»îÐÔÌ¿±íÃæÉÏ´æÔÚ¸ü¸ß±ÈÀýµÄßÁषÖ×ÓÓйء£È»¶ø£¬ßÁà¤ÔÚ´ß»¯»úÖÆÖеÄ×÷ÓÃÈÔ²»È·¶¨¡£ßÁाßÓи»µç×ӽṹ£¬Æä´ß»¯ÄÜÁ¦¿ÉÄÜÔ´ÓÚÆäµªÔ×ӵļîÐÔ¡£´ËÍ⣬¶þ¶ñÓ¢µÄºÏ³ÉÊÇ×ÔÓÉ»ùÐÍ·´Ó¦£¬ßÁवȸ»µç×ӽṹµÄ´æÔÚ»á´Ù½ø×ÔÓÉ»ùµÄÐγɡ£»ùÓÚÉÏÊö·ÖÎö£¬Í¼2aÖÐÌá³öÁË·´Ó¦»úÀí¡£ÔÚ¼ÓÈÈÏ£¬ßÁà¤ÉϵĵªÔ×Ó´ÓÁÚÂȱ½·ÓÉϵķÓôÇ»ùÖжáÈ¡ÇâÔ×Ó£¬Éú³É×ÔÓÉ»ùA¡£Á½¸ö×ÔÓÉ»ùA·Ö×ӵIJ»Í¬Åöײλµã¿ÉÒÔ²úÉú²»Í¬µÄ¾ÛºÏÎï²úÎï¡£ÒÔͼ2aÖеÄ;¾¶CΪÀý£¬·´Ó¦²úÉú¶þÂÈPCDD¡£ÏÔÈ»£¬·¼Ïã»·ÉÏôÇ»ùºÍÂÈ»ùÍŵĴæÔÚºÍλÖõ¼ÖÂÐγɲ»Í¬µÄ²úÎ;¾¶C¿ÉÄÜÊÇ×î²»¿ÉÄܵÄÇé¿ö£¬Õâ¾ÍÊÇΪʲôֻ¹Û²ìµ½ÉÙÁ¿µÄPCD²úÎï¡£ÔÚ·Ö×ÓÑõµÄ´æÔÚÏ£¬×ÔÓÉ»ùC±»Ñõ»¯³ÉßÁड£ÓÉÒÔÉÏÂ۾ݿÉÒÔÍÆ¶Ï£¬µ±µª¸ÄÐÔ»îÐÔÌ¿ÓÃÓÚSCR´ß»¯·´Ó¦Ê±£¬ÓÈÆäÊÇÔÚÂÈÔ×Ó¡¢±½»·ºÍÑõ´æÔÚµÄÇé¿öÏ£¬ÔÙÉú¹ý³ÌÖпÉÄÜ´æÔÚ¶þ¶ñÓ¢ºÏ³ÉºÍÒݳöµÄ·çÏÕ¡£
¡¡¡¡ÒѾʹÓðüÀ¨Âȱ½ºÍ¶àÂȱ½ÔÚÄÚµÄÄ£ÐÍÎïÖÊÌá³öÁËÑõ»¯µÄ¸÷ÖÖ»úÖÆ¡£ÁÚÂȱ½·ÓµÄÑõ»¯¿ÉÄܾßÓжÀÌØµÄ»úÖÆ¡£»ùÓÚ±¾ÎÄÌá³öµÄ¼¯Ìå½á¹û£¬Ìá³öÁË»îÐÔÌ¿±íÃæÉÏÁÚÂȱ½·Ó½µ½âµÄ·´Ó¦»úÖÆ(ͼ2b)¡£¶ÔÓÚ»îÐÔÌ¿£¬ÁÚÂȱ½·Ó·´Ó¦Ðγɹý¶É̬D£¬°üÀ¨Ñõ»¯·°ºÍ·°µÄË«¼üÑõÔ×Ó£¬ÆäѸËÙת±äΪE¡£Ëæºó£¬·¢Éúµç×Ó×ªÒÆÒÔÐγɴøÕýµçºÉµÄÑõ»¯ºÏÎïF£¬½«·°(V)»¹ÔΪ·°(IV)¡£Çë×¢Ò⣬»¯ºÏÎïF¡¢Ì¼ÕýÀë×ÓGºÍHÊǹ²ÕñÐÎʽ¡£ÔÚ·Ö×ÓÑõ´æÔÚÏ£¬H½øÒ»²½Ñõ»¯ÎªÁÚÂȱ½õ«¡£ÁÚÂȱ½õ«ÓëÑõ·¢Éú¿ª»··´Ó¦£¬Éú³É¸÷ÖÖËá¡¢´¼ºÍÆäËûС·Ö×ÓÎïÖÊ£¬ÐγÉ×îÖÕ²úÎÈçCOx¡¢H2OºÍHCl¡£·°(IV)¿ÉÒÔ±»·Ö×ÓÑõÖØÐÂÑõ»¯£¬»Ö¸´Ô×´¡£

¡¡¡¡Í¼2£ºÁÚÂȱ½·ÓÑõ»¯µÄ·´Ó¦»úÖÆ£¬°üÀ¨(a)°±¸ÄÐÔ»îÐÔÌ¿ºÍ(b)ÆäËû¸ÄÐÔ»îÐÔÌ¿¡£
¡¡¡¡»îÐÔÌ¿´ß»¯½µ½âÁÚÂȱ½·Ó£¬Ñо¿²âÊÔÖкϳÉÁËһϵÁоßÓв»Í¬¸ÄÐÔ·½·¨µÄ»îÐÔÌ¿»ù´ß»¯¼Á£¬²¢½«ÆäÓÃ×÷ÆøÏཱུ½âÁÚÂȱ½·ÓµÄ´ß»¯¼Á¡£¶ÔÓÚ»¯Ñ§´¦ÀíµÄ´ß»¯¼Á£¬¸´ºÏ¸ÄÐԵĻîÐÔÌ¿´ß»¯Ð§¹ûÂÔºÃÓÚ°±¸ÄÐÔ»îÐÔÌ¿£¬ÔÚ330¡æÊ±È¥³ýЧÂÊΪ82.3%¡£¶ÔÓÚ½ðÊô¸ÄÐÔ´ß»¯¼Á£¬½ðÊô¸ÄÐÔ»îÐÔÌ¿ºÍÆäËû¸ÄÐÔ»îÐÔÌ¿ÔÚ330¡æÏ±íÏÖ³öÀàËÆµÄÈ¥³ýЧÂÊÐÔÄÜ£¬Îª93.3%¡£´ó¶àÊý´ß»¯²úÎﱻת»¯ÎªÌ¼Ñõ»¯Îï¡£ÁÚÂȱ½·ÓµÄÍêÈ«Ñõ»¯½µ½âÊÇͨ¹ý½ðÊô¸ÄÐÔ»îÐÔÌ¿¶ø²»Êǰ±¸ÄÐÔ»îÐÔ̿ʵÏֵģ¬ ÿÖÖ´ß»¯¼Áͨ¹ý²»Í¬µÄ·´Ó¦»úÖÆÔËÐС£
ÎÄÕ±êÇ©£ºÒ¬¿Ç»îÐÔÌ¿,¹û¿Ç»îÐÔÌ¿,úÖÊ»îÐÔÌ¿,ľÖÊ»îÐÔÌ¿,·äÎÑ»îÐÔÌ¿,¾»Ë®»îÐÔÌ¿.±¾ÎÄÁ´½Ó£ºhttp://m.fdcnvt.cn/hangye/hy1047.html
ÍÆ¼ö×ÊѶ
- 2026-02-25»îÐÔÌ¿Îü¸½´¦ÀíÆ¡¾Æ³§·ÏË®
- 2026-02-13»îÐÔÌ¿Îü¸½´¦Àíº¬¹¯·ÏÆø
- 2026-02-04»îÐÔÌ¿ÓÃÓÚ´Ó·ÏË®ÖÐÎü¸½È¥³ý΢Á¿ïÓºÍǦ
- 2026-01-28»îÐÔÌ¿½àÑÀ·ÛרÓÃ
- 2026-01-20»îÐÔÌ¿ÔÚ·ÏÆø´¦ÀíÖеÄһЩ³£Ê¶
- 2026-01-13»îÐÔÌ¿ÔÚ¾«ÖÆÌÇÉú²úÖеÄÍÑɫЧ¹û
- 2026-01-07»îÐÔÌ¿¶Ôßäßò»ùÀë×ÓÒºÌåµÄÎü¸½ÐÔÄÜ
- 2025-12-24»îÐÔÌ¿¸ÄÐÔÔöÇ¿¶ÔÒÒõ£°±»ù·ÓµÄÎü¸½
- 2025-12-15»îÐÔÌ¿Îü¸½Âí¶µÁåËá
- 2025-11-27³¬Ï¸»îÐÔÌ¿5000Ä¿·ÛÄ©»îÐÔÌ¿
- 2025-11-26»îÐÔÌ¿ÔÚÁò»¯Ï𽺳ÄÌ×ÖеÄÓ¦ÓÃ
- 2025-11-19»îÐÔÌ¿Îü¸½Öؾ§Ê¯»ìºÏÎïÖеÄͺÍп
