µç»°£º13570151199
´«Õ棺020-39972520
ÓÊÏ䣺hanyan@hanyancarbon.com
µØÖ·£º¹ã¶«Ê¡¹ãÖÝÊз¬Ø®Çø¶«»·½Ö·¬Ø®´óµÀ±±555ºÅÌì°²×ܲ¿ÖÐÐÄ30ºÅÂ¥6²ã
¡¡¡¡»îÐÔÌ¿Îü¸½¾«ÖÆ×ØéµÓÍÖеÄÓк¦Îï
¡¡¡¡×ØéµÓÍ¿ÉÓÃÓÚÉú²úÆäÑÜÉú²úÆ·£¬ÈçʳÓÃÓͺÍÈËÔì»ÆÓÍ¡£¸Ã¹ý³Ì°üÀ¨Á½¸öÖ÷Òª²½Ö裺ÌáÈ¡ºÍ¾«Á¶¡£ÔÚÌáÈ¡²½ÖèÖУ¬Éú²ú´ÖרéµÓÍ¡£È»ºó£¬´ÖרéµÓͽøÐо«Á¶²½Ö裬°üÀ¨ÎïÀí(ÕôÆû)¾«Á¶¡¢Íѽº¡¢Æ¯°×ºÍÍѳô£¬ÒÔÉú²ú¾«Á¶¡¢Æ¯°×ºÍÍѳôרéµÓÍ¡£È»¶ø£¬×ØéµÓͱ»Ö¤Ã÷º¬ÓÐÉÙÁ¿Óк¦µÄ»¯ºÏÎï¡£ÕâЩÓж¾ÎÛȾÎïÊÇ 3-µ¥Âȱû¶þ´¼(3-MCPD)õ¥ºÍËõË®¸ÊÓÍõ¥ (GE)£¬ËüÃÇÊÇÔÚרéµÓ͸ßÎÂÍѳô¹ý³ÌÖÐÐγɵġ£±¾´ÎÑо¿×¼±¸Í¨¹ý»îÐÔÌ¿Îü¸½À´½µµÍ¾«Á¶×ØéµÓÍÖÐÓк¦ÎïµÄŨ¶È¡£
¡¡¡¡×ØéµÓ͵ÄÿÖÖÑÜÉú²úÆ·¶¼º¬ÓÐ3-µ¥ÂȱûÍé-1,2-¶þ´¼õ¥¼°ÆäÏà¹ØÎïÖÊËõË®¸ÊÓÍõ¥(GE)¡£Á½Õß¶¼ÊÇÔÚ¸ßÎÂ(Ô¼200¡æ)ÏÂͨ¹ý³ý³ô¹ý³ÌÐγɵġ£Í¨³££¬ÓÉרéµÓÍÉú²úµÄʳÓÃÓ͵Ä3-µ¥ÂȱûÍéºÍGEŨ¶È½Ï¸ß¡£½µµÍʳÓÃÓÍÖÐÓк¦ÎïµÄº¬Á¿ÓÐһЩ»º½â´ëÊ©£¬¼´±ÜÃâºÍ¾¡Á¿¼õÉÙÔÁÏÖеÄǰÌå¡¢¸Ä½ø¡¢ÑÓ³¤¾«Á¶¹ý³ÌÒÔ¼°¾«Á¶ºóÈ¥³ýõ¥Àà¡£Õâ´ÎÎÒÃÇʹÓÃÁËÎü¸½·¨¾«Á¶ºóÈ¥³ýõ¥À࣬ÒòΪËü³É±¾µÍÇÒ²»¸Ä±äÉÌÒµ¹¤ÒÕ¡£±ØÐëÔÚ³ý³ôºÍ·ÖÁó²½ÖèÖ®¼äÌí¼Ó»îÐÔÌ¿Îü¸½²¢ÔÚ±¥ºÍºÍ²»±¥ºÍÖ¬·¾²úÆ·ÖÐÈ¥³ý¡£
¡¡¡¡»îÐÔÌ¿µÄÌØÐÔ
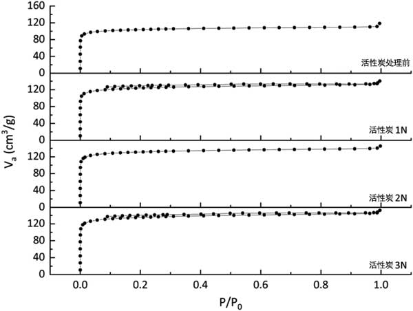
¡¡¡¡Ê¹ÓÃBET·¨µÄµªÆøÎïÀíÎü¸½·ÖÎöÒÇÈ·¶¨Îü¸½¼ÁÎü¸½µÈÎÂÏß²¢²âÁ¿±È±íÃæ»ýºÍ¿×Ìå»ý¡£µÈÎÂÇúÏßÈçͼ1Ëùʾ¡£Í¼1ÏÔʾ´¦ÀíǰºóµÄËùÓлîÐÔÌ¿¾ùΪIÐ͵ÈÎÂÏß¡£IÐ͵ÈÎÂÏß±íÃ÷Îü¸½¼Áͨ³£ÊÇ΢¿×µÄ£¬±©Â¶µÄ±íÃæ¼¸ºõÍêȫλÓÚ΢¿×ÄÚ²¿£¬¼¸ºõûÓлòûÓÐÍâ±íÃæ¿É¹©½øÒ»²½Îü¸½Ò»´Î³äÂúÎü¸½ÖÊ¡£IÐÍÏòP/P0Öá°¼£¬Îü¸½Á¿´ïµ½¼«ÏÞÖµ(P/P0→1)P/P0ÊÇÏà¶ÔѹÁ¦£¬ËüÊÇÎü¸½ÆøÌ寽ºâѹÁ¦ÓëÆä±¥ºÍƽºâÕôÆûѹÁ¦µÄ±ÈÖµ¡£Í¼1ÖÐÇå³þµØÃèÊöÁËËá´¦Àí¿ÉÒÔÔö¼ÓÎü¸½µªÆøµÄÌå»ý£¬Õâ±íÃ÷Ôö¼ÓµÄ¿×Ìå»ý¡£

¡¡¡¡Í¼1£º»îÐÔÌ¿´¦ÀíǰºóµÄµÈÎÂÏßÇúÏß¡£
¡¡¡¡»îÐÔÌ¿µÄÎü¸½ÄÜÁ¦²âÊÔ
¡¡¡¡ÓÃ×÷Îü¸½¼ÁµÄ»îÐÔÌ¿ÊǸù¾ÝÆäÔÚÏÈǰʵÑéÖй۲쵽µÄÓÅÑ¡ÌØÐÔÀ´Ñ¡ÔñµÄ¡£ÔÚÔ²µ×ÉÕÆ¿ÄÚ½øÐÐʵÑéÊÒ¹æÄ£µÄÎü¸½(¼ûͼ2)¡£ÖƱ¸3-MCPDµÄ¼×´¼ÈÜÒº£¬Å¨¶ÈΪ5¡¢10¡¢15ºÍ40ppm¡£Ê¹ÓÃ2%µÄ»îÐÔÌ¿ÔÚ40¡æÏÂÎü¸½Á½Ð¡Ê±¡£È»ºó£¬½«»ìºÏÎïÔÚ5000rpmºÍÊÒÎÂÏÂÀëÐÄ15·ÖÖÓ¡£È»ºóÖÆ±¸¸ÃÈÜÒºÓÃÓÚ·ÖÎö¡£

¡¡¡¡Í¼2£ºÊµÑéÊÒ¹æÄ£»îÐÔÌ¿Îü¸½µÄÒÇÆ÷·½°¸¡£
¡¡¡¡Ê¹ÓÃËá´¦ÀíµÄ»îÐÔÌ¿¶ÔÓк¦ÎïµÄÎü¸½Æ½ºâÑо¿
¡¡¡¡Âȱû´¼»¯ºÏÎïµÄÎü¸½ÊÇÓÉÓÚ»îÐÔÌ¿±íÃæµÄôÈ»ùÓë3-MCPDµÄÂÈ»¯Îïλµã·¢Éúõ¥»¯£¬²»ÊÇôÇ»ùλµã»òõ¥Î»µã¡£Òò´Ë£¬µÈÎÂÏßÄ£ÐÍÊÇÓÃ3-MCPDÈÜÒº×÷Ϊ±»Îü¸½ÎïÈÜÒºµÄÎü¸½À´²âÁ¿µÄ¡£¸÷µÈÎÂÏßÄ£Ð͵ÄÏßÐԻعéͼ¼ûͼ3£¬´Ó½á¹ûÀ´¿´Langmuir¡¢Freundlich¡¢Dubinin-RaduskevichºÍTemkinµÈÎÂÏßÄ£Ð;ßÓнϸߵÄR2Öµ£¬TemkinÄ£Ðͽϸߣ¬Òò´ËÊÇÊʺÏ3-MCPDÎü¸½µÄÄ£ÐÍ¡£

¡¡¡¡Í¼3£º»îÐÔÌ¿¶ÔÓк¦ÎïÎü¸½µÄµÈÎÂÏßÄ£ÐÍͼ¡£
¡¡¡¡»îÐÔÌ¿Îü¸½·Ç¼«ÐÔ»¯ºÏÎï(3-MCPDEºÍGE)»ò¼«ÐÔ»¯ºÏÎï(3-MCPDºÍËõË®¸ÊÓÍ)µÄÄÜÁ¦Ò²ÓëÆäÊèË®ÐÔ/Ç×Ë®ÐÔÓйء£»îÐÔÌ¿µÄÊèË®/Ç×Ë®ÌØÐÔÓëÆäÑõº¬Á¿Óйء£Ò»°ãÀ´Ëµ£¬»îÐÔÌ¿±»±íʾΪ·Ç¼«ÐÔÎü¸½¼Á£¬Òò´Ë¿ÉÒÔÎü¸½·Ç¼«ÐÔ·Ö×Ó3-MCPDEºÍGE¡£Õâµ¼Ö·Ǽ«ÐÔ·Ö×ӺͻîÐÔ֮̿¼ä¾ßÓкÜÇ¿µÄÇ׺ÍÁ¦¡£È»¶ø£¬±íÏÖ³öÑõµÄ»îÐÔÌ¿½«¾ßÓм«ÐÔλµã¡£Òò´Ë£¬»îÐÔÌ¿¾ßÓÐÎü¸½¼«ÐÔ»¯ºÏÎïµÄÄÜÁ¦£¬Èç2-MCPD¡¢3-MCPDºÍËõË®¸ÊÓÍ(·Çõ¥»¯ÐÎʽ)¡£ÏÈǰµÄÑо¿ÒѾ֤Ã÷£¬¼«ÐÔ»¯ºÏÎï(ÀýÈçË®)¿ÉÒÔͨ¹ýÇâ¼üÓë»îÐÔÌ¿½áºÏ£¬È»ºóÔÚ´ËλÖÃÐγɶîÍâµÄË®·Ö×Ó×顣ͨ¹ýËá´¦Àí¸ÄÐԵĻîÐÔÌ¿¿ÉÒÔÓÕµ¼±íÃæ±äµÃ¸ü¾ß¼«ÐÔ£¬²¢ÇÒ»¹µ¼ÖÂÎü¸½¼Á¸üÓÐÑ¡ÔñÐÔµØÎü¸½3-MCPDE¡¢GE¼°Æä±È¸ÊÓÍÈýõ¥¸ü¾ß¼«ÐԵķÇõ¥»¯ÐÎʽ¡£×ÜÖ®£¬»îÐÔÌ¿´ó¶àÊǷǼ«ÐԵ쬵«Ò²ÓÐһЩ¼«ÐÔλµã¡£
¡¡¡¡»îÐÔÌ¿Îü¸½¾«ÖÆ×ØéµÓÍÖеÄÓк¦ÎʵÑéÖеĻîÐÔÌ¿ÒÑʹÓÃËá¸ÄÐÔ¡£ÔÚ»îÐÔÌ¿ÉÏʹÓýøÐÐËá´¦Àí¿ÉµÃµ½Á¼ºÃµÄ¿×Ìå»ý·Ö²¼£¬Òѳɹ¦Ö¤Ã÷ÓÃËá´¦ÀíµÄ»îÐÔÌ¿¿ÉÒÔÎü¸½3-MCPDºÍGE¡£Í¨¹ýʹÓø÷ÖÖµÈÎÂÏßÄ£ÐÍÄâºÏƽºâÊý¾Ý·¢ÏÖ£¬»îÐÔÌ¿¿ÉÒÔÈ¥³ý¾«ÖÆ×ØéµÓÍÖÐÔ¼97%µÄGEŨ¶È¡£»îÐÔÌ¿¶Ô·Ç¼«ÐÔ»¯ºÏÎïµÄÎü¸½±È¶Ô¼«ÐÔ»¯ºÏÎïµÄÎü¸½Ð§¹û¸üºÃ¡£¾«ÖÆ×ØéµÓÍÖÐGEº¬Á¿µÄÈ¥³ýЧ¹ûÓÅÓÚʹÓûîÐÔ̿ȥ³ý3-MCPD¡£Èç¹ûÔÚ35¡æµÄ²Ù×÷ζÈÏ£¬GEÈ¥³ýÂʵİٷֱÈΪ97%¡£
ÎÄÕ±êÇ©£ºÒ¬¿Ç»îÐÔÌ¿,¹û¿Ç»îÐÔÌ¿,úÖÊ»îÐÔÌ¿,ľÖÊ»îÐÔÌ¿,·äÎÑ»îÐÔÌ¿,¾»Ë®»îÐÔÌ¿.±¾ÎÄÁ´½Ó£ºhttp://m.fdcnvt.cn/hangye/hy1043.html
ÍÆ¼ö×ÊѶ
- 2026-02-25»îÐÔÌ¿Îü¸½´¦ÀíÆ¡¾Æ³§·ÏË®
- 2026-02-13»îÐÔÌ¿Îü¸½´¦Àíº¬¹¯·ÏÆø
- 2026-02-04»îÐÔÌ¿ÓÃÓÚ´Ó·ÏË®ÖÐÎü¸½È¥³ý΢Á¿ïÓºÍǦ
- 2026-01-28»îÐÔÌ¿½àÑÀ·ÛרÓÃ
- 2026-01-20»îÐÔÌ¿ÔÚ·ÏÆø´¦ÀíÖеÄһЩ³£Ê¶
- 2026-01-13»îÐÔÌ¿ÔÚ¾«ÖÆÌÇÉú²úÖеÄÍÑɫЧ¹û
- 2026-01-07»îÐÔÌ¿¶Ôßäßò»ùÀë×ÓÒºÌåµÄÎü¸½ÐÔÄÜ
- 2025-12-24»îÐÔÌ¿¸ÄÐÔÔöÇ¿¶ÔÒÒõ£°±»ù·ÓµÄÎü¸½
- 2025-12-15»îÐÔÌ¿Îü¸½Âí¶µÁåËá
- 2025-11-27³¬Ï¸»îÐÔÌ¿5000Ä¿·ÛÄ©»îÐÔÌ¿
- 2025-11-26»îÐÔÌ¿ÔÚÁò»¯Ï𽺳ÄÌ×ÖеÄÓ¦ÓÃ
- 2025-11-19»îÐÔÌ¿Îü¸½Öؾ§Ê¯»ìºÏÎïÖеÄͺÍп
