µç»°£º13570151199
´«Õ棺020-39972520
ÓÊÏ䣺hanyan@hanyancarbon.com
µØÖ·£º¹ã¶«Ê¡¹ãÖÝÊз¬Ø®Çø¶«»·½Ö·¬Ø®´óµÀ±±555ºÅÌì°²×ܲ¿ÖÐÐÄ30ºÅÂ¥6²ã
¡¡¡¡ÇâÊÇÇå½àÄÜÔ´£¬ÓÐ×Å´¢Á¿·á¸»¶Ô»·¾³ÓѺúÍȼÉÕÈÈÖµ¸ßµÈÓŵ㣬×÷ΪһÖÖÌæ´úÄÜÔ´Êܵ½¹ã·º¹Ø×¢¡£ËäÈ»ÇâÆøµÄÒ×ȼÐÔµ¼ÖÂÆäÔÚ´¢´æºÍÔËÊä¹ý³ÌÖдæÔÚDZÔÚΣÏÕ¡£µ«ÊÇÒºÌåÓлúÇ⻯Îï¿ÉÄæÇ⻯-ÍÑÇâÑ»·£¬±ãÓÚÖü´æºÍÇâµÄ°´ÐèÊÍ·Åͨ¹ý´ß»¯¹ý³Ì¡¢¸ß´¢ÇâÄÜÁ¦¡¢¸ßÄÜÁ¿Ãܶȡ¢°²È«Ìõ¼þÏÂÔËÊä·½±ãµÈ¡£ËùÒÔÎÒÃÇ¿ª·¢Á˼׻ù»·¼ºÍéÔÚÔØ²¬»îÐÔÌ¿´ß»¯¼ÁÉϵÄÍÑÇâ·´Ó¦¡£
¡¡¡¡»·¼ºÍé¡¢¼×»ù»·¼ºÍé¡¢1,4-¶þ¼×»ù»·¼ºÍéºÍÊ®Ç⻯ÝÁ¶¼ÊôÓÚҺ̬ÓлúÇ⻯ÎËüÃǾßÓиߴ¢ÇâÈÝÁ¿(6-8%)ºÍ¸ß·Ðµã(80-200¡æ)£¬ÒÔÈ·±£ËüÃÇÔÚÔËÊä¹ý³ÌÖд¦ÓÚҺ̬¡£ÆäÖУ¬¼×»ù»·¼ºÍéÓÉÓÚÆä¸ß¿ÉÄæÐÔºÍÍÑÇâ²úÎïµÄµÍ¶¾ÐÔ¶ø³ÉΪDZÔÚ²ÄÁÏ¡£²¬»ù´ß»¯¼Á¿ÉÒÔÑ¡ÔñÐԵؼ¤»îC-H¼ü¶ø²»¶ÏÁÑC-C¼ü²¢ÏÔ׎µµÍ»î»¯ÄÜ£¬µ«ÊÇ´ß»¯¼ÁÔØÌå¶Ô²¬»ù´ß»¯¼ÁµÄ»îÐÔºÍÎȶ¨ÐÔÆð×ÅÖØÒª×÷Ó᣻îÐÔÌ¿ÔØÌå¾ßÓнϴóµÄ±íÃæ»ý¡¢·á¸»µÄ¿×½á¹¹ºÍ´óÁ¿µÄº¬Ñõ¹ÙÄÜÍÅ£¬ÕâÓ°ÏìÁËÁ£¾¶¡¢·ÖÉ¢ÐԺͲ¬»ù´ß»¯¼ÁµÄÍÑÇâ»îÐÔ¡£ÇâÆø³ÌÐòÉýλ¹Ô¼¼ÊõÓÃÓÚÑо¿»îÐԳɷֲ¬Ó벻ͬ¹¦ÄÜ»¯»îÐÔ֮̿¼äµÄÏ໥×÷Óá£ËùÒÔÎÒ°ÑËûÃǽáºÏÁË£¬ÖƳɵĶàÖÖ¹æ¸ñµÄ»îÐÔÌ¿ÔØ²¬´ß»¯¼Á£¬ÔÙÀ´²âÊÔËûÃǶԼ׻ù»·¼ºÍéÍÑÇâµÄЧÂÊ¡£
¡¡¡¡»îÐÔÌ¿´ß»¯¼ÁµÄ½á¹¹±íÕ÷
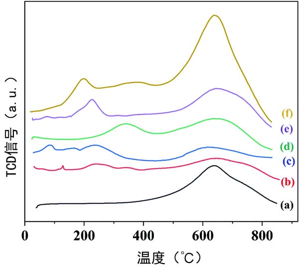
¡¡¡¡»îÐÔÌ¿ºÍÔØ²¬»îÐÔÌ¿´ß»¯¼ÁµÄH2-TPRÇúÏßÔÚͼ1ÏÔʾ£¬ËüÃè»æÁË»¹Ô»úÖÆ¡£Èçͼ1aËùʾ£¬ÔÚ»îÐÔÌ¿µÄH2-TPRÇúÏßÖй۲쵽630¡æµÄ·å£¬Õâ¹éÒòÓÚ»îÐÔÌ¿µÄ±íÃæ¹ÙÄÜÍÅ¡£Óë»îÐÔÌ¿Ïà±È£¬»îÐÔÌ¿ÔØ²¬´ß»¯¼ÁµÄH2-TPRÇúÏß(ͼ1b)ÏÔʾÁËÔÚ240¡æºÍ340¡æ´¦µÄ·åÖµ£¬ÕâÊÇÓÉPt-O-PtºÍPt-O-CµÄ»¹Ô²úÉúµÄ£¬·Ö±ð½øÒ»²½Ö¤Ã÷ÁË»îÐÔÌ¿ÔØ²¬´ß»¯¼ÁµÄ³É¹¦ºÏ³É¡£ÔÚÁòËá»î»¯»îÐÔÌ¿(ͼ1c)¡¢°±»ù±û»ùÈýÒÒÑõ»ù¹èÍé»î»¯(ͼ1d)µÄH2-TPRÇúÏßÖÐÒ²¹Û²ìµ½ÁËPt-O-Pt»òPt-O-CµÄ»¹Ô·å)¡¢Ñõ»¯Çâ»î»¯(ͼ1e)ºÍÏõËá»î»¯(ͼ1f)£¬ËüÃÇ¿ÉÒÔ¸ÄÉÆ½ðÊôÎïÖֵķÖÉ¢¡£´ËÍ⣬»îÐÔÌ¿ÔØ²¬»ù´ß»¯¼ÁÇúÏßÖеĻ¹Ô·åСÓÚ400¡æ£¬Õâ±íÃ÷²¬ÔÚ¼×»ù»·¼ºÍéÍÑÇâ֮ǰ´ß»¯¼ÁÖд¦ÓÚ½ðÊô״̬¡£

¡¡¡¡Í¼1£º»îÐÔÌ¿ºÍÔØ²¬»îÐÔÌ¿´ß»¯¼ÁÓ뻯ѧ»î»¯¼Á»î»¯ºó»îÐÔÌ¿µÄH2-TPR¡£
¡¡¡¡¼×»ù»·¼ºÍéÔÚ»îÐÔÌ¿ÔØ²¬´ß»¯¼ÁÉÏÍÑÇâ
¡¡¡¡Í¼2Ϊ¼×»ù»·¼ºÍéµ½¼×±½µÄת»¯ÇúÏߺÍÒÔÔØ²¬»îÐÔÌ¿¡¢Ôز¬ÁòËá»î»¯»îÐÔÌ¿¡¢¹ýÑõ»¯Çâ»î»¯¡¢ÏõËáºÍ°±»ù±û»ùÈýÒÒÑõ»ù¹èÍé»î»¯Îª´ß»¯¼ÁËæ·´Ó¦Î¶ȵÄÎöÇâÖ±·½Í¼300¡æºÍ5СʱµÄ¿Õ¼äËÙ¶È¡£Èçͼ2AËùʾ£¬Ê¹ÓÃÔØ²¬»îÐÔÌ¿×÷Ϊ´ß»¯¼ÁµÄ¼×»ù»·¼ºÍéµÄת»¯ÂÊ×î³õԼΪ21.2%£¬µ«ÔÚ12Сʱºó¼±¾çϽµÖÁ8.64%£¬Õâ¿ÉÄÜÊÇÓÉÓÚ»îÐÔÌ¿´ß»¯¼ÁµÄÍžÛËùÖ¡£Ïà±È֮ϣ¬²ÉÓÃÁòËá»î»¯Ôز¬»îÐÔÌ¿×÷Ϊ´ß»¯¼ÁµÄ¼×»ù»·¼ºÍéµÄת»¯ÂÊ×î³õԼΪ66.3%£¬12СʱºóÂÔÓÐϽµÖÁ61%£¬±ÈÎïÀí»î»¯µÄÔØ²¬»îÐÔÌ¿¸ü¸ßÇÒ¸üÎȶ¨¡£Ëü¿ÉÄÜÊÜÒæÓÚ»îÐÔÌ¿Äڵĸ߶ȷÖÉ¢ºÍСÁ£¾¶¡£È»¶ø£¬ÒÔÆäËû»î»¯·½·¨µÄÔØ²¬»îÐÔÌ¿´ß»¯¼ÁµÄ¼×»ù»·¼ºÍéµÄת»¯ÂÊÔ¶µÍÓÚÎïÀí»î»¯µÄÔØ²¬»îÐÔÌ¿£¬Õâ±íÃ÷Ï¡ÏõËá¡¢¹ýÑõ»¯ÇâºÍ°±±û»ùÈýÒÒÑõ»ù¹èÍé²»Êʺϴ¦Àí»îÐÔÌ¿ÒÔ´ß»¯¼×»ù»·¼ºÍéµÄÍÑÇâ¡£¼×»ù»·¼ºÍéʹÓÃÔØ²¬»îÐÔÌ¿¡¢ÁòËá»î»¯Ôز¬»îÐÔÌ¿µÄƽ¾ùת»¯ÖµÔÚͼ2BÏÔʾ¡£

¡¡¡¡Í¼2£º(A)¼×»ù»·¼ºÍéÍÑÇâΪ¼×±½µÄת»¯ÇúÏߺÍ(B)»îÐÔÌ¿ÔØ²¬´ß»¯¼ÁÉϵÄÎöÇâÖ±·½Í¼¡£
¡¡¡¡»ØÊÕÑо¿
¡¡¡¡½øÐлØÊÕÊÔÑéÒÔÑо¿»îÐÔÌ¿´ß»¯¼ÁµÄÒìÖÊÐÔºÍÎȶ¨ÐÔ¡£µÚÒ»´Î´ß»¯·´Ó¦Íê³Éºó£¬¹ýÂË»ØÊÕ»îÐÔÌ¿ÔØ²¬´ß»¯¼Á(ÁòËá»î»¯)£¬ÓÃÕôÁóˮϴµÓ£¬55¡æÕæ¿Õ¸ÉÔï12Сʱ£¬ÖØÐÂÓÃÓÚµÚ¶þ´Î´ß»¯·´Ó¦¡£ÔÚÁíÍâÈý¸öÔËÐÐÖÐʵʩÁËÏàͬµÄ²Ù×÷¡£Í¬Ê±£¬ÔÚµÚÒ»´ÎÔËÐкó£¬Í¨¹ý¼ì²â»ØÊյĻîÐÔÌ¿´ß»¯¼ÁºÍÂËÒºÖеIJ¬Á¿¡£Í¼3չʾÁË»ØÊÕÊÔÑéµÄ½á¹û¡£¹Û²ìµ½¼×»ù»·¼ºÍéµÄת»¯ÂÊÔÚ59.8-64.4%·¶Î§ÄÚÓÐС·ù²¨¶¯£¬±íÃ÷»îÐÔÌ¿´ß»¯¼ÁµÄ»îÐÔÔÚÖØ¸´Ê¹ÓÃ4´Îºó¼¸ºõûÓÐϽµ£¬±íÃ÷»îÐÔÌ¿´ß»¯¼Á¾ßÓÐÁ¼ºÃµÄÎȶ¨ÐÔ¡£µÚÒ»´ÎÔËÐк󣬷´Ó¦ÖеIJ¬½þ³öÁ¿Îª0.33ppm¡£µ±²¬´ß»¯¼Á´Ó·´Ó¦ÌåϵÖйýÂ˳öÀ´Ê±£¬ÔÚÂËÒºÖкÜÉٹ۲쵽´ß»¯·´Ó¦£¬ÕâÖ¤Ã÷ÁË»îÐÔÌ¿ÔØÌåÉϵIJ¬×÷Ϊ·Ç¾ùÏà»îÐÔλµã¡£

¡¡¡¡Í¼3£º»îÐÔÌ¿ÔØ²¬´ß»¯¼Á(ÁòËá»î»¯)´ß»¯¼ÁµÄ»ØÊÕÑо¿¡£
¡¡¡¡ÔÚ»îÐÔÌ¿´ß»¯¼Á¶Ô¼×»ù»·¼ºÍéÍÑÇâµÄÑо¿ÖС£Ö¤Ã÷ÁË»îÐԳɷֲ¬ºÍ¸÷ÖÖ¹¦ÄÜ»¯»îÐÔÌ¿ÔØÌåÖ®¼äµÄÏ໥×÷Óá£ÓëÆäËû²¬»ù´ß»¯¼ÁÏà±È£¬»îÐÔÌ¿ÔØ²¬´ß»¯¼Á(ÁòËá»î»¯)ÏÔʾ³ö¸üСµÄÁ£¾¶ºÍ¸ü¸ßµÄ·ÖÉ¢ÐÔ¡£ÔÚÑо¿Á˲¬»ù´ß»¯¼ÁÔÚ¼×»ù»·¼ºÍéÍÑÇâ·´Ó¦ÖеĴ߻¯»îÐÔ¡£»ØÊÕÑо¿±íÃ÷»îÐÔÌ¿´ß»¯¼Á¾ßÓÐÁ¼ºÃµÄÎȶ¨ÐԺͲ¬×é·ÖµÄ¶àÏà»îÐÔλµã¡£´ß»¯·´Ó¦½á¹û±íÃ÷£¬»îÐÔÌ¿´ß»¯¼Á±íÏÖ³ö±ÈÆäËû´ß»¯¼Á¸ü¸ßµÄ¼×»ù»·¼ºÍéת»¯Âʸü¸ß£¬ºÜÊʺÏÓÃÓÚҺ̬ÓлúÇ⻯ÎïµÄÍÑÇâ¡£
ÎÄÕ±êÇ©£ºÒ¬¿Ç»îÐÔÌ¿,¹û¿Ç»îÐÔÌ¿,úÖÊ»îÐÔÌ¿,ľÖÊ»îÐÔÌ¿,·äÎÑ»îÐÔÌ¿,¾»Ë®»îÐÔÌ¿.±¾ÎÄÁ´½Ó£ºhttp://m.fdcnvt.cn/hangye/hy1032.html
ÍÆ¼ö×ÊѶ
- 2026-02-25»îÐÔÌ¿Îü¸½´¦ÀíÆ¡¾Æ³§·ÏË®
- 2026-02-13»îÐÔÌ¿Îü¸½´¦Àíº¬¹¯·ÏÆø
- 2026-02-04»îÐÔÌ¿ÓÃÓÚ´Ó·ÏË®ÖÐÎü¸½È¥³ý΢Á¿ïÓºÍǦ
- 2026-01-28»îÐÔÌ¿½àÑÀ·ÛרÓÃ
- 2026-01-20»îÐÔÌ¿ÔÚ·ÏÆø´¦ÀíÖеÄһЩ³£Ê¶
- 2026-01-13»îÐÔÌ¿ÔÚ¾«ÖÆÌÇÉú²úÖеÄÍÑɫЧ¹û
- 2026-01-07»îÐÔÌ¿¶Ôßäßò»ùÀë×ÓÒºÌåµÄÎü¸½ÐÔÄÜ
- 2025-12-24»îÐÔÌ¿¸ÄÐÔÔöÇ¿¶ÔÒÒõ£°±»ù·ÓµÄÎü¸½
- 2025-12-15»îÐÔÌ¿Îü¸½Âí¶µÁåËá
- 2025-11-27³¬Ï¸»îÐÔÌ¿5000Ä¿·ÛÄ©»îÐÔÌ¿
- 2025-11-26»îÐÔÌ¿ÔÚÁò»¯Ï𽺳ÄÌ×ÖеÄÓ¦ÓÃ
- 2025-11-19»îÐÔÌ¿Îü¸½Öؾ§Ê¯»ìºÏÎïÖеÄͺÍп
