µç»°£º13570151199
´«Õ棺020-39972520
ÓÊÏ䣺hanyan@hanyancarbon.com
µØÖ·£º¹ã¶«Ê¡¹ãÖÝÊз¬Ø®Çø¶«»·½Ö·¬Ø®´óµÀ±±555ºÅÌì°²×ܲ¿ÖÐÐÄ30ºÅÂ¥6²ã
¡¡¡¡»îÐÔÌ¿¼ÓËá½þÒº´Óβ¿óÖлØÊÕпºÍÍ
¡¡¡¡Î²¿óÊÇͨ¹ý·ÖÀë¹ý³Ì(ÆÆËé¡¢ÑÐÄ¥»ò¸¡Ñ¡)ºÍÆäËûÎïÀí»¯Ñ§¼¼Êõ´¦Àí¿óÎïºóÁôϵÄÄཬ£¬Ê¹ÓûîÐÔÌ¿»ØÊÕÄ¿µÄÊÇ´Ó¼ÛÖµ½ÏµÍµÄÑÒʯÖÐÌáÈ¡ÓмÛÖµµÄ¿óÎï¡£ÔÚÊÀ½ç·¶Î§ÄÚ£¬Î²¿óµÄÉú²úËÙ¶ÈΪÿÄê5ÖÁ140ÒÚ¶Ö¡£¿óɽβ¿ó´¢´æÒ²ÊÇÒ»¸öÖØÒªµÄ»·¾³ÎÊÌ⣬β¿ó·Û³¾µÄ²úÉúºÍÀ©É¢»áÎÛȾ¿ÕÆøºÍÖÜΧµÄÍÁÈÀ¡£´ËÍ⣬ÕâЩ·ÏÎïÖдæÔڵĽðÊôºÍ¿ÉÈÜÐÔÑλáÎÛȾµØÏÂË®ºÍµØ±íË®¡£Ä¿Ç°¹¤×÷µÄÖ÷ҪĿµÄÊÇÑо¿Á½ÖÖ»îÐÔÌ¿²ÄÁÏ£¬´ÓµÍƷλβ¿ó·ÏÎïÖнþ³öпºÍ͵ÄÓÃ;£¬ÎªÁËÓÅ»¯½þ³öÌõ¼þ£¬»¹Ñо¿Á˲»Í¬Ëá½þҺŨ¶ÈµÄÓ°Ïì¡£
¡¡¡¡Ð¿ºÍ͵Ľþ³ö·½·¨
¡¡¡¡ÔÚ½Á°èºãβ۽øÐнþ³öÊÔÑ飬ÔÚ½þ³ö¹ý³ÌÖпØÖÆÎ¶ÈÌõ¼þºÍ½Á°èËÙ¶È¡£½þ³öʵÑéÔÚÅð¹èËáÑβ£Á§¹ÞÖнøÐУ¬Ã¿Ð¡Ê±¶Ô½þ³öϵͳ³äÆøÒÔÔÚÈÜÒºÖÐÌṩÑõÆø¡£ËùÓýþ³ö¼ÁÈÜÒºÓɲ»Í¬Å¨¶ÈµÄH2SO4ÖÆ±¸£º1M¡¢0.5MºÍ0.25M¡£ÔÚһϵÁÐʵÑéÖУ¬½þ³ö¼ÁÓÉ1M¡¢0.5MºÍ0.25MµÄH2SO4ÖÆ±¸ºÍ1%H2O2¡£ËùÓÃÁòËáµÄ´¿¶ÈΪ95-98%£¬ÔÚÿ¸ö¹ÞÖгÆÁ¿Ô¼2.5g»îÐÔÌ¿ÑùÆ·£¬²¢¼ÓÈë50mL½þ³ö¼Á¡£ÔÚ²»Í¬µÄ·´Ó¦Ê±¼ä(2¡¢4ºÍ6Сʱ)£¬ÌáÈ¡ÉÏÇåÒºµÄÿ¸ö»îÐÔÌ¿ÑùÆ·1mL¡£È¡ÑùÈçϽøÐУºÊ×ÏÈ£¬Í£Ö¹½Á°èÒÔÈÃÑùÆ·¾²Öò¢ÓÐÀûÓÚÆäÇãÎö¡£ÔÚÕâ¶Î¶Ìʱ¼äºó£¬³ýÈ¥1mLÉÏÇåÒº£¬È»ºó¹ýÂ˲¢×ªÒƵ½25mLÁ¿Æ¿ÖУ¬²¢ÓÃÕôÁóË®¶¨ÈÝ¡£Ê¹ÓÃÔ×ÓÎüÊÕ·Ö¹â¹â¶È¼Æ²â¶¨½þ³öºÍÏ´µÓÈÜÒºÖÐпºÍ͵ÄŨ¶È¡£
¡¡¡¡»îÐÔÌ¿¼ÓH2SO4½þ³öÒºÖÐпºÍ͵ÄÝÍÈ¡ÂÊ
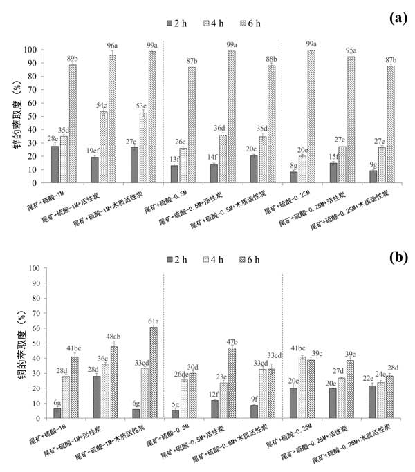
¡¡¡¡Í¼1aÏÔʾÁË2¡¢4ºÍ6Сʱºó´Óβ¿óÑùÆ·ÖÐÌáÈ¡µÄ×Üп¡£ÈýÖÖÁòËáŨ¶È(1M¡¢0.5MºÍ0.25M)ÓÃ×÷½þ³öÈÜÒº¡£Í¼1aÏÔʾ£¬¸ù¾Ý±¾¹¤×÷ÖÐʹÓõÄʵÑé½á¹û£¬½þ³ö2Сʱºó£¬´Óβ¿óÖÐÌáÈ¡µÄZnÁ¿ÔÚ8ÖÁ28%ÖØÁ¿Ö®¼ä±ä»¯¡£ÔÚ½þ³ö4Сʱºó£¬Ð¿µÄÌáÈ¡Á¿ÏÔ×ÅÔö¼ÓÖÁ20ÖÁ55%ÖØÁ¿Ö®¼äµÄÖµ¡£´Ó4µ½6Сʱ£¬Ð¿µÄÌáÈ¡Á¿ÏÔ×ÅÔö¼Ó¡£ÔÚËùÓÐÇé¿öÏ£¬½þ³ö6Сʱºó£¬ÓпÉÄÜ»ØÊÕ³¬¹ý70%(ÖØÁ¿)µÄп¡£Ê¹ÓÃH2SO4-0.25M×÷Ϊ½þ³ö¼Á£¬Ìí¼ÓºÍ²»Ìí¼Ó»îÐÔÌ¿²¢Ê¹ÓÃH2SO4ʵÏÖÁ˽ϸߵÄZnÌáÈ¡ÔÚ»îÐÔÌ¿´æÔÚÏÂΪ0.5M»ò0.1M¡£Ìí¼Ó»îÐÔÌ¿»òľÖÊ»îÐÔÌ¿»áÓ°ÏìпµÄ½þ³ö¡£Ê¹ÓøßŨ¶ÈµÄH2SO4Ũ¶È(1M»ò0.5M)£¬»îÐÔÌ¿µÄÌí¼ÓÏÔ×ÅÔö¼ÓÁËZnµÄÌáÈ¡Á¿¡£È»¶ø£¬½«Ä¾ÖÊ»îÐÔÌ¿Ìí¼Óµ½0.25MÁòËá½þ³öÒºÖлήµÍZnµÄ»ØÊÕÁ¿¡£Í¼1bÏÔʾÁËÔÚ²»Í¬Ê±¼ä´Óβ¿óÑùÆ·ÖÐÌáÈ¡µÄ×ÜÍ¡£Ä¾ÖÊ»îÐÔÌ¿µÄÌí¼ÓÏÔ×ÅÔö¼ÓÁ˸ßŨ¶ÈÁòËá(1M)½þ³öÈÜÒºÖÐ͵ÄÌáÈ¡ÂÊ£¬´Ó41%Ôö¼Óµ½61%¡£

¡¡¡¡Í¼1£º»îÐÔÌ¿ÔÚ4СʱºÍ6Сʱºóп(a)ºÍÍ(b)µÄÌáÈ¡³Ì¶È¡£
¡¡¡¡½þ³öʵÑéÖеÄpHÑݱä
¡¡¡¡ÔÚH2SO4-1MÖÐÓûîÐÔÌ¿ºÍľÖÊ»îÐÔÌ¿´¦ÀíµÄ¶ÔÕÕβ¿óÔÚͼ2Ìṩ£¬(3a)ÖеÄpH±ä»¯£¬H2SO4-0.5M(3b)ºÍH2SO4-0.25M(3c)½þ³öÈÜÒº¡£¹ØÓÚ½þ³öʵÑéÆÚ¼äµÄpHÑݱ䣬¾¡¹Ü»îÐÔÌ¿ÏÔʾ¼îÐÔpH£¬µ«ÔÚ²»´æÔÚ»ò´æÔÚ»îÐÔÌ¿µÄÇé¿öϹ۲쵽СµÄ²îÒ졣ѡÔñÁòËá×÷Ϊ½þ³öÒºÊÇÒòΪËü¿ÉÒÔÓÐЧµØÑ¡ÔñÐÔÈܽâZn»¯ºÏÎï¶ø²»ÊÇPbºÍCa¡£Ïà·´£¬ÑùÆ·ÖеÄÑõ»¯Ç¦ºÍ̼ËáÑλáÈܽâÔÚÁòËáÈÜÒºÖУ¬È»ºóÒÔÁòËáǦµÄÐÎʽ³Áµí¡£È»¶ø£¬µ±ÔÚ½þ³öÒºÖмÓÈë»îÐÔ̿ʱ£¬Ñõ»¯»¹ÔµçλµÄϽµ·ù¶È¸ßÓÚ¼ÓÈëľÖÊ»îÐÔÌ¿ºó¡£ÕâÒ»ÊÂʵ¿ÉÄÜÓë̼»ù²ÄÁÏÓëϵͳÖдæÔÚµÄÑõ»¯¼ÁÖÖÀàºÍ¿óÎïÖÊÖ®¼äµÄ²»Í¬Ï໥×÷ÓÃÓйء£ÊÂʵÉÏ£¬¹Û²ìµ½ÔÚľÖÊ»îÐÔÌ¿´ß»¯µÄ»ÆÍ¿ó½þ³ö¹ý³ÌÖÐÑõ»¯»¹Ôµçλ½µµÍ£¬²¢½«ÕâÖÖÓ°Ïì¹éÒòÓÚ¿óÎïºÍľÖÊ»îÐÔÌ¿ÔÚËáÐÔ½éÖÊÖеĵçżÏ໥×÷Óá£

¡¡¡¡Í¼2£ºH2SO4-1MÑùÆ·ÖеÄpH±ä»¯(3a)£¬H2SO4-0.5M(3b)ºÍH2SO4-0.25M(3c)¡£
¡¡¡¡ÔÚĿǰµÄÊÔÑéÖеõ½µÄÖ÷Òª½áÂÛ£¬ÓÃH2SO4ÈÜÒº½þ³ö6Сʱºó£¬¿ÉÒÔ´ÓÑ¡¶¨µÄβ¿óÖлØÊÕ³¬¹ý95%(ÖØÁ¿)µÄп¡£Ìí¼Ó»îÐÔÌ¿ºÍľÖÊ»îÐÔÌ¿Ôö¼ÓÁËŨÁòËáÈÜÒº(0.5ºÍ1M)¶ÔпºÍ͵ÄÌáÈ¡¡£¾¡¹Ü»îÐÔÌ¿ºÍľÖÊ»îÐÔ֮̿¼äµÄ¿×϶ÂʺÍÑõ»¯»¹Ôµçλֵ´æÔÚ²îÒ죬µ«ËüÃÇ×÷Ϊ´ß»¯¼ÁÔÚпºÍͽþ³öÖеÄ×÷ÓÃÊÇÏàËÆµÄ¡£ºóÐøÒ²¿ÉÒÔÕë¶ÔÐÔÓÅ»¯»îÐÔÌ¿µÄÐÔÄܼ°Æä¶Ôβ¿óÖÐÆäËû½ðÊô»ØÊÕµÄÓ°Ïì¡£ÔÚ¶ÔÓÚ»îÐÔÌ¿²ÄÁϵÄDZÔÚ¹¤ÒµÓ¦Óã¬ÓбØÒªÓÅ»¯Æä´Ó½þ³öÒºÖеĻØÊÕÂʺͽþ³öʵÑéºóµÄÔÙÀûÓá£
ÎÄÕ±êÇ©£ºÒ¬¿Ç»îÐÔÌ¿,¹û¿Ç»îÐÔÌ¿,úÖÊ»îÐÔÌ¿,ľÖÊ»îÐÔÌ¿,·äÎÑ»îÐÔÌ¿,¾»Ë®»îÐÔÌ¿.±¾ÎÄÁ´½Ó£ºhttp://m.fdcnvt.cn/hangye/hy1005.html
ÍÆ¼ö×ÊѶ
- 2026-04-22³¬¼¶µçÈÝÌ¿ÐÂÄÜÔ´µÄºÚ½ð²ÄÁÏ
- 2026-04-15»îÐÔÌ¿¹ýÂ˲ñÓÍ
- 2026-04-01»îÐÔÌ¿ÔÚ¾»Ë®´¦ÀíÖеĺËÐÄÓÅÊÆ
- 2026-03-25»îÐÔÌ¿Îü¸½ÌáÈ¡»Æ½ðµÄ¹¤ÒµÓ¦ÓÃ
- 2026-03-11»îÐÔÌ¿ÔÚÓÍÆø»ØÊÕÖеÄ×÷ÓÃ
- 2026-03-06»îÐÔÌ¿´¦ÀíÀ¬»ø·¢µç³§·ÏÆø
- 2026-02-25»îÐÔÌ¿Îü¸½´¦ÀíÆ¡¾Æ³§·ÏË®
- 2026-02-13»îÐÔÌ¿Îü¸½´¦Àíº¬¹¯·ÏÆø
- 2026-02-04»îÐÔÌ¿ÓÃÓÚ´Ó·ÏË®ÖÐÎü¸½È¥³ý΢Á¿ïÓºÍǦ
- 2026-01-28»îÐÔÌ¿½àÑÀ·ÛרÓÃ
- 2026-01-20»îÐÔÌ¿ÔÚ·ÏÆø´¦ÀíÖеÄһЩ³£Ê¶
- 2026-01-13»îÐÔÌ¿ÔÚ¾«ÖÆÌÇÉú²úÖеÄÍÑɫЧ¹û
