µç»°£º13570151199
´«Õ棺020-39972520
ÓÊÏ䣺hanyan@hanyancarbon.com
µØÖ·£º¹ã¶«Ê¡¹ãÖÝÊз¬Ø®Çø¶«»·½Ö·¬Ø®´óµÀ±±555ºÅÌì°²×ܲ¿ÖÐÐÄ30ºÅÂ¥6²ã
¡¡¡¡ËáÐÔ»îÐÔÌ¿´ß»¯»ØÊÕÏËά¶þÌÇ£¬»îÐÔ̿ͨ¹ýÖØµªÅ¼ºÏ²ßÂÔ±»»ÇËᲿ·Ö¹ÙÄÜ»¯£¬¿É»ñµÃ¸ßËá¶È¡£
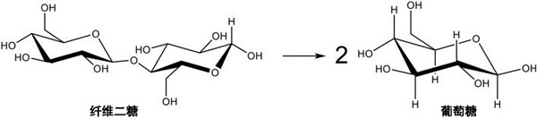
¡¡¡¡Ê¹ÓûîÐÔÌ¿´ß»¯»ØÊÕÏËά¶þÌÇ£¬ÏËÎ¬ËØË®½â³ÉÆÏÌÑÌǵÄÖ÷ÒªÔÒòÊÇÆÏÌÑÌÇ¿ÉÒÔ½øÒ»²½×ª»¯Îª¸÷ÖÖÔöÖµ»¯Ñ§Æ·£¬ÔÚ¹¤ÒµÉÏ£¬³£¼ûµÄ´¦ÀíÏËÎ¬ËØµÄ·½·¨ÊÇʹÓþùÖʵÄÎÞ»úËᣬÀýÈçHCl»òH 2 SO 4£¬ÕâÖÖ·½·¨µÄȱµãÊÇ·´Ó¦ÈÝÆ÷Êܵ½¸¯Ê´£¬»¹»á²úÉúÎÛȾÎï¡£ÔÚ´Ë£¬ÎÒÃÇʹÓÃÁËÒ»ÖÖ½«ÏËά¶þÌÇÑ¡ÔñÐÔË®½âΪÆÏÌÑÌǵÄÓÐЧ·½·¨(ͼ1)ʹÓÃËáÐÔ»îÐÔÌ¿²ÄÁÏ¡£

¡¡¡¡Í¼1£ºÏËά¶þÌÇË®½â³ÉÆÏÌÑÌÇ¡£
¡¡¡¡Ê¹ÓÃËáÐÔ»îÐÔÌ¿µÄÔÒò
¡¡¡¡¶ÔÓÚÓÐÐ©ÖÆÔì·½·¨Éú²úµÄ»îÐÔÌ¿±¾Éí¾Í¾ßÓÐËáÐÔ¹¦ÄÜ£¬ÀýÈç·Ó£¬ôÈËá»òÄÚõ¥¡£µ«ÊÇ£¬ÕâЩËáÐÔ¹¦Äܲ»¹»Ç¿»ò²»ÄÜÒÔ×ãÒÔ´ß»¯ÌÇÜÕ¼üË®½âµÄÁ¿´æÔÚ¡£ÐèҪǿËáλµã£¬Èç»ÇËᡣͨ³££¬±»H 2 SO 4¹ÙÄÜ»¯µÄ»îÐÔÌ¿»á²úÉú²»Îȶ¨µÄ»ÇËá¹ÙÄÜÍÅ£¬ÔÚ´ß»¯²âÊÔ¹ý³ÌÖÐÈÝÒ×±»½þ³ö¡£¶øÇÒ£¬´¦Àí¹ýµÄ»îÐÔÌ¿µÄ½á¹¹ÍêÕûÐÔͨ³£±»Ï÷Èõ¡£µ«ÊǾ¹ýÎÒÃǶà´ÎʵÑéÒýÈë±íÃæ»ÇËṦÄܵŦÄÜ»¯²ßÂÔ£¬¿ÉÒÔÓë»îÐÔÌ¿±íÃæÐγÉÀι̵Ĺ²¼ÛCC¼ü£¬¶ø²»»áÆÆ»µÆä¹Ç¼Ü½á¹¹¡£
¡¡¡¡»îÐÔÌ¿¹¦ÄÜ»¯µÄ·½·¨
¡¡¡¡»îÐÔÌ¿ÒÑͨ¹ýÖØµªÅ¼Áª²ßÂÔ½øÐÐÁ˹¦ÄÜ»¯¡£Ê×ÏȻǰ·ËáºÍÑÇÏõËáÒìÎìõ¥·´Ó¦£¬ÔλÐγÉÖØµªÑôÀë×Ó¡£Ôڸò½ÖèÖ®ºó£¬ÍÑÖØµª·´Ó¦½«Í¨¹ý̼²ÄÁÏÖ÷Á´µÄ¶à·¼×å½á¹¹ÖеÄCÔ×ÓÓë̼Ô×ÓÖ®¼äÀι̵Ĺ²¼ÛCC¼ü£¬Ê¹»îÐÔÌ¿±íÃæÉϵķ¼»ù»ÇËáÆ¬¶ÎżºÏ(ͼ2)¡£ÕâÖÖ¹ÙÄÜ»¯·½·¨±ÈÔÚ»îÐÔÌ¿ÉϲúÉú»ÇËá¹ÙÄÜÍŵij£¹æ·½·¨(Éæ¼°ÁòËá)¸ü°²È«£¬²¢ÇÒ¿ÉÒÔÇáËÉÀ©´ó¹æÄ£¡£¶øÇÒ£¬¸Ã·½·¨¶Ô»îÐÔÌ¿±£³Ö»úеǿ¶ÈºÜκ͡£

¡¡¡¡Í¼2£ºÖصªÅ¼ºÏÔÚ̼²ÄÁÏÉÏÓÃÓÚ»ÇËá½ÓÖ¦¡£
¡¡¡¡»îÐÔÌ¿´ß»¯»ØÊÕÏËά¶þÌÇ
¡¡¡¡»îÐÔÌ¿½«ÏËά¶þÌÇË®½âΪÆÏÌÑÌǵÄÄÜÁ¦(ͼ1)ÔÚκ͵ÄÌõ¼þÏ£¬¼´ÔÚN 2×ÔÉúѹÁ¦Ï£¬ÔÚ130°CºÍ1,700rpmϽÁ°è2Сʱ¡£¹Û²ìµ½µÄת»¯ÊÇÓÉÓÚÔÚ¸ÃζÈÏÂÌÇÜÕ¼üµÄÈÈÁѽâÒýÆðµÄ¡£¹¦ÄÜ»¯»îÐÔÌ¿¿ÉÏÔ×ÅÌá¸ßת»¯ÂÊ£¬×î¸ß¿É´ïµ½94%¡£»ÇËṦÄÜ¿ØÖÆ×ÅË®½â;¾¶£¬¸Ã»úÖÆ½«¶ÔÆÏÌÑÌǵÄÑ¡ÔñÐÔÌá¸ßµ½95%(“Ôʼ»îÐÔÌ¿”Çé¿öÏÂΪ57%)¡£ÖµµÃ×¢ÒâµÄÊÇ£¬ÕâЩÊý¾Ý(> 90%µÄת»¯ÂʺÍÑ¡ÔñÐÔ)½öÔÚ130°CµÄ2СʱÄÚ»ñµÃ¡£´Ë´¦Î´¹Û²ìµ½Í¨³£´ÓÆÏÌÑÌÇ»ñµÃµÄ³£¼û¸±²úÎÈçÒÒõ£±ûËá»ò¼×Ëá¡£ÎÞ·¨ÍêÈ«ÅųýÆäËû²úÆ·£¬ÀýÈç5-ôǼ׻ù¿·È©£¬ÒòΪÎÞ·¨Í¨¹ý±¾¹¤×÷ÖÐʹÓõÄHPLCÉ«Æ×Öù½øÐмø¶¨¡£½ö¼ø¶¨ÁËÓÉÆÏÌÑÌÇÒì¹¹»¯ÒýÆðµÄһЩ¹ûÌǺۼ£¡£µ«ÊÇ£¬Ã¿´Î´ß»¯²âÊÔ¾ù½øÐÐÁË×ÜÓлúÎﺬÁ¿(TOC)·ÖÎö·¢ÏÖûÓÐÆäËûÆøÌ¬²úÎïÐγɡ£
¡¡¡¡ÔÚ²âÊÔ¹ý³ÌÖÐʹÓõĻîÐÔÌ¿ÊýÁ¿Ò²»áÓ°Ïì»îÐÔ¡£¶ÔÓÚSO 3 H/SX+²ÄÁÏ¡£µ±»îÐÔÌ¿µÄÁ¿Ì«µÍ(20mg)ʱ£¬Ã»ÓлîÐÔ²¢ÇÒת»¯ÂÊÓëÔʼ»îÐÔÌ¿Ïàͬ¡£µ±ÎÒÃÇÔö¼Ó´ß»¯¼ÁµÄÓÃÁ¿Ê±£¬¾Í»áÒý·¢ËáÐÔË®½â£¬×ª»¯Âʸü¸ß¡£µ«ÊÇ£¬ÔÚËùÓÐÇé¿öÏ£¬Ñ¡ÔñÐÔ¶¼¼«ºÃ(Ô¶¸ßÓÚÔʼ»îÐÔÌ¿)£¬¶øÓë´ß»¯¼ÁµÄÁ¿Î޹ء£ÒѶÔÏËÎ¬ËØÏËά½øÐÐÁ˳õ²½²âÊÔ£¬²¢¹Û²ìµ½20%µÄת»¯ÂÊ(»ùÓÚ²âÊÔ½áÊøÊ±ÏËÎ¬ËØµÄÖØÁ¿Ëðʧ)¡£
¡¡¡¡ËáÐÔ»îÐÔÌ¿ÊÇʹÓûîÐÔ̿ͨ¹ýÖØµªÅ¼ºÏ·´Ó¦¹¦ÄÜ»¯£¬´Ó¶øÔÚÆä±íÃæ½ÓÖ¦ÁËÇ¿ËáÐÔ»ÇËá¹ÙÄÜÍÅ¡£Óëδ¹ÙÄÜ»¯µÄ»îÐÔÌ¿Ïà±È£¬¹ÙÄÜ»¯»îÐÔÌ¿´ß»¯¼Á¶¼¸ÄÉÆÁËÔÚ¶èÐÔÆø·ÕÏÂÔÚÖÐÐÔË®½éÖÊÖÐÏËά¶þÌÇÔÚÆÏÌÑÌÇÖеÄË®½â·´Ó¦¡£ÓÃSO 3¿É»ñµÃ×î´ó84%µÄת»¯ÂʺÍ95%µÄÆÏÌÑÌÇÑ¡ÔñÐÔ¡£´ËÍ⣬ÕâЩ½á¹ûÊÇÔÚµÍÎÂ(130°C)Ͻö2СʱÄÚ»ñµÃµÄ£¬ÕâÓÐÍûÓÃÓÚË®½â¸ü¼á¹ÌµÄµ×ÎÀýÈçÏËÎ¬ËØ¡£ÓëÆäËû¹¦ÄÜ»¯·½·¨(ÀýÈçÓÃÁòËá´¦Àí»îÐÔÌ¿)Ïà±È£¬ÕâЩ¹¦Äܵļá¹ÌÐÔÒ²½«Ï÷Èõ²ÄÁϵĻúеÐÔÄÜ¡£ÕâЩ¹ÙÄÜ»¯µÄ»îÐÔÌ¿»¹¿ÉÒÔÓÃ×÷½ðÊôÄÉÃ׿ÅÁ£µÄÔØÌ壬ÒÔÖÆ±¸Ë«¹ÙÄÜ´ß»¯¼Á¡£ËáÐÔ¹¦Äܿɽ«ÏËά¶þÌÇË®½âΪÆÏÌÑÌÇ£¬¶ø½ðÊôÖÐÐĿɽ«ÆÏÌÑÌÇת»¯Îª¸ß¼ÛÖµ·Ö×Ó£¬ÈçɽÀæÌÇ´¼µÈ¡£
ÎÄÕ±êÇ©£ºÒ¬¿Ç»îÐÔÌ¿,¹û¿Ç»îÐÔÌ¿,úÖÊ»îÐÔÌ¿,ľÖÊ»îÐÔÌ¿,·äÎÑ»îÐÔÌ¿,¾»Ë®»îÐÔÌ¿.±¾ÎÄÁ´½Ó£ºhttp://m.fdcnvt.cn/baike/bk910.html
ÍÆ¼ö×ÊѶ
- 2026-02-25»îÐÔÌ¿Îü¸½´¦ÀíÆ¡¾Æ³§·ÏË®
- 2026-02-13»îÐÔÌ¿Îü¸½´¦Àíº¬¹¯·ÏÆø
- 2026-02-04»îÐÔÌ¿ÓÃÓÚ´Ó·ÏË®ÖÐÎü¸½È¥³ý΢Á¿ïÓºÍǦ
- 2026-01-28»îÐÔÌ¿½àÑÀ·ÛרÓÃ
- 2026-01-20»îÐÔÌ¿ÔÚ·ÏÆø´¦ÀíÖеÄһЩ³£Ê¶
- 2026-01-13»îÐÔÌ¿ÔÚ¾«ÖÆÌÇÉú²úÖеÄÍÑɫЧ¹û
- 2026-01-07»îÐÔÌ¿¶Ôßäßò»ùÀë×ÓÒºÌåµÄÎü¸½ÐÔÄÜ
- 2025-12-24»îÐÔÌ¿¸ÄÐÔÔöÇ¿¶ÔÒÒõ£°±»ù·ÓµÄÎü¸½
- 2025-12-15»îÐÔÌ¿Îü¸½Âí¶µÁåËá
- 2025-11-27³¬Ï¸»îÐÔÌ¿5000Ä¿·ÛÄ©»îÐÔÌ¿
- 2025-11-26»îÐÔÌ¿ÔÚÁò»¯Ï𽺳ÄÌ×ÖеÄÓ¦ÓÃ
- 2025-11-19»îÐÔÌ¿Îü¸½Öؾ§Ê¯»ìºÏÎïÖеÄͺÍп
