µç»°£º13570151199
´«Õ棺020-39972520
ÓÊÏ䣺hanyan@hanyancarbon.com
µØÖ·£º¹ã¶«Ê¡¹ãÖÝÊз¬Ø®Çø¶«»·½Ö·¬Ø®´óµÀ±±555ºÅÌì°²×ܲ¿ÖÐÐÄ30ºÅÂ¥6²ã
¡¡¡¡»îÐÔÌ¿ÊǶàÖÖ¹¤ÒÕÖзdz£ÖØÒªµÄ¶à¿×²ÄÁÏ¡£»îÐÔÌ¿µÄÖ÷ÒªÓÃ;ÊÇËüÃÇÓÃÓÚÆøÏà»òÒºÏàÖеÄÎÛȾÎïµÄÎü¸½£¬ÆøÌå´¢´æ ºÍÓÃ×÷´ß»¯¼ÁÔØÌå¡£¶à¿×²ÄÁÏÈç»îÐÔ̿ͨ³£¾ßÓм¸¸öÎïÀí²ÎÊý£¬Èç±íÃæ»ýºÍ¿×϶Ìå»ý¡£ÔÚÕâЩ²ÄÁϵĿª·¢ÖУ¬Âú×ãÕâЩÎïÀíÐÔÄÜÊǷdz£ÖØÒªµÄ£¬ÒòΪËüÃǽ«Ö±½ÓÓ°Ïì²ÄÁÏÔÚÆäÓ¦ÓÃÖеÄÐÔÄÜ¡£
¡¡¡¡»îÐÔÌ¿µÄ±íÃæ»ýͨ³£²ÉÓÃBET·¨²âÁ¿ËüÔÚÒºµªÎ¶È(77K)ϲÉÓò»Í¬Ñ¹Á¦ÏµĵªÆøÎü¸½¡£È»ºó¸ù¾ÝBETµÄ±íÃæ»ýÓɵªÆø·Ö×ÓµÄºá½ØÃæÃæ»ý£¬°¢·ü¼ÓµÂÂÞÊýºÍµªµÄÌØ¶¨µ¥²ãÈÝÁ¿µÄ³Ë»ýÈ·¶¨£¬ÆäÓÉͨ¹ýBETÌá³öµÄµÈʽ½øÒ»²½Ð޸Ķø»ñµÃ¡£¶ÔÓÚ¿×Ìå»ý²â¶¨£¬¸ü³£Óõķ½·¨Ò²Ê¹ÓõªÎü¸½µÈÎÂÏßÊý¾Ý¡£¸ù¾ÝÔÚ×î¸ßÏà¶ÔѹÁ¦ÏÂÎü¸½µÄµªµÄÁ¿À´¹À¼Æ×Ü¿×Ìå»ý£¬²¢ÇÒʹÓÃDubinin-Radushkevich·½³Ì´ÓµªÎü¸½µÈÎÂÏß¼ÆËã΢¿×Ìå»ý¡£7¾¡¹ÜÕâЩ·½·¨ÔÚ¶à¿×²ÄÁϵıíÃæ»ýºÍ¿×Ìå»ý²â¶¨Öб»¸ü¶àµØÓÃ×÷²Î¿¼£¬µ«ÊÇÕâЩ·½·¨ºÄʱÇÒÐèҪʹÓðº¹óµÄÉ豸¡£
¡¡¡¡¹ØÓÚ»îÐÔÌ¿½á¹¹µÄ¸ü¶àÐÅÏ¢¿ÉÒÔͨ¹ý²»Í¬Îü¸½ÎïÈçÑǼ׻ùÀ¶ºÍµâµÄÎü¸½ÌØÐÔÀ´»ñµÃ¡£ÕâЩ·Ö×ÓµÄÎü¸½ÊµÑéºÜÈÝÒ׺Íϰ¹ßÐÔµØÍê³É±íÕ÷»îÐÔÌ¿£¬Ä¿µÄÊÇ»ñµÃÓйزÄÁÏÎü¸½ÄÜÁ¦µÄÐÅÏ¢¡£¸ù¾ÝÑǼ׻ùÀ¶·Ö×ӵijߴ磬ËüÖ÷ÒªÎü¸½ÔÚÖп×ÖУ¬µ«ÔڽϴóµÄ΢¿×ÖÐÒ²·¢ÏÖһС²¿·Ö¡£¹ØÓÚÑǼ×À¶£¬µâ·Ö×Ó¾ßÓнϲîµÄ³ß´ç£¬Ê¹Æä¿ÉÒÔÉøÍ¸µ½Î¢¿×ÖС£ÕâÐ©ÌØÕ÷¸³ÓèÕâЩ·Ö×ÓÔÚ»îÐÔÌ¿ÎïÀí½á¹¹Ñо¿ÖÐÓÃ×÷̽ÕëµÄDZÁ¦¡£¾¡¹ÜÈç´Ë£¬»¹Ã»ÓйØÓÚÑǼ׻ùÀ¶ºÍµâÖµÖ®¼äµÄ¶¨Á¿¹ØÏµºÍ»îÐÔÌ¿µÄ½á¹¹ÌØÕ÷µÄÏêϸÑо¿¡£
¡¡¡¡±¾ÎĵÄÄ¿µÄÊÇÖ¤Ã÷»îÐÔÌ¿µÄ±íÃæ»ý£¬Î¢¿×Ìå»ýºÍ×Ü¿×Ìå»ý¿ÉÒÔͨ¹ýµâºÍÑǼ׻ùÀ¶µÄÊýֵʹÓöàÔª»Ø¹éÀ´¹ÀËã¡£¿¼Âǵ½´Ó²»Í¬Ç°ÌåÖÆ±¸µÄ¼¸ÖÖ»îÐÔÌ¿ÑùÆ·µÄÊý¾ÝºÍ´ÓÎÄÏ×ÖÐÌáÈ¡µÄÊý¾Ý£¬¿ª·¢Á˸÷½·¨¡£
¡¡¡¡²âÊÔʵÑ鿪ʼ£º
¡¡¡¡»îÐÔÌ¿ÑùÆ·
¡¡¡¡¶àÖÖ»îÐÔÌ¿ÑùÆ·µÄ±íÃæ»ý£¬Î¢¿×Ìå»ý£¬×Ü¿×Ìå»ý£¬µâÖµºÍÑǼ×À¶ÊýÁ¿µÄÊý¾ÝºÍʵÑéÊý¾ÝÓÃÓÚ·½·¨¿ª·¢¡£
¡¡¡¡ÑǼ׻ùÀ¶(MBN)
¡¡¡¡ÑǼ×À¶Êý¶¨ÒåΪÔÚ1.0gÎü¸½¼ÁÉÏÎü¸½µÄȾÁϵÄ×î´óÁ¿¡£ÔÚ¸ÃÊÔÑéÖУ¬10.0ºÁ¿Ë»îÐÔÌ¿±»ÖÃÓÚÓë10.0ºÁÉýµÄ²»Í¬Å¨¶È(10£¬25£¬50£¬100£¬250£¬500ºÍ1000ºÁ¿ËµÄLÑǼ×À¶ÈÜÒº-1)´¦Àí24Сʱ£¬ÔÚÊÒÎÂÏÂ(´óÔ¼25¡æ)¡£Ê¹ÓÃUV / Vis·Ö¹â¹â¶È¼Æ(Biosystems SP-2000)ÔÚ645nm·ÖÎöÑǼ׻ùÀ¶µÄÊ£ÓàŨ¶È¡£
¡¡¡¡Óɸ÷ÈÜÒºÎü¸½µÄÑǼ׻ùÀ¶µÄÁ¿ÓÉʽ1¼ÆË㣺
¡¡¡¡

¡¡¡¡ÆäÖÐC 0 (mg L -1)ÊÇ¿ªÊ¼Ê±¼ä(t = 0)ʱÑǼ׻ùÀ¶ÈÜÒºµÄŨ¶È£¬C e(mg L -1)ÊÇÆ½ºâʱÑǼ×À¶ÈÜÒºµÄŨ¶È£¬V(L)ÊÇ´¦ÀíÈÜÒºµÄÌå»ý£¬M(g)ÊÇÎü¸½¼ÁµÄÖÊÁ¿¡£
¡¡¡¡ÎªÁËÈ·¶¨LangmuirÄ£Ð͵ÄÑǼ׻ùÀ¶Êý£¬ÓÃC eµÄº¯Êý×÷³öq eqÇúÏß¡£Langmuir²ÎÊý(q max ºÍK L)ͨ¹ý×îС¶þ³ËÄâºÏ»Ø¹éÕÒµ½¡£
¡¡¡¡µâÖµ(IN)
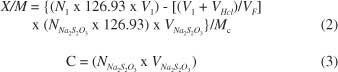
¡¡¡¡µâÖµ¸ù¾ÝASTM D4607-94·½·¨²â¶¨¡£µâÖµ¶¨ÒåΪµ±ÂËÒºµÄµâŨ¶ÈΪ0.02N(0.02mol L -1)ʱ£¬±»1.0g̼Îü¸½µÄµâµÄºÁ¿ËÊý¡£¸Ã·½·¨»ùÓÚÈýµãµÈÎÂÏß¡£±ê×¼µâÈÜÒºÔÚÌØ¶¨Ìõ¼þÏÂÓÃÈýÖÖ²»Í¬ÖØÁ¿µÄ»îÐÔÌ¿´¦Àí¡£ÊµÑé°üÀ¨ÓÃ10.0mLµÄ5%HCl´¦Àí»îÐÔÌ¿ÑùÆ·¡£¸Ã»ìºÏÎïÖó·Ð30Ã룬ȻºóÀäÈ´¡£Ö®ºó²»¾Ã£¬½«100.0mLµÄ0.1N(0.1mol L -1)µâÈÜÒº¼ÓÈëµ½»ìºÏÎïÖв¢½Á°è30Ãë¡£½«ËùµÃµÄÈÜÒº¹ýÂ˲¢50.0ºÁÉýÂËÒºµÎ¶¨ÓÃ0.1N(0.1Ħ¶û´óºÅ-1)Áò´úÁòËáÄÆ£¬ÒÔµí·ÛΪָʾ¼Á¡£Ã¿¿Ë̼Îü¸½µÄµâÁ¿(X / M)Ïà¶ÔÂËÒº(C)ÖеĵâŨ¶È»æÖÆ£¬Ê¹ÓöÔÊýÖá¡£Èç¹û²ÐÁôµâŨ¶È(C)²»ÔÚ0.008-0.04 N(0.008-0.04 mol L -1)µÄ·¶Î§ÄÚ£¬Ôòÿ¸öµÈεãӦʹÓò»Í¬µÄ̼ÖÊÁ¿Öظ´Õû¸ö¹ý³Ì¡£¶ÔÕâÈýµãÓ¦ÓÃ×îС¶þ³ËÄâºÏ»Ø¹é¡£µâÖµÊDzÐÁôŨ¶È(C)Ϊ0.02N(0.02mol L -1)ʱµÄ X / MÖµ¡£ËùÊöX / MºÍC ^ Öµ·Ö±ðÓɵÈʽ2ºÍ3¼ÆËã¡£
¡¡¡¡

¡¡¡¡ÆäÖÐN I ÊǵâÈÜÒºµÄµ±Á¿Å¨¶È£¬V IÊǵâÈÜÒºµÄ¼ÓÈëÁ¿£¬V HClÊÇ5%HClµÄ¼ÓÈëÌå»ý£¬V F Êǵζ¨ÖÐʹÓõÄÂËÒºÌå»ý£¬N Na 2 S 2O 3 ÊÇÄÆÁò´úÁòËáÄÆÈÜÒºÕý³££¬V Na 2 S 2 O 3 ÊÇÁò´úÁòËáÄÆÈÜÒºµÄÏûºÄÌå»ý£¬M C ÊÇ»îÐÔÌ¿µÄÖÊÁ¿¡£
¡¡¡¡±È±íÃæ»ý
¡¡¡¡ÔÚ77KϽøÐеªÎü¸½ÊµÑéÒÔʹÓÃÒÇÆ÷²â¶¨²âÊÔÑùÆ·µÄ±È±íÃæ»ý¡£ÔÚÎü¸½²âÁ¿Ö®Ç°£¬ÑùÆ·ÔÚ180¡æÏÂ·ÅÆø¹ýÒ¹¡£²ÉÓÃBETÄ£ÐÍÄâºÏµªÎü¸½µÈÎÂÏß²¢ÆÀ¼ÛÑùÆ·µÄ±È±íÃæ»ý¡£
¡¡¡¡¿×Ìå»ý
¡¡¡¡µªÎü¸½µÈÎÂÏßÊý¾Ý±»ÓÃÓÚ¹À¼Æ²âÊÔÑùÆ·µÄ¿×Ìå»ý¡£×Ü¿×Ìå»ýÓÉÏà¶ÔѹÁ¦Îª0.98µÄµªÎü¸½Á¿¹ÀË㡣ʹÓÃDubinin-Radushkevich·½³Ì´ÓµªÎü¸½µÈÎÂÏß¼ÆËã΢¿×Ìå»ý¡£
¡¡¡¡¶àÔª»Ø¹é
¡¡¡¡KSËã·¨±»ÓÃÓÚ·ÖÀëУ׼×éºÍ²âÊÔ×éÖеÄÑùÆ·¡£¸ÃËã·¨¸ù¾ÝÅ·¼¸ÀïµÂ¾àÀëÑ¡ÔñÑù±¾¡£Ç°Á½¸öѡȡµÄÑù±¾±Ë´Ë×îÔ¶¡£ÏÂÃæµÄÑù±¾ÊÇͨ¹ýÓë֮ǰѡÔñµÄÑù±¾µÄ¾àÀëÀ´Ñ¡ÔñµÄ¡£ÔÚУ׼×éÖнøÐв»Í¬ÑùÆ·Á¿µÄУ׼¡£Ð£×¼ÖÐʹÓõÄÑù±¾ÊýÁ¿±»Ñ¡ÔñÀ´Éú³ÉÏÔʾ²âÊÔ×éÑù±¾µÄ×îСÎó²îµÄÄ£ÐÍ¡£Ê¹ÓÃ×îС¶þ³ËÄâºÏÀ´»ñµÃУ׼ģÐÍ£¬ÒÔÓÉÑǼ׻ùÀ¶ºÍµâֵȷ¶¨±íÃæ»ý£¬×Ü¿×Ìå»ýºÍ΢¿×Ìå»ý¹À¼Æ¡£MatlabÈí¼þ±»ÓÃÓÚ¼ÆËã³ÌÐò¡£
¡¡¡¡½á¹û·ÖÎö£º
¡¡¡¡×î³õ½¨Á¢±íÃæÍ¼ÒÔ¼ì²é»îÐÔÌ¿ÑùÆ·µÄ±íÃæ»ý£¬×Ü¿×Ìå»ýºÍ΢¿×Ìå»ýÓëÑǼ×À¶ºÍµâÖµµÄ¹ØÏµ¡£Ê¹ÓÃʵÑ鲿·ÖÖÐÒýÓõÄÑùÆ·µÄÊý¾Ý¹¹½¨Í¼(ͼ1S£¬²¹³ä²ÄÁÏ)¡£
¡¡¡¡ÔÚËùÓÐÇé¿öÏ£¬ÑǼ׻ùÀ¶ºÍµâµÄÊýÁ¿¶¼Ëæ×űíÃæ»ýºÍ¿×Ìå»ý³É±ÈÀýµØÔö¼Ó£¬±íÃ÷ËüÃÇÊDzⶨÕâЩÐÔÖʵÄÓÐȤµÄ̽Õë¡£ÊÂʵÉÏ£¬ÑǼ׻ùÀ¶·Ö×ÓµÄÃæ»ý15µÄ2.08ÄÉÃ×2£¬Ö»ÄÜÔÚ´ó΢¿×ºÍÖп׽øÈë¡£5µâ·Ö×ÓÊǾßÓÐÃæ»ý±È½ÏСµÄ15 Ϊ0.4nm 2£¬²¢ÇÒ¿ÉÒÔÔÚ¸üСµÄ΢¿×½øÈë¡£Îå
¡¡¡¡±íÃæ»ý½¨Ä£
¡¡¡¡ÎªÁËÃèÊöÑǼ׻ùÀ¶ºÍµâµÄÊýÁ¿Ïà¶ÔÓÚ±íÃæ»ýµÄÐÐΪ£¬Ê¹Óöþ´ÎÄ£ÐÍ¡£¶ÔÓÚÄ£ÐÍ¿ª·¢£¬Kennard-StoneËã·¨´Ó105¸öÑù±¾ÖÐÑ¡ÔñÁË27¸öÑù±¾²¢ÓÃÓÚУ׼¡£ÑùÆ·±íÃæ»ý´Ó199µ½2105 m 2 g -1²»µÈ¡£ÑǼ׻ùÀ¶µÄÊýÁ¿ÔÚ0µ½501ºÁ¿Ë¿ËÿÉýÖ®¼ä£¬µâÖµ´Ó155µ½1670ºÁ¿Ë¿ËÿÉý¡£½¨Ä£ºó»ñµÃµÄ±íÃæÄâºÏ(ͼ1)Óɹ«Ê½4ÃèÊö¡£
¡¡¡¡

¡¡¡¡

¡¡¡¡Í¨¹ýÕâ¸ö·½³ÌµÄ±íÃæ»ýÔ¤²â²âÊÔÁËеÄÑùÆ·£¬¿¼ÂÇÁËÎÒÃÇ»ñµÃµÄÎÄÏ׺ÍÊý¾ÝÖеÄÊý¾Ý£¬×ܹ²78¸ö²âÊÔÑùÆ·¡£ÔÚͼ2ÖÐʾ³öÁËÓɵÈʽ4Ô¤²âµÄÖµÓëʵÑé»ñµÃµÄBETÖµÖ®¼äµÄ±È½Ï¡£
¡¡¡¡

¡¡¡¡¹Û²ìµ½µÄÖµÖ®¼äÓÐÁ¼ºÃµÄÏà¹ØÐÔ£¬±íÃ÷¸ÃÄ£Ð;ßÓÐÁ¼ºÃµÄÔ¤²âÄÜÁ¦¡£¶ÔÓÚ²âÊÔÑùÆ·Öй۲쵽µÄƽ¾ù¾ø¶ÔÎó²îΪ77.8Ã×2 ¿Ë-1£¬Æ½¾ùÏà¶ÔÎó²îΪ11.8%¡£±í1¸ø³öÁËÄ£Ð͵Äͳ¼Æ²ÎÊý¡£
¡¡¡¡

¡¡¡¡¾Ý±¨µÀ£¬µâÖµ¿ÉÒÔͨ¹ýÿÎü¸½1mgµâµÄ±íÃæ»ý1m 2Ö®¼äµÄ¹ØÏµÀ´Ìṩ»îÐÔÌ¿±íÃæ»ýµÄ·½·¨¡£25Õâ¸ö¿¼ÂÇÊÇÔÚÕâÏ×÷ÖÐʹÓõÄÊý¾ÝÍê³ÉµÄ£¬µ«ÊÇ»ñµÃµÄÎó²îÏÔןßÓÚʹÓõÈʽ4¹ÀËã±íÃæ»ýʱ¹Û²ìµ½µÄÎó²î¡£Ö»¿¼ÂǵâÖµÒ²¿ÉÒԵõ½×îС¶þ³Ë·¨ÄâºÏ£¬µ«Îó²îÈÔ¸ßÓÚʹÓù«Ê½4ʱµÃµ½µÄÎó²î¡£Òò´Ë£¬µâÖµºÍÑǼ׻ùÀ¶Öµ¶ÔÓÚ»îÐÔÌ¿µÄ±íÃæ»ý¹ÀËãÊÇÖØÒªµÄ£¬ÒòΪÕâЩ²ÄÁϾßÓв»Í¬µÄ¿×¾¶£¬¿ÉÒÔ¸ù¾Ý¿×϶¼¸ºÎ½á¹¹Óɲ»Í¬µÄ·Ö×Ó»ñµÃ¡£
¡¡¡¡Î¢¿×Ìå»ý½¨Ä£
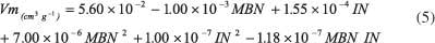
¡¡¡¡Ò²Ê¹Óöþ´ÎÄ£Ðͽ«Î¢¿×Ìå»ýÃèÊöΪÑǼ×À¶ºÍµâÖµµÄº¯Êý¡£¸ÃÄ£ÐÍÔÚ×ܹ²50¸öÑù±¾µÄ°ïÖúϹ¹½¨£¬ÆäÖдÓKSËã·¨ÖÐÑ¡ÔñÁË14¸öÑù±¾½øÐÐУ׼¡£Ð£×¼·¶Î§Îª0.05ÖÁ0.99cm 3 g -1¡£´Ó2ÖÁ427ºÁ¿Ë¿Ë±ä»¯ÑǼ×À¶ºÅ-1ºÍµâºÅÂë±ä»¯´Ó195ÖÁ1670ºÁ¿Ë¿Ë-1¡£½¨Ä£µ¼Ö±íÃæÄâºÏ(ͼ3)£¬Óɹ«Ê½5ÃèÊö£º
¡¡¡¡

¡¡¡¡

¡¡¡¡Õâ¸ö·½³ÌÊÊÓÃÓÚ΢¿×Ìå»ýÔ¤²â£¬Óðüº¬ÎÄÏ×ÖеÄÊý¾ÝºÍÓÉÎÒÃÇ»ñµÃµÄÊý¾ÝµÄ²âÊÔÑùÆ·½øÐÐÆÀ¹À¡£¹²²âÊÔÁË36¸öÑù±¾¡£Í¼ÐαȽÏ(ͼ4)±íÃ÷¸ÃÄ£Ð;ßÓÐÁ¼ºÃµÄÔ¤²âÄÜÁ¦¡£¸ÃÊÔÑéÑùÆ·×éµÄƽ¾ù¾ø¶ÔÎó²îΪ0.05cm 3 g -1£¬Æ½¾ùÏà¶ÔÎó²îΪ16.4%¡£±í2¸ø³öÁËÄ£Ð͵Äͳ¼Æ²ÎÊý¡£

¡¡¡¡

¡¡¡¡ÓÉÓÚ΢¿×ÓÉÓÚÆä³ß´ç¶øÓÅÏȱ»µâ·Ö×Ó´æÈ¡£¬ËùÒÔµâֵҲͨ¹ý×îС¶þ³Ë»Ø¹éÓë΢¿×Ìå»ýÖ±½ÓÏà¹Ø¡£È»¶ø£¬Ëù»ñµÃµÄÎó²îÒª¸ßÓÚ¿¼ÂÇÑǼ×À¶ºÍµâֵʱµÄÎó²î¡£Õâ±íÃ÷ÑǼ×À¶ÔÚ΢¿×Ìå»ýÔ¤²âÖÐÓÐÒ»¶¨¹±Ï×£¬¿ÉÄÜÊÇÓÉÓÚÔڽϴó΢¿×ÖеÄÎü¸½¡£
¡¡¡¡×Ü¿×Ìå»ý½¨Ä£
¡¡¡¡Í¨¹ýÏßÐÔÄ£Ðͽ¨Á¢ÑǼ×À¶ºÍµâÖµÓë×Ü¿×ÈݵĹØÏµ¡£Ê¹ÓÃÓÉKennard-StoneËã·¨´Ó39ÖÐÑ¡ÔñµÄ10¸öÑù±¾¶Ô±íÃæ½øÐн¨Ä£(ͼ5)¡£
¡¡¡¡

¡¡¡¡Ð£×¼·¶Î§±»ÈÏΪÊÇ´Ó0.09µ½1.11 cm 3 g -1¡£µâºÅÂë±ä»¯´Ó195ÖÁ1294ºÁ¿Ë¿Ë-1ºÍ2ÖÁ427ºÁ¿Ë¿Ë¸Ä±äµÄÑǼ׻ùÀ¶µÄÊý×Ö-1¡£¹«Ê½6ÃèÊöÁ˸ÃÄ£ÐÍ£º
¡¡¡¡

¡¡¡¡½«29¸öÑùÆ·µÄ²âÊÔ×éÓÃÓÚ²âÊÔ¸Ã×ÜÌå¿×Ìå»ýÔ¤²âµÄ·½³Ì¡£¸ù¾Ýͼ6ËùʾµÄͼ±í£¬Ô¤²âÖµºÍ²Î¿¼ÖµÖ®¼äÓкܺõÄÒ»ÖÂÐÔ¡£¹Û²ìµ½0.04cm 3 g -1µÄƽ¾ù¾ø¶ÔÎó²îºÍ13.4%µÄƽ¾ùÏà¶ÔÎó²î¡£±í3¸ø³öÁËÄ£Ð͵Äͳ¼Æ²ÎÊý¡£
¡¡¡¡

¡¡¡¡

¡¡¡¡ÔÚ±¾ÎÄÖУ¬ÎÒÃÇÒѾչʾÁËÈçºÎʹÓõâÖµºÍÑǼ×À¶ÊýÁ¿À´¹ÀËã»îÐÔÌ¿ÑùÆ·µÄ±íÃæ»ý£¬Î¢¿×Ìå»ýºÍ×Ü¿×Ìå»ý¡£ÓÃÓڲⶨµâºÍÑǼ×À¶ÊýÁ¿µÄ³ÌÐòÏà¶Ô±ãÒ˺ͼòµ¥£¬²¢ÇÒ²»ÐèҪʹÓø´ÔÓµÄÉ豸¡£´ËÍ⣬Ëù¿ª·¢µÄ·½·¨ÔÊÐí´ÓÑǼ׻ùÀ¶ºÍµâÎü¸½Ñо¿ÖÐÌáÈ¡±Èͨ³£Ê¹ÓÃÕâÖÖÀàÐ͵IJÄÁϸü¶àµÄÐÅÏ¢¡£ËäÈ»ÕâÖÖ·½·¨²»ÄÜ´úÌæ»îÐÔÌ¿µÄÖʵØÌØÐÔµÄÊʵ±±íÕ÷£¬µ«¶ÔÓÚûÓÐÆøÌåÎü¸½ÊµÑéÉ豸µÄʵÑéÊÒÀ´Ëµ£¬ÕâÊǷdz£ÓмÛÖµµÄ¡£
ÎÄÕ±êÇ©£ºÒ¬¿Ç»îÐÔÌ¿,¹û¿Ç»îÐÔÌ¿,úÖÊ»îÐÔÌ¿,ľÖÊ»îÐÔÌ¿,·äÎÑ»îÐÔÌ¿,¾»Ë®»îÐÔÌ¿.±¾ÎÄÁ´½Ó£ºhttp://m.fdcnvt.cn/baike/bk555.html
ÍÆ¼ö×ÊѶ
- 2026-02-25»îÐÔÌ¿Îü¸½´¦ÀíÆ¡¾Æ³§·ÏË®
- 2026-02-13»îÐÔÌ¿Îü¸½´¦Àíº¬¹¯·ÏÆø
- 2026-02-04»îÐÔÌ¿ÓÃÓÚ´Ó·ÏË®ÖÐÎü¸½È¥³ý΢Á¿ïÓºÍǦ
- 2026-01-28»îÐÔÌ¿½àÑÀ·ÛרÓÃ
- 2026-01-20»îÐÔÌ¿ÔÚ·ÏÆø´¦ÀíÖеÄһЩ³£Ê¶
- 2026-01-13»îÐÔÌ¿ÔÚ¾«ÖÆÌÇÉú²úÖеÄÍÑɫЧ¹û
- 2026-01-07»îÐÔÌ¿¶Ôßäßò»ùÀë×ÓÒºÌåµÄÎü¸½ÐÔÄÜ
- 2025-12-24»îÐÔÌ¿¸ÄÐÔÔöÇ¿¶ÔÒÒõ£°±»ù·ÓµÄÎü¸½
- 2025-12-15»îÐÔÌ¿Îü¸½Âí¶µÁåËá
- 2025-11-27³¬Ï¸»îÐÔÌ¿5000Ä¿·ÛÄ©»îÐÔÌ¿
- 2025-11-26»îÐÔÌ¿ÔÚÁò»¯Ï𽺳ÄÌ×ÖеÄÓ¦ÓÃ
- 2025-11-19»îÐÔÌ¿Îü¸½Öؾ§Ê¯»ìºÏÎïÖеÄͺÍп
