µç»°£º13570151199
´«Õ棺020-39972520
ÓÊÏ䣺hanyan@hanyancarbon.com
µØÖ·£º¹ã¶«Ê¡¹ãÖÝÊз¬Ø®Çø¶«»·½Ö·¬Ø®´óµÀ±±555ºÅÌì°²×ܲ¿ÖÐÐÄ30ºÅÂ¥6²ã
¡¡¡¡»îÐÔÌ¿ÓÃÀ´·ÖÀëÓëÎü¸½¶þÑõ»¯Ì¼
¡¡¡¡»îÐÔÌ¿ÆøÌåÎü¸½Êǹ¤ÒµÖÐÓÃÓÚ·ÖÀëºÍ¾»»¯Ä¿µÄµÄ³£Ó÷½·¨Ö®Ò»£¬ÀýÈç¿ÕÆø¾»»¯¡¢Ì¼Ç⻯ºÏÎï´¦ÀíÒÔ¼°²¶»ñºÍ´¢´æ¡£ÔÚÆøºò±ä»¯ºÍÈ«Çò±äůÎÊÌâµÄÍÆ¶¯Ï£¬ÐèÒª¶Ô¶þÑõ»¯Ì¼µÄ·ÖÀë¡¢¾»»¯ÒÔ¼°²¶»ñºÍ´¢´æ½øÐÐÑо¿¡£ÕâЩÑо¿°üÀ¨¶ÔʹÓûîÐÔÌ¿Îü¸½¶þÑõ»¯Ì¼(CO2)¡¢¼×Íé(CH4)¡¢µªÆø(N2)¼°Æä»ìºÏÎï¡£¹ØÓÚÆøÌå»ìºÏÎïÖÐÎü¸½ÎïÓÅÏÈÎü¸½µÄÐÅÏ¢¶ÔÓÚÓÅ»¯»îÐÔÌ¿²¶»ñ¡¢·ÖÀëºÍ¾»»¯ÐÔÄÜÖÁ¹ØÖØÒª£¬ÕâÒ²ÊDZ¾´ÎÑо¿µÄÒâÒåËùÔÚ¡£
¡¡¡¡Îü¸½·ÖÀëÄ£Äâϵͳ
¡¡¡¡»îÐÔÌ¿µÄ¿×϶½á¹¹ÊÇÓÉËæ»ú¶ÑµþµÄ΢¾§×é³É£¬Ì¼¶ÑÖ®¼äµÄÃܱտռäÇ÷ÓÚШÐΡ£ÒÔǰµÄÑо¿»¹±íÃ÷£¬Ð¨Ðο×ÊDZíʾ»îÐÔÌ¿²»¾ùÔÈÐԵĸüÏÖʵµÄÄ£ÐÍ¡£ÔÚÕâÏ×÷ÖУ¬ÆÀ¹ÀÁ˶þÔª»ìºÏÎïÔÚШÐο×ÖеÄÎü¸½ÐÐΪ£¬²¢ÓëʵÑéÊý¾ÝºÍÔ¤²âÖµ½øÐÐÁ˱Ƚϡ£±¾´ÎʹÓõÄÁ½¸öÄ£ÄâϵͳÊǾùÔÈÏÁ·ì¿×ºÍШÐοס£ÏàÓ¦µÄʾÒâͼÈçͼ1Ëùʾ¡£

¡¡¡¡Í¼1£ºÁ½¸öÄ£ÄâϵͳµÄʾÒâͼ£º(a)ÏÁ·ì¿×ºÍ(b)ШÐοס£
¡¡¡¡ÏÁ·ì¿×ÓɰëÓÐÏÞÏÁ·ì¿×ÓÉÁ½¸öƽÐеÄʯī±Ú×é³É¡£Ã¿¸ö±Ú°üº¬Èý¸öʯīϩ²ã£¬Èçͼ1(a)Ëùʾ¡£¿òµÄÐéÏß±íʾģÄâ¿òÔÚyºÍz·½ÏòÉϵı߽硣ÖÜÆÚÐԱ߽çÌõ¼þ½öÊÊÓÃÓÚx·½Ïò¡£Á½¸ö¿ª¿Ú¶ËÓë´ó¿éÆø²ØÏàÁ¬£¬Ã¿¸öÆø²ØÑØyÖáµÄ³¤¶ÈΪ3nm£¬¿×϶¿í¶È¾ö¶¨ÁËz·½ÏòµÄ³ß´ç¡£Òò´Ë£¬Í¨¹ý¿×ÄÚ·Ö×ÓÓëÌåÏàµÄÏ໥×÷Ó㬿ÉÒÔÔڿ׺ÍÖÜΧ»·¾³Ö®¼ä±£³Ö»úеƽºâ¡£¿×¾¶HÊÇָͨ¹ýÒ»¸ö±Ú×îÄÚ²ãÖÐ̼Ô×ÓÖÐÐĵį½ÃæÓëÏà¶Ô±ÚµÄÏàÓ¦Æ½ÃæÖ®¼äµÄ¾àÀ롣ШÐο×ÔÚͼ1(b)Ãè»æÁËÒ»¸ö¿ª·ÅµÄШÐο׼°Æä½á¹¹²ÎÊý£ºÐ¡¶Ë(SH)ºÍ´ó¶Ë(BH)µÄ¿×¾¶£¬ÖáÏò¿×³¤(L)ºÍ°ë½Ç(α)¡£¿òµÄÐéÏß±íʾģÄâ¿òÔÚyºÍz·½ÏòÉϵı߽硣ÓëÏÁ·ì¿×Ò»Ñù£¬¿ª¿Ú¶ËÖÜΧµÄÆøÌåÑØyÖáµÄ³¤¶ÈΪ3nm£¬´ó¶ËµÄ¿í¶È¾ö¶¨ÁËz·½ÏòµÄ³ß´ç¡£ÑØÖáÏò(¼´£¬y·½Ïò)µÄ¿×³¤¶ÈÊÇÓÐÏÞµÄL£¬¶øÔÚx·½ÏòÉϵijߴçÔÚÓ¦ÓÃÖÜÆÚÐԱ߽çÌõ¼þµÄÇé¿öϼٶ¨ÎªÎÞÏÞ¡£
¡¡¡¡´¿ÆøÌåÎü¸½
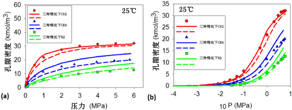
¡¡¡¡N2¡¢CH4ºÍCO2ÔÚ»îÐÔÌ¿ÉϵÄÎü¸½µÈÎÂÏßÔÚT =25¡æºÍ¸ß´ï6MPaµÄѹÁ¦ÏÂÈçͼ2Ëùʾ¡£Îª´¿ÆøÌåÌṩÁËIÀàµÈÎÂÏß¡£ÔÚ»·¾³Î¶ÈÏ£¬»îÐÔÌ¿¶Ô¶þÑõ»¯Ì¼µÄÎü¸½ÓÅÏÈÓÚCH4£¬È»ºóÔÚN2ѹÁ¦·¶Î§ÄÚ¾ßÓиü¸ßµÄÎü¸½Ãܶȡ£Ð¨Ðο׺ܺõØÔ¤²âÁËN2¡¢CO2ºÍCH4ÔÚ25¡æÊ±µÄʵÑéÊý¾Ý£¬Èçͼ2Ëùʾ(b)¡£Èçͼ2Ëùʾ£¬ÏÁ·ì¿×µÄ×éºÏÓëCO2ÔÚ25¡æµÄʵÑéÊý¾Ý·Ç³£ÎǺϡ£Ä£ÄâµÈÎÂÏߺÍʵÑéÊý¾ÝÏÔʾÁËÁ¬ÐøµÄ¿×϶Ìî³ä»úÖÆ¡£Èçͼ2Ëùʾ£¬Ð¨Ðο׶ÔN2¡¢CH4ºÍCO2µÄÎü¸½Á¿ÉÙÓÚÏÁ·ì¿×¡£CH4ºÍN2µÈÎÂÏßµÄÐÐΪÀàËÆÓÚCO2µÈÎÂÏßµÄÐÐΪ¡£ÓÉÓÚÓë»îÐÔÌ¿µÄÏ໥×÷ÓýÏÈõ£¬CH4ºÍN2µÄÎü¸½Á¿Ð¡ÓÚCO2¡£

¡¡¡¡Í¼2£º´¿ÆøÌåN2¡¢CH4ºÍCO2ÔÚT=25¡æÊ±ÔÚ»îÐÔÌ¿ÉϵÄʵÑéÊý¾Ý¡£ÓÃÏÁ·ìºÍШÐο×ÖеÄÎü¸½µÈÎÂÏßÔ¤²âÊý¾Ý£º(a)¾ø¶ÔѹÁ¦ºÍ(b)¶ÔÊý±ê¶ÈµÄ¾ø¶ÔѹÁ¦¡£
¡¡¡¡»ìºÏÆøÌåÎü¸½·ÖÀë
¡¡¡¡¶ÔÓÚ¶þÔªÎü¸½£¬Ñ¹Á¦·¶Î§Îª93kPaÖÁ6.077MPa¡£ÆøÌå»ìºÏÎïµÄʵÑéÔÚT =25¡æºÍѹÁ¦Ï£¬Îü¸½Á¿ÓëÆøÌå×é³ÉµÄº¯Êý¹ØÏµÈçͼ3Ëùʾ¡£25¡æµÄʵÑéÊý¾ÝÏÔʾÁË»îÐÔÌ¿µÄÎü¸½Á¿¡£È»ºóÔÚÏÁ·ì¿×¡¢Ð¨Ðο×Ö®¼ä±È½Ï½á¹û¡£¿ÉÒÔ¶Ô»îÐÔÌ¿½øÐÐÀàËÆµÄÌÖÂÛ¡£×ÜÎü¸½Á¿ËæCO2×é³É¶øÔö¼Ó£¬Í¬Ê±Îü¸½CH4µÄÁ¿¼õÉÙ£¬ÕâÒâζ×ÅCO2µÄÎü¸½Î»¾ºÕùºÍÓÅÏÈÎü¸½CH4¡£CO2¾ßÓбÈCH4¸ü¸ßµÄ·Ðµã£¬²¢ÇÒ¸ü¿ÉÄܱíÏÖΪ¿ÉÀäÄýË®ÕôÆø£¬¶øCH4±íÏÖΪ³¬ÁÙ½çÆøÌå¡£ÓëCH4Ïà±È£¬CO2µÄÕâÖÖ½ÏСµÄ»Ó·¢ÐÔÔö¼ÓÁËÆä¶Ô»îÐÔÌ¿µÄÎü¸½Æ«ºÃ¡£

¡¡¡¡Í¼3£º»ìºÏÆøÌåÔÚT=25¡æÔÚÏÁ·ì¿×¡¢Ð¨Ðο×ÖеÄÎü¸½µÈÎÂÏß ºÍÀíÏëÎü¸½ÔÚ93kPaÖÁ6.077MPaµÄѹÁ¦·¶Î§ÄÚµÄÔ¤²âÖµ£¬ÒÔ¼°´ÓËüÃǵĻìºÏÎïÖÐÎü¸½µÄCO2ºÍCH4¡£
¡¡¡¡»îÐÔ̿ģÄâÎü¸½Ï¸½Ú
¡¡¡¡»îÐÔÌ¿ÔÚÎü¸½Ä£Äâϸ½ÚÖз¢ÏÖ£¬Î¶ÈÉý¸ß»áµ¼ÖÂÑ¡ÔñÐÔ½µµÍ¡£È»¶ø£¬Ñ¡ÔñÐÔËæ×ÅÆøÌå»ìºÏÎïÖжþÑõ»¯Ì¼µÄ²¿·Ö¸ºÔØ¡¢Ñ¹Á¦ºÍCO2Ħ¶û·ÖÊýµÄÔö¼Ó¶øÔö¼Ó¡£ÔÚ»îÐÔÌ¿ÉϵĴ󲿷ÖCO2¸ºÔØÏ¿ÉÒÔÇå³þµØ¿´µ½¸ßÑ¡ÔñÐÔ¡£CH4ÆøÌåÔÚº¬ÓÐCO2µÄÆøÌå»ìºÏÎïÖоßÓеÍÑ¡ÔñÐÔ¡£ÔÒòÊÇËüÔÚ»îÐÔÌ¿±íÃæµÄ·Ö×Ó¼ä×÷ÓÃÁ¦±È̼±íÃæÓëCO2Ö®¼äµÄ·Ö×Ó¼ä×÷ÓÃÁ¦Èõ·Ö×Ó¡£ÓÃÄ£ÐͼÆËãºÍÏÁ·ìºÍШÐο×ÖеķÖ×ÓÄ£ÄâÒ²Ô¤²âÁËÑ¡ÔñÐÔ¡£Èçͼ4Ëùʾ£¬ÔÚT=0ºÍ25¡æ£¬Ñ¹Á¦¸ß´ï1MPaʱµÄ¼ÆËã½á¹ûºÍʵÑéÊý¾Ý¡£Ò»°ãÀ´Ëµ£¬ÏÁ·ìºÍШÐο׿ÉÒÔÔÚÎü¸½·Ö×ÓÖ®¼äÏ໥×÷ÓÃÖÁ¹ØÖØÒªµÄÌõ¼þÏ£¬¶ÔÆøÌå»ìºÏÎïµÄÑ¡ÔñÐÔ½øÐÐÁîÈËÂúÒâµÄÔ¤²â¡£Ä£ÐÍÎÞ·¨Ô¤²âÑ¡ÔñÐÔ£¬ÒòΪËüûÓп¼ÂÇÎü¸½·Ö×ÓÖ®¼äµÄÏ໥×÷Óá£

¡¡¡¡Í¼4£ºÔÚT =(a)0¡æºÍ(b)25¡æÊ±£¬ÔÚ´óÔ¼20%µÄ¶þÑõ»¯Ì¼ÔÚ»îÐÔÌ¿¿×Ï¶ÄØ£¬CO2¶ÔCH4µÄÑ¡ÔñÐÔÓëʵÑéÊý¾Ý¡£
¡¡¡¡»îÐÔÌ¿ÓÃÀ´·ÖÀëÓëÎü¸½¶þÑõ»¯Ì¼£¬Ê¹ÓÃÄ£Äâ´¿CO2¡¢CH4¡¢N2¼°Æä¶þÔª»ìºÏÎïµÄÎü¸½µÈÎÂÏߣ¬Í¬Ê±¿¼ÂǾùÔÈÏÁ·ì¿×ºÍШÐο×Ä£ÐÍ£¬ÒÔÄ£ÄâÕæÊµµÄ»îÐÔÌ¿¡£Ê¹ÓÃËùÑ¡»îÐÔÌ¿µÄ0ºÍ25¡æµÄʵÑéÊý¾Ý¶ÔÄ£Äâ½á¹û½øÐÐÁËÆÀ¹À£¬²¢ÓëÒÔǰµÄ·½·¨Ô¤²â½øÐÐÁ˱Ƚϡ£ÕâÏ×÷ÌÖÂÛÁ˶ԻîÐÔÎü¸½Î»µãµÄ¾ºÕùÒÔ¼°ÓÉÓÚ¸ü¸ßµÄÇ׺ÍÁ¦£¬CO2Ïà¶ÔÓÚCH4µÄÓÅÏÈÎü¸½¡£»îÐÔÌ¿±íʾ¶ÔCO2±ÈCH4Óиü¸ßµÄÎü¸½Á¿ºÍÑ¡ÔñÐÔ£¬ÏÁ·ìºÍШÐο×ÖеķÖ×ÓÄ£Äâ¿ÉÒԺܺõØÔ¤²âÑ¡ÔñÐÔ¡£
ÎÄÕ±êÇ©£ºÒ¬¿Ç»îÐÔÌ¿,¹û¿Ç»îÐÔÌ¿,úÖÊ»îÐÔÌ¿,ľÖÊ»îÐÔÌ¿,·äÎÑ»îÐÔÌ¿,¾»Ë®»îÐÔÌ¿.±¾ÎÄÁ´½Ó£ºhttp://m.fdcnvt.cn/baike/bk1124.html
ÍÆ¼ö×ÊѶ
- 2026-04-22³¬¼¶µçÈÝÌ¿ÐÂÄÜÔ´µÄºÚ½ð²ÄÁÏ
- 2026-04-15»îÐÔÌ¿¹ýÂ˲ñÓÍ
- 2026-04-01»îÐÔÌ¿ÔÚ¾»Ë®´¦ÀíÖеĺËÐÄÓÅÊÆ
- 2026-03-25»îÐÔÌ¿Îü¸½ÌáÈ¡»Æ½ðµÄ¹¤ÒµÓ¦ÓÃ
- 2026-03-11»îÐÔÌ¿ÔÚÓÍÆø»ØÊÕÖеÄ×÷ÓÃ
- 2026-03-06»îÐÔÌ¿´¦ÀíÀ¬»ø·¢µç³§·ÏÆø
- 2026-02-25»îÐÔÌ¿Îü¸½´¦ÀíÆ¡¾Æ³§·ÏË®
- 2026-02-13»îÐÔÌ¿Îü¸½´¦Àíº¬¹¯·ÏÆø
- 2026-02-04»îÐÔÌ¿ÓÃÓÚ´Ó·ÏË®ÖÐÎü¸½È¥³ý΢Á¿ïÓºÍǦ
- 2026-01-28»îÐÔÌ¿½àÑÀ·ÛרÓÃ
- 2026-01-20»îÐÔÌ¿ÔÚ·ÏÆø´¦ÀíÖеÄһЩ³£Ê¶
- 2026-01-13»îÐÔÌ¿ÔÚ¾«ÖÆÌÇÉú²úÖеÄÍÑɫЧ¹û
